Long-Term High-Flow Nasal Therapy in Patients with Bronchiectasis of Different Severity: A Retrospective Cohort Study
Abstract
1. Introduction
2. Materials and Methods
Statistical Analysis
3. Results
3.1. Baseline Patient Characteristics and HFNT Settings
3.2. Long-Term Home HFNT Effectiveness According to Bronchiectasis Severity
3.3. Correlations between Bronchiectasis Severity, Daily HFNT Usage, and Changes in Clinical Outcomes
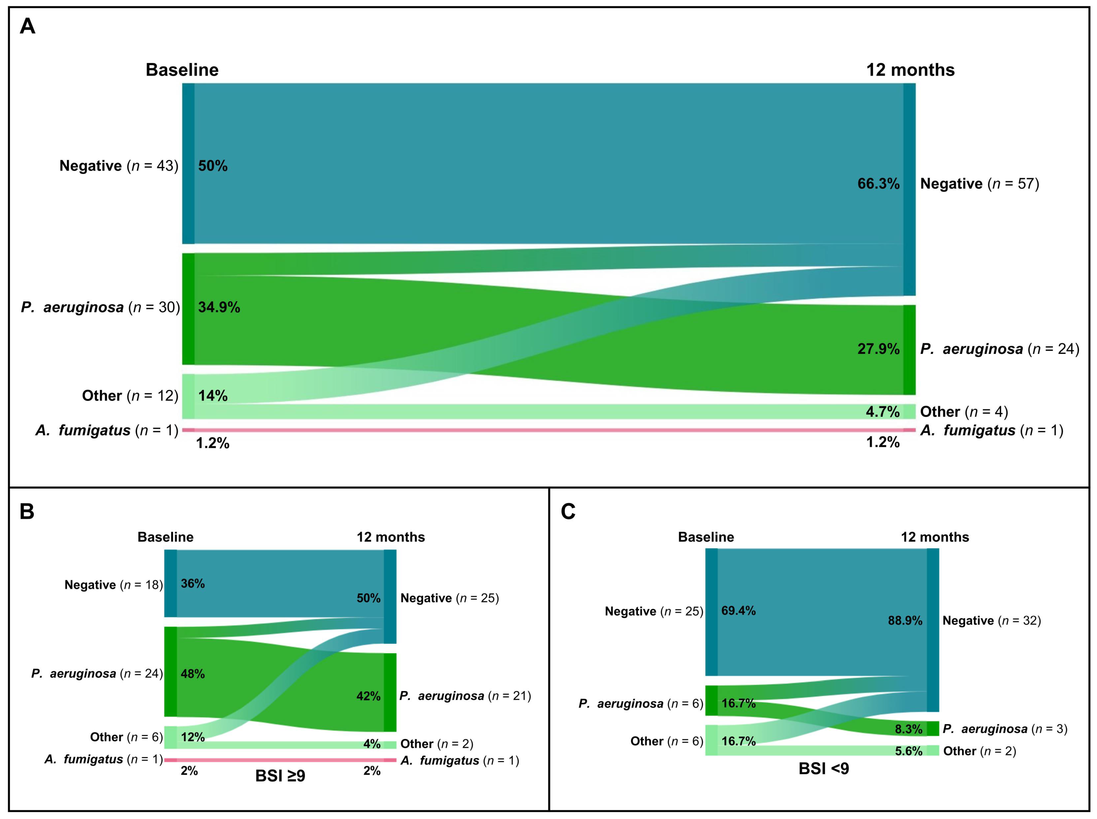
3.4. Sputum Microbiological Colonization before and after 12 Months of Long-Term Home HFNT
4. Discussion
5. Conclusions
Author Contributions
Funding
Institutional Review Board Statement
Informed Consent Statement
Data Availability Statement
Conflicts of Interest
References
- Aliberti, S.; Goeminne, P.C.; O’Donnell, A.E.; Aksamit, T.R.; Al-Jahdali, H.; Barker, A.F.; Blasi, F.; Boersma, W.G.; Crichton, M.L.; De Soyza, A.; et al. Criteria and definitions for the radiological and clinical diagnosis of bronchiectasis in adults for use in clinical trials: International consensus recommendations. Lancet Respir. Med. 2022, 10, 298–306. [Google Scholar] [CrossRef] [PubMed]
- O’Donnell, A.E. Bronchiectasis—A Clinical Review. N. Engl. J. Med. 2022, 387, 533–545. [Google Scholar] [CrossRef]
- Du, Q.; Jin, J.; Liu, X.; Sun, Y. Bronchiectasis as a Comorbidity of Chronic Obstructive Pulmonary Disease: A Systematic Review and Meta-Analysis. PLoS ONE 2016, 11, e0150532. [Google Scholar]
- Quint, J.K.; Millett, E.R.; Joshi, M.; Navaratnam, V.; Thomas, S.L.; Hurst, J.R.; Smeeth, L.; Brown, J.S. Changes in the incidence, prevalence and mortality of bronchiectasis in the UK from 2004 to 2013: A population-based cohort study. Eur. Respir. J. 2016, 47, 186–193. [Google Scholar] [CrossRef]
- Diel, R.; Chalmers, J.D.; Rabe, K.F.; Nienhaus, A.; Loddenkemper, R.; Ringshausen, F.C. Economic burden of bronchiectasis in Germany. Eur. Respir. J. 2019, 53, 1802033. [Google Scholar] [CrossRef]
- Barker, A.F.; Couch, L.; Fiel, S.B.; Gotfried, M.H.; Ilowite, J.; Meyer, K.C.; O’Donnell, A.; Sahn, S.A.; Smith, L.J.; Stewart, J.O.; et al. Tobramycin solution for inhalation reduces sputum Pseudomonas aeruginosa density in bronchiectasis. Am. J. Respir. Crit. Care Med. 2000, 162 Pt 1, 481–485. [Google Scholar] [CrossRef]
- Chalmers, J.D.; Burgel, P.-R.; Daley, C.L.; De Soyza, A.; Haworth, C.S.; Mauger, D.; Mange, K.; Teper, A.; Fernandez, C.; Conroy, D.; et al. Brensocatib in non-cystic fibrosis bronchiectasis: ASPEN protocol and baseline characteristics. ERJ Open Res. 2024, 10, 00151–2024. [Google Scholar] [CrossRef]
- Pan, C.X.; Shi, M.X.; Guan, W.J. Airway clearance technique in the modern era of bronchiectasis management. ERJ Open Res. 2023, 9, 00674-2022. [Google Scholar] [CrossRef]
- Herrero-Cortina, B.; Lee, A.L.; Oliveira, A.; O’Neill, B.; Jácome, C.; Corso, S.D.; Poncin, W.; Muñoz, G.; Inal-Ince, D.; Alcaraz-Serrano, V.; et al. European Respiratory Society statement on airway clearance techniques in adults with bronchiectasis. Eur. Respir. J. 2023, 62, 2202053. [Google Scholar] [CrossRef]
- Kilgour, E.; Rankin, N.; Ryan, S.; Pack, R. Mucociliary function deteriorates in the clinical range of inspired air temperature and humidity. Intensive Care Med. 2004, 30, 1491–1494. [Google Scholar] [CrossRef]
- Hasani, A.; Chapman, T.H.; McCool, D.; Smith, R.E.; Dilworth, J.P.; Agnew, J.E. Domiciliary humidification improves lung mucociliary clearance in patients with bronchiectasis. Chron. Respir. Dis. 2008, 5, 81–86. [Google Scholar] [CrossRef]
- Rochwerg, B.; Einav, S.; Chaudhuri, D.; Mancebo, J.; Mauri, T.; Helviz, Y.; Goligher, E.C.; Jaber, S.; Ricard, J.-D.; Rittayamai, N.; et al. The role for high flow nasal cannula as a respiratory support strategy in adults: A clinical practice guideline. Intensive Care Med. 2020, 46, 2226–2237. [Google Scholar] [CrossRef]
- Oczkowski, S.; Ergan, B.; Bos, L.; Chatwin, M.; Ferrer, M.; Gregoretti, C.; Heunks, L.; Frat, J.-P.; Longhini, F.; Nava, S.; et al. ERS clinical practice guidelines: High-flow nasal cannula in acute respiratory failure. Eur. Respir. J. 2022, 59, 2101574. [Google Scholar] [CrossRef]
- Crimi, C.; Noto, A.; Madotto, F.; Ippolito, M.; Nolasco, S.; Campisi, R.; De Vuono, S.; Fiorentino, G.; Pantazopoulos, I.; Chalkias, A.; et al. High-flow nasal oxygen versus conventional oxygen therapy in patients with COVID-19 pneumonia and mild hypoxaemia: A randomised controlled trial. Thorax 2023, 78, 354–361. [Google Scholar] [CrossRef]
- Helms, J.; Catoire, P.; Abensur Vuillaume, L.; Bannelier, H.; Douillet, D.; Dupuis, C.; Federici, L.; Jezequel, M.; Jozwiak, M.; Kuteifan, K.; et al. Oxygen therapy in acute hypoxemic respiratory failure: Guidelines from the SRLF-SFMU consensus conference. Ann. Intensive Care. 2024, 14, 140. [Google Scholar] [CrossRef]
- Crimi, C.; Noto, A.; Cortegiani, A.; Campisi, R.; Heffler, E.; Gregoretti, C.; Crimi, N. High Flow Nasal Therapy Use in Patients with Acute Exacerbation of COPD and Bronchiectasis: A Feasibility Study. COPD J. Chronic Obstr. Pulm. Dis. 2020, 17, 184–190. [Google Scholar] [CrossRef]
- Mauri, T.; Turrini, C.; Eronia, N.; Grasselli, G.; Volta, C.A.; Bellani, G.; Pesenti, A. Physiologic Effects of High-Flow Nasal Cannula in Acute Hypoxemic Respiratory Failure. Am. J. Respir. Crit. Care Med. 2017, 195, 1207–1215. [Google Scholar] [CrossRef]
- Roca, O.; Li, J.; Mauri, T. High-flow nasal cannula: Evolving practices and novel clinical and physiological insights. Intensive Care Med. 2024, 50, 758–761. [Google Scholar] [CrossRef]
- Cortegiani, A.; Crimi, C.; Noto, A.; Helviz, Y.; Giarratano, A.; Gregoretti, C.; Einav, S. Effect of high-flow nasal therapy on dyspnea, comfort, and respiratory rate. Crit. Care 2019, 23, 201. [Google Scholar] [CrossRef]
- Storgaard, L.H.; Hockey, H.U.; Laursen, B.S.; Weinreich, U.M. Long-term effects of oxygen-enriched high-flow nasal cannula treatment in COPD patients with chronic hypoxemic respiratory failure. Int. J. Chron. Obstruct Pulmon Dis. 2018, 13, 1195–1205. [Google Scholar] [CrossRef]
- Nagata, K.; Kikuchi, T.; Horie, T.; Shiraki, A.; Kitajima, T.; Kadowaki, T.; Tokioka, F.; Chohnabayashi, N.; Watanabe, A.; Sato, S.; et al. Domiciliary High-Flow Nasal Cannula Oxygen Therapy for Patients with Stable Hypercapnic Chronic Obstructive Pulmonary Disease. A Multicenter Randomized Crossover Trial. Ann. Am. Thorac. Soc. 2018, 15, 432–439. [Google Scholar] [CrossRef] [PubMed]
- Nagata, K.; Horie, T.; Chohnabayashi, N.; Jinta, T.; Tsugitomi, R.; Shiraki, A.; Tokioka, F.; Kadowaki, T.; Watanabe, A.; Fukui, M.; et al. Home High-Flow Nasal Cannula Oxygen Therapy for Stable Hypercapnic COPD: A Randomized Clinical Trial. Am. J. Respir. Crit. Care Med. 2022, 206, 1326–1335. [Google Scholar] [CrossRef] [PubMed]
- Rea, H.; McAuley, S.; Jayaram, L.; Garrett, J.; Hockey, H.; Storey, L.; O’Donnell, G.; Haru, L.; Payton, M.; O’Donnell, K. The clinical utility of long-term humidification therapy in chronic airway disease. Respir. Med. 2010, 104, 525–533. [Google Scholar] [CrossRef]
- Good, W.R.; Garrett, J.; Hockey, H.U.P.; Jayaram, L.; Wong, C.; Rea, H. The role of high-flow nasal therapy in bronchiectasis: A post hoc analysis. ERJ Open Res. 2021, 7, 00711-2020. [Google Scholar] [CrossRef]
- Crimi, C.; Nolasco, S.; Campisi, R.; Nigro, M.; Impellizzeri, P.; Cortegiani, A.; Noto, A.; Gramegna, A.; Vancheri, C.; Blasi, F.; et al. Long-Term Domiciliary High-Flow Nasal Therapy in Patients with Bronchiectasis: A Preliminary Retrospective Observational Case-Control Study. J. Clin. Med. 2022, 11, 7323. [Google Scholar] [CrossRef]
- Weinreich, U.M.; Juhl, K.S.; Søby Christophersen, M.; Gundestrup, S.; Hanifa, M.A.; Jensen, K.; Andersen, F.D.; Hilberg, O.; Storgaard, L.H. The Danish respiratory society guideline for long-term high flow nasal cannula treatment, with or without supplementary oxygen. Eur. Clin. Respir. J. 2023, 10, 2178600. [Google Scholar] [CrossRef]
- Simioli, F.; Fiorentino, G.; Cauteruccio, R.; Coppola, A.; Imitazione, P.; Marotta, A.; Di Spirito, V.; Annunziata, A. Long-Term High Flow Nasal Cannula Therapy in Primary and Secondary Bronchiectasis. Healthcare 2023, 11, 1250. [Google Scholar] [CrossRef]
- Chalmers, J.D.; Goeminne, P.; Aliberti, S.; McDonnell, M.J.; Lonni, S.; Davidson, J.; Poppelwell, L.; Salih, W.; Pesci, A.; Dupont, L.J.; et al. The bronchiectasis severity index. An international derivation and validation study. Am. J. Respir. Crit. Care Med. 2014, 189, 576–585. [Google Scholar] [CrossRef]
- Polverino, E.; Goeminne, P.C.; McDonnell, M.J.; Aliberti, S.; Marshall, S.E.; Loebinger, M.R.; Murris, M.; Cantón, R.; Torres, A.; Dimakou, K.; et al. European Respiratory Society guidelines for the management of adult bronchiectasis. Eur. Respir. J. 2017, 50, 1700629. [Google Scholar] [CrossRef]
- Vatcheva, K.P.; Lee, M.; McCormick, J.B.; Rahbar, M.H. Multicollinearity in Regression Analyses Conducted in Epidemiologic Studies. Epidemiology 2016, 6, 227. [Google Scholar] [CrossRef]
- Giron Moreno, R.M.; Fernandes Vasconcelos, G.; Cisneros, C.; Gomez-Punter, R.M.; Segrelles Calvo, G.; Ancochea, J. Presence of anxiety and depression in patients with bronchiectasis unrelated to cystic fibrosis. Arch. Bronconeumol. 2013, 49, 415–420. [Google Scholar] [CrossRef] [PubMed]
- Martinez-Garcia, M.A.; Soler-Cataluna, J.J.; Perpina-Tordera, M.; Roman-Sanchez, P.; Soriano, J. Factors associated with lung function decline in adult patients with stable non-cystic fibrosis bronchiectasis. Chest 2007, 132, 1565–1572. [Google Scholar] [CrossRef]
- Finklea, J.D.; Khan, G.; Thomas, S.; Song, J.; Myers, D.; Arroliga, A.C. Predictors of mortality in hospitalized patients with acute exacerbation of bronchiectasis. Respir. Med. 2010, 104, 816–821. [Google Scholar] [CrossRef] [PubMed][Green Version]
- Scioscia, G.; Alcaraz-Serrano, V.; Méndez, R.; Gabarrús, A.; Fernández-Barat, L.; Menéndez, R.; Tondo, P.; Bueno, L.; Torres, A. Factors Associated With One-Year Mortality in Hospitalised Patients With Exacerbated Bronchiectasis. Arch. Bronconeumol. 2022, 58, 773–775. [Google Scholar] [CrossRef] [PubMed]
- Finch, S.; McDonnell, M.J.; Abo-Leyah, H.; Aliberti, S.; Chalmers, J.D. A Comprehensive Analysis of the Impact of Pseudomonas aeruginosa Colonization on Prognosis in Adult Bronchiectasis. Ann. Am. Thorac. Soc. 2015, 12, 1602–1611. [Google Scholar] [PubMed]
- Araújo, D.; Shteinberg, M.; Aliberti, S.; Goeminne, P.C.; Hill, A.T.; Fardon, T.C.; Obradovic, D.; Stone, G.; Trautmann, M.; Davis, A.; et al. The independent contribution of Pseudomonas aeruginosa infection to long-term clinical outcomes in bronchiectasis. Eur. Respir. J. 2018, 51, 1701953. [Google Scholar] [CrossRef]
- Weinreich, U.M.; Burchardt, C.; Huremovic, J. The effect of domiciliary high flow nasal cannula treatment on dyspnea and walking distance in patients with interstitial lung disease—A pilot study. Chron. Respir. Dis. 2022, 19, 14799731221137085. [Google Scholar] [CrossRef]
- Jácome, C.; Jácome, M.; Correia, S.; Flores, I.; Farinha, P.; Duarte, M.; Winck, J.C.; Catalan, J.S.; Lobato, S.D.; Luján, M.; et al. Effectiveness, Adherence and Safety of Home High Flow Nasal Cannula in Chronic Respiratory Disease and Respiratory Insufficiency: A Systematic Review. Arch. Bronconeumol. 2024, 60, 490–502. [Google Scholar] [CrossRef]
- Pitre, T.; Abbasi, S.; Kachkovski, G.; Burns, L.; Mah, J.; Crimi, C.; Cortegiani, A.; Rochwerg, B.; Zeraatkar, D. Home respiratory strategies in COPD patients with chronic hypercapnic respiratory failure: A systematic review and network meta-analysis. Respir. Care. 2024, 69, 11805. [Google Scholar] [CrossRef]
- Athanazio, R.A. Bronchiectasis: Moving from an orphan disease to an unpleasant socioeconomic burden. ERJ Open Res. 2021, 7, 00507-2021. [Google Scholar] [CrossRef]



| All (n = 86) | BSI ≥ 9 (n = 50) | BSI < 9 (n = 36) | p-Value * | |
|---|---|---|---|---|
| General characteristics | ||||
| Age, years, mean (SD) | 67.5 (10.8) | 70 (9.7) | 63.8 (11.6) | 0.0091 |
| Female, n (%) | 51 (59.3) | 31 (62) | 20 (55.6) | 0.6573 |
| BMI, kg/m2, mean (SD) | 24.6 (4.4) | 24.5 (4.6) | 24.8 (4.3) | 0.7642 |
| Smoking history, n (%) | 30 (34.9) | 24 (48) | 6 (16.7) | 0.0030 |
| Comorbidities | ||||
| Cardiovascular disease, n (%) | 26 (30.2) | 22 (44) | 4 (11.1) | 0.0017 |
| Diabetes, n (%) | 15 (17.4) | 11 (22) | 4 (11.1) | 0.2537 |
| Long-term oxygen therapy, n (%) | 9 (10.5) | 8 (16) | 1 (2.8) | 0.0732 |
| Bronchiectasis assessment | ||||
| BSI, mean (SD) | 9.7 (4.3) | 12.6 (2.7) | 5.4 (1.7) | <0.0001 |
| Bronchiectasis aetiology, n (%) | ||||
| Idiopathic | 13 (15.1) | 8 (16) | 5 (13.9) | 0.9999 |
| Post-infective | 41 (47.7) | 18 (36) | 23 (63.9) | 0.0158 |
| COPD | 20 (23.3) | 18 (36) | 2 (5.6) | 0.0008 |
| Immunodeficiency | 2 (2.3) | 2 (4) | 0 (0) | 0.5075 |
| Primary ciliary dyskinesia | 7 (8.1) | 6 (12) | 1 (2.8) | 0.2307 |
| Inflammatory bowel disease | 1 (1.2) | 1 (2) | 0 (0) | 0.9999 |
| Severe asthma | 2 (2.3) | 1 (2) | 1 (2.8) | 0.9999 |
| Sputum cultures, n (%) | ||||
| Negative | 43 (50) | 18 (36) | 25 (69.4) | 0.0042 |
| Pseudomonas aeruginosa | 30 (34.9) | 24 (48) | 6 (16.7) | 0.0030 |
| Other bacteria | 12 (14) | 6 (12) | 6 (16.7) | 0.3567 |
| Aspergillus fumigatus | 1 (1.2) | 1 (2) | 0 (0) | 0.9999 |
| Inhaled Therapies | ||||
| ICS–LABA, n (%) | 25 (29) | 11 (22) | 14 (38.9) | 0.0990 |
| ICS–LABA and/or LAMA, n (%) | 32 (37.2) | 24 (48) | 8 (22) | 0.0231 |
| LAMA + LABA, n (%) | 6 (7) | 6 (12) | 0 (0) | 0.0379 |
| Clinical outcomes | ||||
| Annual exacerbations, median (IQR) | 3 (1–5) | 4 (2–5.3) | 2 (1–4) | 0.0003 |
| Annual hospitalizations, n (%) | 47 (54.7) | 47 (94) | 0 (0) | <0.0001 |
| mMRC dyspnea scale, median (IQR) | 3 (2–3) | 3 (2–3) | 3 (2–3) | 0.5672 |
| FEV1, % predicted, median (IQR) | 68.5 (50.3–77.8) | 57.5 (44.3–74) | 71 (58–84) | 0.0018 |
| All (n = 86) | BSI ≥ 9 (n = 50) | BSI < 9 (n = 36) | p-Value * | |
|---|---|---|---|---|
| High-flow rate, L/min, median (IQR) | 45 (45–50) | 45 (45–45) | 45 (45–50) | 0.3414 |
| Temperature, °C, median (IQR) | 34 (34–37) | 34 (34–37) | 34 (34–37) | 0.1957 |
| FiO2, %, median (IQR) | 21 (21–21) | 21 (21–21) | 21 (21–21) | 0.4381 |
| Hours/day, median (IQR) | 6 (6–8) | 6 (6–8) | 6 (6–8) | 0.5877 |
Disclaimer/Publisher’s Note: The statements, opinions and data contained in all publications are solely those of the individual author(s) and contributor(s) and not of MDPI and/or the editor(s). MDPI and/or the editor(s) disclaim responsibility for any injury to people or property resulting from any ideas, methods, instructions or products referred to in the content. |
© 2024 by the authors. Licensee MDPI, Basel, Switzerland. This article is an open access article distributed under the terms and conditions of the Creative Commons Attribution (CC BY) license (https://creativecommons.org/licenses/by/4.0/).
Share and Cite
Calabrese, C.; Nolasco, S.; Annunziata, A.; Sola, A.; Imitazione, P.; Campisi, R.; Simioli, F.; Balestrino, M.; Ferrentino, L.; Vancheri, C.; et al. Long-Term High-Flow Nasal Therapy in Patients with Bronchiectasis of Different Severity: A Retrospective Cohort Study. J. Clin. Med. 2024, 13, 6146. https://doi.org/10.3390/jcm13206146
Calabrese C, Nolasco S, Annunziata A, Sola A, Imitazione P, Campisi R, Simioli F, Balestrino M, Ferrentino L, Vancheri C, et al. Long-Term High-Flow Nasal Therapy in Patients with Bronchiectasis of Different Severity: A Retrospective Cohort Study. Journal of Clinical Medicine. 2024; 13(20):6146. https://doi.org/10.3390/jcm13206146
Chicago/Turabian StyleCalabrese, Cecilia, Santi Nolasco, Anna Annunziata, Alessio Sola, Pasquale Imitazione, Raffaele Campisi, Francesca Simioli, Marco Balestrino, Laura Ferrentino, Carlo Vancheri, and et al. 2024. "Long-Term High-Flow Nasal Therapy in Patients with Bronchiectasis of Different Severity: A Retrospective Cohort Study" Journal of Clinical Medicine 13, no. 20: 6146. https://doi.org/10.3390/jcm13206146
APA StyleCalabrese, C., Nolasco, S., Annunziata, A., Sola, A., Imitazione, P., Campisi, R., Simioli, F., Balestrino, M., Ferrentino, L., Vancheri, C., Crimi, C., & Fiorentino, G. (2024). Long-Term High-Flow Nasal Therapy in Patients with Bronchiectasis of Different Severity: A Retrospective Cohort Study. Journal of Clinical Medicine, 13(20), 6146. https://doi.org/10.3390/jcm13206146

