Soluble Urokinase Plasminogen Activator Receptor as a Predictor of All-Cause Death in Patients Undergoing Coronary Angiography at 10-Year Follow-Up
Abstract
1. Introduction
2. Materials and Methods
2.1. Study Design and Study Population
2.2. Data Collection
2.3. Procedure Characteristics
2.4. Study Endpoints
2.5. Statistical Methods
3. Results
3.1. Baseline Characteristics
3.2. Periprocedural and Discharge Characteristics
3.3. Ten-Year Follow-Up Data
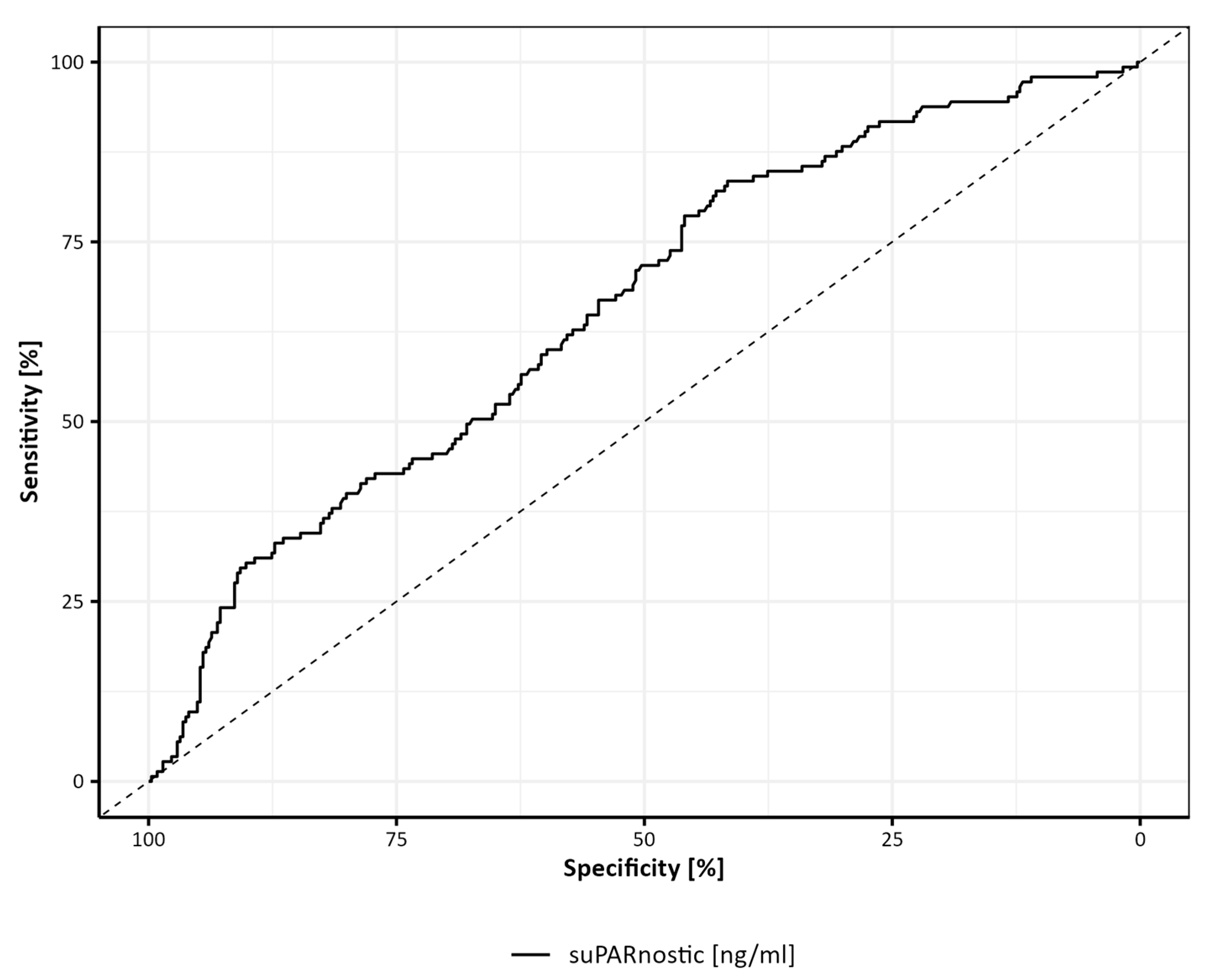
3.4. suPAR Threshold Identifications
3.5. suPAR Concentration and CAD Advancement
3.6. Cox Analysis
4. Discussion
5. Study Limitations
6. Conclusions
Supplementary Materials
Author Contributions
Funding
Institutional Review Board Statement
Informed Consent Statement
Data Availability Statement
Conflicts of Interest
References
- Oblitas, C.M.; López-Rubio, M.; Lago-Rodríguez, M.O.; Galeano-Valle, F.; García-Gámiz, M.; Zamora-Trillo, A.; Walther, L.A.A.S.; Demelo-Rodríguez, P. Soluble urokinase type plasminogen activator receptor (suPAR) and mortality in acute pulmonary embolism. Med. Clínica 2024, 163, 281–285. [Google Scholar] [CrossRef] [PubMed]
- Murphy, J.; Zierotin, A.; Mongan, D.; Healy, C.; Susai, S.R.; O’Donoghue, B.; Clarke, M.; O’Connor, K.; Cannon, M.; Cotter, D.R. Associations between soluble urokinase plasminogen activator receptor (suPAR) concentration and psychiatric disorders—A systematic review and meta-analysis. Brain Behav. Immun. 2024, 120, 327–338. [Google Scholar] [CrossRef]
- Molfino, A.; Anastasi, E.; Assanto, E.; Toccini, L.; Imbimbo, G.; Gigante, A.; Viggiani, V.; Farina, A.; Picconi, O.; Angeloni, A.; et al. Association between serum levels of GDF-15, suPAR, PIVKA-II, sdLDL and clinical outcomes in hospitalized COVID-19 patients. Intern. Emerg. Med. 2024, 19, 1557–1566. [Google Scholar] [CrossRef]
- Zhang, W.; Gu, Y.; Zhou, J.; Wang, J.; Zhao, X.; Deng, X.; Li, H.; Yan, L.; Jiao, X.; Shao, F. Clinical value of soluble urokinase-type plasminogen activator receptor in predicting sepsis-associated acute kidney injury. Ren. Fail. 2024, 46, 2307959. [Google Scholar] [CrossRef] [PubMed]
- Kostopoulou, E.; Kalavrizioti, D.; Davoulou, P.; Sinopidis, X.; Papachristou, E.; Goumenos, D.S.; Dimitriou, G.; Spiliotis, B.E.; Papasotiriou, M. Soluble urokinase plasminogen activator receptor (suPAR) in children with obesity or type 1 diabetes as a marker of endothelial dysfunction: A cross-sectional study. Eur. J. Pediatr. 2024, 183, 2383–2389. [Google Scholar] [CrossRef]
- Bil, J.; MoŻeŃska, O.; Segiet-ŚwiĘcicka, A.; Gil, R.J. Revisiting the use of the provocative acetylcholine test in patients with chest pain and nonobstructive coronary arteries: A five-year follow-up of the AChPOL registry, with special focus on patients with MINOCA. Transl. Res. 2021, 231, 64–75. [Google Scholar] [CrossRef] [PubMed]
- Jain, V.; Mehta, A.; Lee, T.B.; Liu, C.; Chew, N.W.; Ko, Y.A.; Gold, M.E.; Gold, D.A.; Vatsa, N.; Desai, S.R.; et al. Immune Activation Mediates the Association of Advanced Hepatic Fibrosis with Adverse Outcomes in Patients with Coronary Artery Disease. J. Am. Heart Assoc. 2023, 12, e031230. [Google Scholar] [CrossRef] [PubMed]
- Roehm, B.; McAdams, M.; Gordon, J.; Zhang, S.; Xu, P.; Grodin, J.L.; Hedayati, S.S. Association of suPAR, ST2, and galectin-3 with eGFR decline and mortality in patients with advanced heart failure with reduced ejection fraction. J. Investig. Med. 2024, 72, 10815589241249991. [Google Scholar] [CrossRef]
- Ye, L.; Shen, C.; Bai, X.; Li, C.; Tu, S. Analysis of the Predictive Efficacy of Serum suPAR Combined with APN and IgE Test and the Relationship of Patients with CHF and Cardiac Function. Altern. Ther. Health Med. 2024, 30, 124–129. [Google Scholar]
- Sommerer, C.; Müller-Krebs, S.; Nadal, J.; Schultheiss, U.T.; Friedrich, N.; Nauck, M.; Schmid, M.; Nußhag, C.; Reiser, J.; Eckardt, K.U.; et al. Prospective Cohort Study of Soluble Urokinase Plasminogen Activation Receptor and Cardiovascular Events in Patients With CKD. Kidney Int. Rep. 2023, 8, 2265–2275. [Google Scholar] [CrossRef]
- Wlazeł, R.N.; Guligowska, A.; Chrząstek, Z.; Kostka, T.; Jegier, A.; Szadkowska, I. Soluble Urokinase-Type Plasminogen Activator Receptor (suPAR) Is a Biomarker Associated with Left Ventricular Hypertrophy in the Elderly, Specifically in Women. J. Clin. Med. 2023, 12, 3290. [Google Scholar] [CrossRef] [PubMed]
- Hahn, S.; Giaglis, S.; Chowdury, C.S.; Hösli, I.; Hasler, P. Modulation of neutrophil NETosis: Interplay between infectious agents and underlying host physiology. Semin. Immunopathol. 2013, 35, 439–453. [Google Scholar] [CrossRef] [PubMed]
- Kern, A.; Stompór, T.; Bojko, K.; Sienkiewicz, E.; Pawlak, S.; Pawlak, D.; Poskrobko, G.; Andrasz, E.; Gromadziński, L.; Jalali, R.; et al. Ten-Year Outcomes in Patients Undergoing Simultaneous Coronary and Renal Angiography-Does Renal Artery Stenosis Matter? J. Clin. Med. 2024, 13, 3374. [Google Scholar] [CrossRef] [PubMed]
- Lancellotti, P.; Zamorano, J.L.; Habib, G.; Badano, L. The EACVI Textbook of Echocardiography; Oxford University Press: Oxford, UK, 2016. [Google Scholar]
- Guan, J.; Gong, S.; He, Q.; Wang, X.; Shen, S.; Wu, X.; Shan, J.; Gong, T.; Yang, Y.; Xie, H. Soluble urokinase plasminogen activator receptor is associated with cardiovascular calcification in peritoneal dialysis patients. Int. Urol. Nephrol. 2024, 56, 191–198. [Google Scholar] [CrossRef]
- Mekonnen, G.; Corban, M.T.; Hung, O.Y.; Eshtehardi, P.; Eapen, D.J.; Al-Kassem, H.; Rasoul-Arzrumly, E.; Gogas, B.D.; McDaniel, M.C.; Pielak, T.; et al. Plasma soluble urokinase-type plasminogen activator receptor level is independently associated with coronary microvascular function in patients with non-obstructive coronary artery disease. Atherosclerosis 2015, 239, 55–60. [Google Scholar] [CrossRef]
- Al-Badri, A.; Tahhan, A.S.; Sabbak, N.; Alkhoder, A.; Liu, C.; Ko, Y.A.; Vaccarino, V.; Martini, A.; Sidoti, A.; Goodwin, C.; et al. Soluble Urokinase-Type Plasminogen Activator Receptor and High-Sensitivity Troponin Levels Predict Outcomes in Nonobstructive Coronary Artery Disease. J. Am. Heart Assoc. 2020, 9, e015515. [Google Scholar] [CrossRef]
- Bergamaschi, L.; Landi, A.; Maurizi, N.; Pizzi, C.; Leo, L.A.; Arangalage, D.; Iglesias, J.F.; Eeckhout, E.; Schwitter, J.; Valgimigli, M.; et al. Acute Response of the Noninfarcted Myocardium and Surrounding Tissue Assessed by T2 Mapping after STEMI. JACC Cardiovasc. Imaging 2024, 17, 610–621. [Google Scholar] [CrossRef] [PubMed]
- Montecillo, J.; Pirker, T.; Pemberton, C.; Chew-Harris, J. suPAR in cardiovascular disease. Adv. Clin. Chem. 2024, 121, 89–131. [Google Scholar]
- Li, Y.; Ding, Y.; Zhao, Y.; Gui, Y.; Shen, Y.; Xiang, Q. Prognostic value of soluble urokinase-type plasminogen activator receptor in coronary artery disease: A meta-analysis. Eur. J. Clin. Investig. 2022, 52, e13867. [Google Scholar] [CrossRef]
- Walter, J.E.; Amrein, M.L.F.; Schäfer, I.; Zimmermann, T.; Lopez-Ayala, P.; Boeddinghaus, J.; Twerenbold, R.; Puelacher, C.; Nestelberger, T.; Wussler, D.; et al. Soluble urokinase plasminogen activator receptor and functionally relevant coronary artery disease: A prospective cohort study. Biomarkers 2022, 27, 278–285. [Google Scholar] [CrossRef]
- Wohlwend, N.F.; Grossmann, K.; Aeschbacher, S.; Weideli, O.C.; Telser, J.; Risch, M.; Conen, D.; Risch, L. The Association of suPAR with Cardiovascular Risk Factors in Young and Healthy Adults. Diagnostics 2023, 13, 2938. [Google Scholar] [CrossRef] [PubMed]
- Nikorowitsch, J.; Borchardt, T.; Appelbaum, S.; Ojeda, F.; Lackner, K.J.; Schnabel, R.B.; Blankenberg, S.; Zeller, T.; Karakas, M. Cardio-Renal Biomarker Soluble Urokinase-Type Plasminogen Activator Receptor Is Associated with Cardiovascular Death and Myocardial Infarction in Patients with Coronary Artery Disease Independent of Troponin, C-Reactive Protein, and Renal Function. J. Am. Heart Assoc. 2020, 9, e015452. [Google Scholar] [CrossRef] [PubMed]
- Yamashita, J.; Tanaka, N.; Shindo, N.; Ogawa, M.; Kimura, Y.; Sakoda, K.; Murata, N.; Hokama, Y.; Hoshino, K.; Ikeda, S.; et al. Seven-year clinical outcomes of patients with moderate coronary artery stenosis after deferral of revascularization based on gray-zone fractional flow reserve. Cardiovasc. Interv. Ther. 2015, 30, 209–215. [Google Scholar] [CrossRef]
- PPiccioni, A.; Baroni, S.; Manca, F.; Sarlo, F.; Savioli, G.; Candelli, M.; Bronzino, A.; Covino, M.; Gasbarrini, A.; Franceschi, F. Multi-Marker Approach in Patients with Acute Chest Pain in the Emergency Department. J. Pers. Med. 2024, 14, 564. [Google Scholar] [CrossRef]
- Pruc, M.; Jannasz, I.; Swieczkowski, D.; Procyk, G.; Gasecka, A.; Rafique, Z.; Chirico, F.; Bragazzi, N.L.; Jaguszewski, M.J.; Wysocki, J.; et al. Diagnostic value of soluble urokinase-type plasminogen activator receptor in patients with acute coronary syndrome: A systematic review and meta-analysis. Cardiol. J. 2023, 31, 564–572. [Google Scholar] [CrossRef] [PubMed]
- Uchiyama, S.; Goto, S.; Matsumoto, M.; Nagai, R.; Origasa, H.; Yamazaki, T.; Shigematsu, H.; Shimada, K.; Yamada, N.; Bhatt, D.L.; et al. Cardiovascular event rates in patients with cerebrovascular disease and atherothrombosis at other vascular locations: Results from 1-year outcomes in the Japanese REACH Registry. J. Neurol. Sci. 2009, 287, 45–51. [Google Scholar] [CrossRef]




| Parameter | Total N = 492 | Tertile 1 N = 164 | Tertile 2 N = 164 | Tertile 3 N = 164 | p |
|---|---|---|---|---|---|
| Females | 184 (37.4%) | 45 (27.4%) | 56 (34.1%) | 83 (50.6%) | <0.001 |
| Age [years] | 64.4 ± 9.8 | 60.8 ± 8.7 | 63.6 ± 9.7 | 68.8 ± 9.5 | <0.001 |
| BMI [kg/m2] | 27.9 ± 4.3 | 28.0 ± 4.0 | 27.7 ± 4.2 | 27.9 ± 4.7 | 0.845 |
| Arterial hypertension | 366 (74.8%) | 117 (71.3%) | 125 (77.2%) | 124 (76.1%) | 0.436 |
| Dyslipidemia | 225 (46.0%) | 89 (54.3%) | 78 (48.1%) | 58 (35.6%) | 0.003 |
| Diabetes | 126 (25.8%) | 29 (17.7%) | 35 (21.6%) | 62 (38.0%) | <0.001 |
| Obesity | 147 (30.1%) | 53 (32.3%) | 45 (27.8%) | 49 (30.1%) | 0.671 |
| Previous MI | 154 (31.5%) | 36 (22.0%) | 45 (27.8%) | 73 (44.8%) | <0.001 |
| Previous stroke | 32 (6.6%) | 4 (2.4%) | 15 (9.3%) | 13 (8.0%) | 0.029 |
| Peripheral artery disease | 24 (4.9%) | 6 (3.7%) | 6 (3.7%) | 12 (7.4%) | 0.206 |
| Chronic kidney disease | 47 (9.6%) | 5 (3.0%) | 12 (7.4%) | 30 (18.4%) | <0.001 |
| Previous CABG | 21 (4.3%) | 4 (2.4%) | 5 (3.1%) | 12 (7.4%) | 0.058 |
| Previous PCI | 103 (21.1%) | 31 (18.9%) | 33 (20.4%) | 39 (23.9%) | 0.519 |
| Echocardiography results | |||||
| LV ejection fraction [%] | 52.5 ± 11.5 | 55.5 ± 11.7 | 51.9 ± 10.7 | 50.4 ± 11.8 | <0.001 |
| RVSP [mmHg] | 38.9 ± 10.3 | 42.3 ± 11.2 | 38.0 ± 8.0 | 38.9 ± 11.4 | 0.785 |
| TAPSE [mm] | 17.4 ± 4.2 | 21.0 ± 1.1 | 22.0 ± 1.0 | 14.5 ± 2.4 | 0.034 |
| Parameter | Total N = 492 | Tertile 1 N = 164 | Tertile 2 N = 164 | Tertile 3 N = 164 | p |
|---|---|---|---|---|---|
| Hemoglobin [g/dL] | 13.9 ± 1.4 | 14.2 ± 1.2 | 14.1 ± 1.3 | 13.3 ± 1.5 | <0.001 |
| Glucose [mg/dL] | 116.4 ± 39.6 | 106.6 ± 26.2 | 116.0 ± 34.7 | 127.0 ± 51.4 | <0.001 |
| Creatinine [mg/dL] | 1.0 ± 0.6 | 0.9 ± 0.2 | 0.9 ± 0.2 | 1.2 ± 0.9 | 0.002 |
| eGFR [mL/min] | 81.7 ± 24.2 | 87.1 ± 18.2 | 85.4 ± 26.0 | 72.4 ± 25.3 | <0.001 |
| K+ [mmol/L] | 4.4 ± 0.5 | 4.3 ± 0.4 | 4.3 ± 0.4 | 4.5 ± 0.5 | 0.058 |
| Na+ [mmol/L] | 140.7 ± 2.8 | 141.0 ± 2.5 | 140.7 ± 2.8 | 140.4 ± 3.2 | 0.313 |
| Total cholesterol [mg/dL] | 183.2 ± 51.1 | 187.3 ± 58.1 | 189.2 ± 49.1 | 173.2 ± 43.8 | 0.022 |
| LDL [mg/dL] | 109.6 ± 44.5 | 112.0 ± 51.3 | 113.5 ± 41.7 | 103.2 ± 38.9 | 0.120 |
| HDL [mg/dL] | 53.5 ± 17.4 | 55.4 ± 17.6 | 54.5 ± 20.0 | 50.5 ± 13.9 | 0.058 |
| Triglycerides [mg/dL] | 139.6 ± 91.6 | 135.6 ± 91.6 | 146.5 ± 109.8 | 142.5 ± 109.8 | 0.463 |
| TSH [μIU/mL] | 2.1 ± 4.8 | 1.9 ± 1.8 | 1.7 ± 1.8 | 2.8 ± 8.0 | 0.844 |
| hs-CRP [mg/L] | 1.2 ± 4.9 | 0.5 ± 1.1 | 1.2 ± 4.2 | 1.8 ± 7.4 | <0.001 |
| Neutrophile elastase [ng/mL] | 416.20 ± 358.88 | 313.54 ± 240.72 | 416.91 ± 346.73 | 518.14 ± 434.43 | <0.001 |
| Myeloperoxidase [ng/mL] | 250.83 ± 278.12 | 178.23 ± 174.11 | 246.03 ± 225.47 | 328.23 ± 374.83 | <0.001 |
| DNASE1 [ng/mL] | 1.77 ± 13.95 | 0.75 ± 1.18 | 1.77 ± 9.72 | 2.80 ± 22.09 | 0.419 |
| Parameter | Total N = 492 | Tertile 1 N = 164 | Tertile 2 N = 164 | Tertile 3 N = 164 | p |
|---|---|---|---|---|---|
| Coronary angiography indications | |||||
| Planned coronary artery disease diagnostics | 290 (59.4%) | 105 (64.4%) | 94 (58.0%) | 91 (55.8%) | 0.181 |
| Acute coronary syndrome | 170 (34.6%) | 49 (29.9%) | 61 (37.2%) | 60 (36.6%) | |
| Heart failure diagnostics | 4 (0.8%) | 1 (0.6%) | 2 (1.2%) | 1 (0.6%) | |
| Pacemaker/ICD qualification | 4 (0.8%) | 1 (0.6%) | 0 (0.0%) | 3 (1.8%) | |
| Cardiovascular surgery (heart valve defect, ascending aorta aneurysm) | 24 (4.9%) | 8 (4.9%) | 7 (4.3%) | 9 (5.5%) | |
| Coronary angiography results | |||||
| No significant atherosclerotic lesions * | 122 (25.0%) | 51 (31.3%) | 37 (22.8%) | 34 (20.9%) | 0.042 |
| One-vessel disease | 140 (28.7%) | 50 (30.7%) | 47 (29.0%) | 43 (26.4%) | |
| Two-vessel disease | 137 (28.1%) | 35 (21.5%) | 47 (29.0%) | 55 (33.7%) | |
| Three-vessel disease | 67 (13.7%) | 24 (14.7%) | 21 (13.0%) | 22 (14.7%) | |
| Left main stem | 22 (4.5%) | 3 (1.8%) | 10 (6.2%) | 9 (5.5%) | |
| Qualification for revascularization | |||||
| Pharmacological treatment | 156 (34.3%) | 63 (40.4%) | 47 (30.9%) | 46 (31.3%) | 0.225 |
| PCI | 208 (45.7%) | 62 (39.7%) | 78 (51.3%) | 68 (46.3%) | |
| CABG | 91 (20.0%) | 31 (19.9%) | 27 (17.8%) | 33 (22.4%) | |
| Location of lesions treated by PCI | |||||
| Left main stem | 1 (0.4%) | 0 (0.0%) | 0 (0.0%) | 1 (1.2%) | 0.610 |
| Left anterior descending artery/ diagonal branches | 90 (38.3%) | 30 (44.2%) | 34 (39.5%) | 26 (32.1%) | |
| Left circumflex artery/marginal branches | 58 (24.7%) | 15 (22.4%) | 22 (25%) | 21 (25.9%) | |
| Intermediate artery | 4 (1.7%) | 1 (1.5%) | 1 (1.2%) | 2 (2.5%) | |
| Right coronary artery | 80 (34.0%) | 22 (32.9%) | 29 (32.9%) | 29 (35.8%) | |
| Venous graft | 2 (0.9%) | 0 (0.0%) | 0 (0.0%) | 2 (2.5%) | |
| TIMI after PCI | |||||
| 0 | 10 (4.2%) | 3 (4.3%) | 1 (1.2%) | 6 (7.3%) | 0.123 |
| 1 | 2 (0.8%) | 0 (0.0%) | 2 (2.4%) | 0 (0.0%) | |
| 2 | 1 (0.4%) | 0 (0.0%) | 1 (1.2%) | 0 (0.0%) | |
| 3 | 223 (94.5%) | 66 (95.7%) | 81 (95.3%) | 76 (92.7%) | |
| Periprocedural complications (PCI) | |||||
| No reflow/slow reflow | 8 (3.8%) | 2 (3.2%) | 0 (0.0%) | 6 (8.8%) | 0.012 |
| Stent thrombosis | 1 (0.5%) | 1 (1.6%) | 0 (0.0%) | 0 (0.0%) | |
| Parameter | Total N = 492 | Tertile 1 N = 164 | Tertile 2 N = 164 | Tertile 3 N = 164 | p |
|---|---|---|---|---|---|
| Acetylsalicylic acid | 442 (90.0%) | 143 (87.2%) | 149 (91.4%) | 150 (91.5%) | 0.335 |
| Clopidogrel | 301 (61.3%) | 84 (51.2%) | 107 (65.6%) | 110 (67.1%) | 0.005 |
| ACE inhibitor | 426 (86.8%) | 138 (84.1%) | 144 (88.3%) | 144 (87.8%) | 0.475 |
| Angiotensin antagonist | 21 (4.3%) | 10 (6.1%) | 7 (4.3%) | 4 (2.4%) | 0.262 |
| Beta-blocker | 452 (92.1%) | 153 (93.3%) | 146 (89.6%) | 153 (93.3%) | 0.356 |
| Ca-blocker | 124 (25.3%) | 29 (17.7%) | 55 (33.7%) | 40 (24.4%) | 0.004 |
| Statin | 457 (93.1%) | 151 (92.1%) | 153 (93.9%) | 153 (93.3%) | 0.808 |
| Fibrate | 17 (3.5%) | 7 (4.3%) | 7 (4.3%) | 3 (1.8%) | 0.374 |
| Loop diuretic | 89 (18.1%) | 9 (5.5%) | 31 (19.0%) | 49 (29.9%) | <0.001 |
| Thiazide | 50 (10.2%) | 17 (10.4%) | 14 (8.6%) | 19 (11.6%) | 0.666 |
| Mineralocorticoid receptor antagonist | 59 (12.0%) | 10 (6.1%) | 23 (14.1%) | 26 (15.9%) | 0.015 |
| Vitamin K antagonist | 37 (7.5%) | 5 (3.0%) | 14 (8.6%) | 18 (11.0%) | 0.020 |
| Insulin | 44 (9.0%) | 7 (4.3%) | 11 (6.7%) | 26 (15.9%) | <0.001 |
| Endpoint | Total N = 492 | Tertile 1 N = 164 | Tertile 2 N = 164 | Tertile 3 N = 164 | p |
|---|---|---|---|---|---|
| Death | 145 (29.5%) | 24 (14.6%) | 56 (34.1%) | 65 (39.9%) | <0.001 |
| MI | 56 (11.4%) | 17 (10.4%) | 21 (12.8%) | 18 (11.0%) | 0.773 |
| Stroke | 24 (4.9%) | 7 (4.3%) | 7 (4.3%) | 10 (6.1%) | 0.665 |
| CABG | 37 (7.5%) | 19 (11.6%) | 10 (6.1%) | 8 (4.9%) | 0.051 |
| PCI | 81 (16.5%) | 32 (19.5%) | 26 (15.9%) | 23 (14.1%) | 0.405 |
| Study Population N = 492 (%) | |||
|---|---|---|---|
| Parameter | HR | 95% CI | p-Value |
| Age: | |||
| 65–75 years | 3.58 | 1.57, 8.16 | 0.002 |
| 75–90 years | 9.68 | 4.27, 21.9 | <0.001 |
| Diabetes | 1.61 | 1.07, 2.41 | 0.022 |
| Previous myocardial infarction | 1.64 | 1.09, 2.47 | 0.018 |
| Chronic kidney disease | 2.32 | 1.41, 3.82 | <0.001 |
| Coronary angiography indications: | |||
| STEMI | 1.77 | 1.03, 3.04 | 0.040 |
| Left ventricular ejection fraction | |||
| [40, 50] | 0.46 | 0.28, 0.76 | 0.002 |
| [50, 60] | 0.55 | 0.31, 0.95 | 0.033 |
| >60 | 0.38 | 0.21, 0.71 | 0.002 |
| LDL cholesterol | |||
| [100, 129] | 0.61 | 0.35, 1.06 | 0.080 |
| suPAR | |||
| T2 | 1.68 | 0.99, 4.33 | 0.073 |
| T3 | 3.45 | 2.11, 5.92 | <0.001 |
Disclaimer/Publisher’s Note: The statements, opinions and data contained in all publications are solely those of the individual author(s) and contributor(s) and not of MDPI and/or the editor(s). MDPI and/or the editor(s) disclaim responsibility for any injury to people or property resulting from any ideas, methods, instructions or products referred to in the content. |
© 2024 by the authors. Licensee MDPI, Basel, Switzerland. This article is an open access article distributed under the terms and conditions of the Creative Commons Attribution (CC BY) license (https://creativecommons.org/licenses/by/4.0/).
Share and Cite
Kern, A.; Stompór, T.; Bojko, K.; Sienkiewicz, E.; Pawlak, S.; Pawlak, K.; Pawlak, D.; Poskrobko, G.; Andrasz, E.; Gromadziński, L.; et al. Soluble Urokinase Plasminogen Activator Receptor as a Predictor of All-Cause Death in Patients Undergoing Coronary Angiography at 10-Year Follow-Up. J. Clin. Med. 2024, 13, 6158. https://doi.org/10.3390/jcm13206158
Kern A, Stompór T, Bojko K, Sienkiewicz E, Pawlak S, Pawlak K, Pawlak D, Poskrobko G, Andrasz E, Gromadziński L, et al. Soluble Urokinase Plasminogen Activator Receptor as a Predictor of All-Cause Death in Patients Undergoing Coronary Angiography at 10-Year Follow-Up. Journal of Clinical Medicine. 2024; 13(20):6158. https://doi.org/10.3390/jcm13206158
Chicago/Turabian StyleKern, Adam, Tomasz Stompór, Krystian Bojko, Ewa Sienkiewicz, Sebastian Pawlak, Krystyna Pawlak, Dariusz Pawlak, Grzegorz Poskrobko, Ewa Andrasz, Leszek Gromadziński, and et al. 2024. "Soluble Urokinase Plasminogen Activator Receptor as a Predictor of All-Cause Death in Patients Undergoing Coronary Angiography at 10-Year Follow-Up" Journal of Clinical Medicine 13, no. 20: 6158. https://doi.org/10.3390/jcm13206158
APA StyleKern, A., Stompór, T., Bojko, K., Sienkiewicz, E., Pawlak, S., Pawlak, K., Pawlak, D., Poskrobko, G., Andrasz, E., Gromadziński, L., Jalali, R., Onichimowski, D., Piwko, G., Zalewski, A., & Bil, J. (2024). Soluble Urokinase Plasminogen Activator Receptor as a Predictor of All-Cause Death in Patients Undergoing Coronary Angiography at 10-Year Follow-Up. Journal of Clinical Medicine, 13(20), 6158. https://doi.org/10.3390/jcm13206158

