The Association between Self-Care Activities and Depression in Adult Patients with Type 2 Diabetes in Saudi Arabia: A Cross-Sectional Web-Based Survey Study
Abstract
1. Introduction
2. Methods
2.1. Study Design, Setting, and Sample Selection
2.2. Survey Instruments
2.3. Outcomes and Sample Size
2.4. Statistical Analysis
3. Results
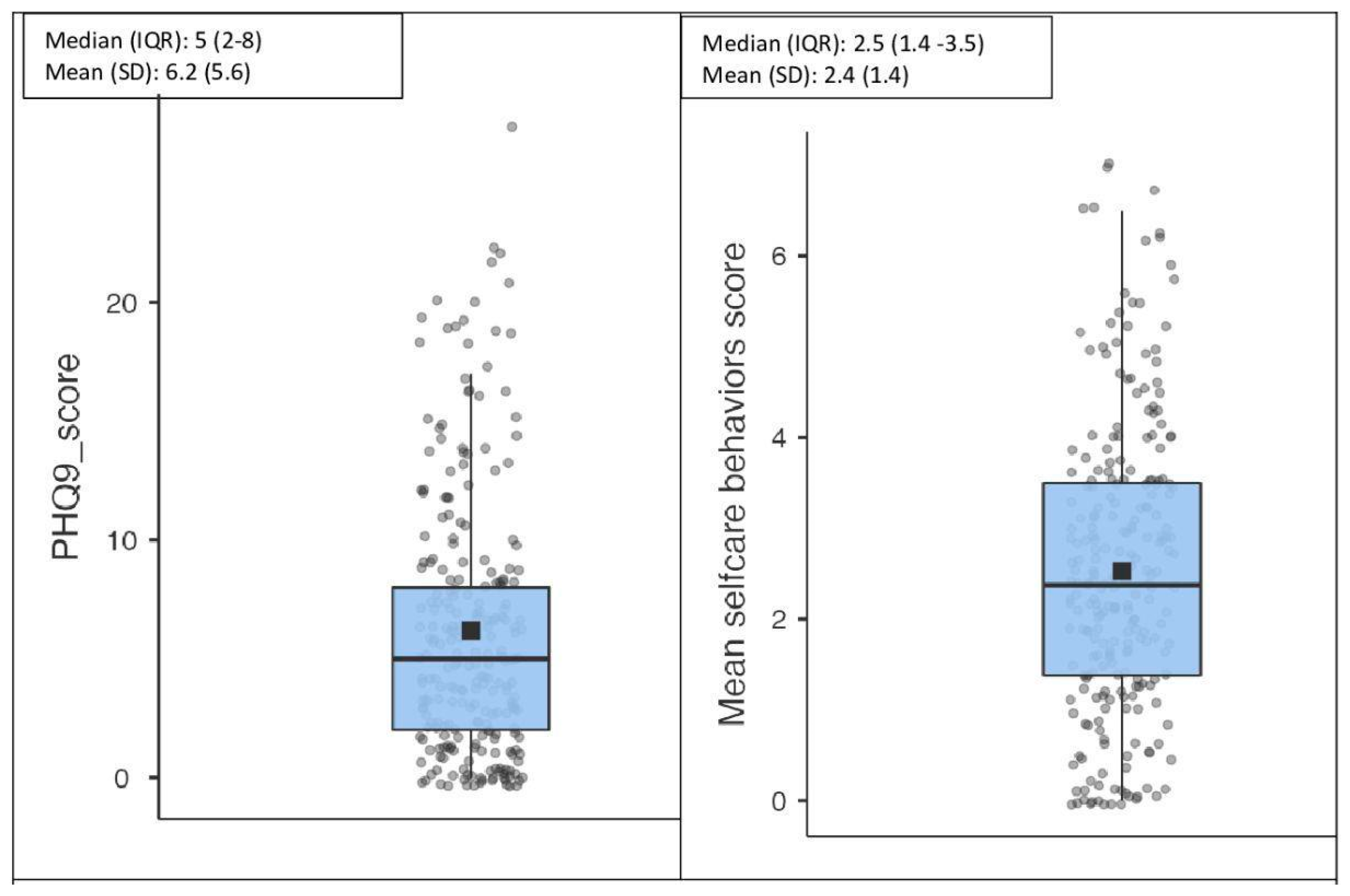
3.1. Depression
3.2. Self-Care Activities
3.3. The Association between Depression and Self-Care Activities
3.4. Factors Associated with Diabetes Self-Care Activities
4. Discussion
5. Conclusions
Author Contributions
Funding
Institutional Review Board Statement
Informed Consent Statement
Data Availability Statement
Conflicts of Interest
References
- Sun, H.; Saeedi, P.; Karuranga, S.; Pinkepank, M.; Ogurtsova, K.; Duncan, B.B.; Stein, C.; Basit, A.; Chan, J.C.; Mbanya, J.C.; et al. IDF Diabetes Atlas: Global, regional and country-level diabetes prevalence estimates for 2021 and projections for 2045. Diabetes Res. Clin. Pract. 2022, 183, 109119. [Google Scholar] [CrossRef] [PubMed]
- Masoompour, M.; Tirgari, B.; Ghazanfari, Z. The relationship between health literacy, self-efficacy, and self-care behaviors in diabetic patients. Evid. Based Care 2017, 7, 17–25. [Google Scholar] [CrossRef]
- Babazadeh, T.; Dianatinasab, M.; Daemi, A.; Nikbakht, H.A.; Moradi, F.; Ghaffari-Fam, S. Association of self-care behaviors and quality of life among patients with type 2 diabetes mellitus: Chaldoran County, Iran. Diabetes Metab. J. 2017, 41, 449–456. [Google Scholar] [CrossRef] [PubMed]
- Shrivastava, S.R.; Shrivastava, P.S.; Ramasamy, J. Role of self-care in management of diabetes mellitus. J. Diabetes Metab. Disord. 2013, 12, 14. [Google Scholar] [CrossRef]
- Gómez-Velasco, D.V.; Almeda-Valdes, P.; Martagón, A.J.; Galán-Ramírez, A.G.; Salinas, C.A.A. Empowerment of patients with type 2 diabetes: Current perspectives. Diabetes Metab. Syndr. Obes. Targets Ther. 2019, 12, 1311–1321. [Google Scholar] [CrossRef] [PubMed]
- Williams, K.E.; Bond, M.J. The roles of self-efficacy, outcome expectancies and social support in the self-care behaviours of diabetics. Psychol. Health Med. 2002, 7, 127–141. [Google Scholar] [CrossRef]
- Young-Hyman, D.; de Groot, M.; Hill-Briggs, F.; Gonzalez, J.S.; Hood, K.; Peyrot, M. Psychosocial care for people with diabetes: A position statement of the American Diabetes Association. Diabetes Care 2016, 39, 2126–2140. [Google Scholar] [CrossRef]
- Ghamri, R.; Jabali, M. Effect of depression on diabetes self-care in type 2 diabetes patients at a Saudi teaching hospital: A cross-sectional study. J. Microsc. Ultrastruct. 2020, 8, 115–120. [Google Scholar] [CrossRef]
- Albasheer, O.B.; Mahfouz, M.S.; Solan, Y.; Khan, D.A.; Muqri, M.A.; Almutairi, H.A.; Alelyani, A.M.; Alahmed, H.A. Depression and related risk factors among patients with type 2 diabetes mellitus, Jazan area, KSA: A cross-sectional study. Diabetes Metab. Syndr. Clin. Res. Rev. 2018, 12, 117–121. [Google Scholar] [CrossRef]
- El Mahalli, A.A. Prevalence and predictors of depression among type 2 diabetes mellitus outpatients in Eastern Province, Saudi Arabia. Int. J. Health Sci. 2015, 9, 121–127. [Google Scholar] [CrossRef]
- Al-Amer, R.; Ramjan, L.; Glew, P.; Randall, S.; Salamonson, Y. Self-efficacy, depression, and self-care activities in adult jordanians with type 2 diabetes: The role of illness perception. Issues Ment. Health Nurs. 2016, 37, 744–755. [Google Scholar] [CrossRef]
- Gonzalez, J.S.; Safren, S.A.; Cagliero, E.; Wexler, D.J.; Delahanty, L.; Wittenberg, E.; Blais, M.A.; Meigs, J.B.; Grant, R.W. Depression, self-care, and medication adherence in type 2 diabetes: Relationships across the full range of symptom severity. Diabetes Care 2007, 30, 2222–2227. [Google Scholar] [CrossRef]
- Wu, S.V.; Huang, Y.; Lee, M.; Wang, T.; Tung, H.; Wu, M. Self-efficacy, self-care behavior, anxiety, and depression in Taiwanese with type 2 diabetes: A cross-sectional survey. Nurs. Health Sci. 2013, 15, 213–219. [Google Scholar] [CrossRef] [PubMed]
- ElSayed, N.A.; Aleppo, G.; Aroda, V.R.; Bannuru, R.R.; Brown, F.M.; Bruemmer, D.; Collins, B.S.; Hilliard, M.E.; Isaacs, D.; Johnson, E.L.; et al. 5. Facilitating positive health behaviors and well-being to improve health outcomes: Standards of Care in Diabetes—2023. Diabetes Care 2023, 46 (Suppl. S1), S68–S96. [Google Scholar] [CrossRef]
- Kroenke, K.; Spitzer, R.L.; Williams, J.B. The PHQ-9: Validity of a brief depression severity measure. J. Gen. Intern. Med. 2001, 16, 606–613. [Google Scholar] [CrossRef] [PubMed]
- AlHadi, A.N.; AlAteeq, D.A.; Al-Sharif, E.; Bawazeer, H.M.; Alanazi, H.; AlShomrani, A.T.; Shuqdar, R.M.; AlOwaybil, R. An Arabic translation, reliability, and validation of Patient Health Questionnaire in a Saudi sample. Ann. Gen. Psychiatry 2017, 16, 16. [Google Scholar] [CrossRef] [PubMed]
- Toobert, D.J.; Hampson, E.S.; Glasgow, E.R. The summary of diabetes self-care activities measure: Results from 7 studies and a revised scale. Diabetes Care 2000, 23, 943–950. [Google Scholar] [CrossRef]
- AlJohani, K.A.; Kendall, G.E.; Snider, P.D. Psychometric evaluation of the summary of diabetes self-care activities–Arabic (SDSCA—Arabic): Translation and analysis process. J. Transcult. Nurs. 2014, 27, 65–72. [Google Scholar] [CrossRef]
- Walker, S.H.; Duncan, D.B. Estimation of the probability of an event as a function of several independent variables. Biometrika 1967, 54, 167–179. [Google Scholar] [CrossRef]
- Harrell, F.E., Jr.; Harrell, F.E. Regression models for continuous y and case study in ordinal regression. In Regression Modeling Strategies with Applications to Linear Models, Logistic and Ordinal Regression, and Survival Analysis; Springer: Berlin/Heidelberg, Germany, 2015; pp. 359–387. [Google Scholar]
- Digitale, J.C.; Martin, J.N.; Glymour, M.M. Tutorial on directed acyclic graphs. J. Clin. Epidemiol. 2022, 142, 264–267. [Google Scholar] [CrossRef]
- AlQahtani, A.H.; Alzahrani, A.S.; Alzahrani, S.H.; Alqahtani, S.M.; AlOtaibi, A.F.; Khan, A.A. Levels of Practice and Determinants of Diabetes Self-Care in Primary Health Care in Jeddah City, Saudi Arabia. Cureus 2020, 12, e8816. [Google Scholar] [CrossRef]
- Al Johani, K.; Kendall, G.; Snider, P. Self-management practices among type 2 diabetes patients attending primary health-care centres in Medina, Saudi Arabia. East. Mediterr. Health J. 2015, 21, 621–628. [Google Scholar] [CrossRef]
- Alhaiti, A.H.; Senitan, M.; Dator, W.L.T.; Sankarapandian, C.; Baghdadi, N.A.; Jones, L.K.; Da Costa, C.; Lenon, G.B. Adherence of type 2 diabetic patients to self-care activity: Tertiary care setting in Saudi Arabia. J. Diabetes Res. 2020, 2020, 4817637. [Google Scholar] [CrossRef]
- Al-Ozairi, A.; Taghadom, E.; Irshad, M.; Al-Ozairi, E. Association between depression, diabetes self-care activity and glycemic control in an Arab population with type 2 diabetes. Diabetes Metab. Syndr. Obes. 2023, 16, 321–329. [Google Scholar] [CrossRef]
- Kav, S.; Yilmaz, A.A.; Bulut, Y.; Dogan, N. Self-efficacy, depression and self-care activities of people with type 2 diabetes in Turkey. Collegian 2017, 24, 27–35. [Google Scholar] [CrossRef]
- Colberg, S.R.; Sigal, R.J.; Fernhall, B.; Regensteiner, J.G.; Blissmer, B.J.; Rubin, R.R.; Chasan-Taber, L.; Albright, A.L.; Braun, B. Exercise and type 2 diabetes: The American College of Sports Medicine and the American Diabetes Association: Joint position statement. Diabetes Care 2010, 33, e147–e167. [Google Scholar] [CrossRef]
- Kriska, A.M.; Rockette-Wagner, B.; Edelstein, S.L.; Bray, G.A.; Delahanty, L.M.; Hoskin, M.A.; Horton, E.S.; Venditti, E.M.; Knowler, W.C.; Gadde, K.; et al. The impact of physical activity on the prevention of type 2 diabetes: Evidence and lessons learned from the diabetes prevention program, a long-standing clinical trial incorporating subjective and objective activity measures. Diabetes Care 2021, 44, 43–49. [Google Scholar] [CrossRef]
- Bohanny, W.; Wu, S.-F.V.; Liu, C.-Y.; Yeh, S.-H.; Tsay, S.-L.; Wang, T.-J. Health literacy, self-efficacy, and self-care behaviors in patients with type 2 diabetes mellitus. J. Am. Assoc. Nurse Pract. 2013, 25, 495–502. [Google Scholar] [CrossRef]
- Letta, S.; Aga, F.; Yadeta, T.A.; Geda, B.; Dessie, Y. Self-care practices and correlates among patients with type 2 diabetes in Eastern Ethiopia: A hospital-based cross-sectional study. SAGE Open Med. 2022, 10, 20503121221107336. [Google Scholar] [CrossRef]
- Regassa, L.D.; Tola, A. Magnitude and predictors of hospital admission, readmission, and length of stay among patients with type 2 diabetes at public hospitals of Eastern Ethiopia: A retrospective cohort study. BMC Endocr. Disord. 2021, 21, 74. [Google Scholar] [CrossRef]
- Westreich, D.; Greenland, S. The Table 2 fallacy: Presenting and interpreting confounder and modifier coefficients. Am. J. Epidemiol. 2013, 177, 292–298. [Google Scholar] [CrossRef] [PubMed]
- Tohid, H.; Papo, M.; Ahmad, S.; Sumeh, A.S.; Jamil, T.R.; Hamzah, Z. Self-care activities among patients with type 2 diabetes mellitus in penampang, sabah and its association with depression, anxiety and stress. Malays. J. Public Health Med. 2019, 19, 117–125. [Google Scholar] [CrossRef]
- Arsh, A.; Afaq, S.; Carswell, C.; Bhatti, M.M.; Ullah, I.; Siddiqi, N. Effectiveness of physical activity in managing co-morbid depression in adults with type 2 diabetes mellitus: A systematic review and meta-analysis. J. Affect. Disord. 2023, 329, 448–459. [Google Scholar] [CrossRef] [PubMed]
- Basiri, R.; Seidu, B.; Rudich, M. Exploring the Interrelationships between Diabetes, Nutrition, Anxiety, and Depression: Impli-cations for Treatment and Prevention Strategies. Nutrients 2023, 15, 4226. [Google Scholar] [CrossRef]
- Dipnall, J.F.; Pasco, J.A.; Meyer, D.; Berk, M.; Williams, L.J.; Dodd, S.; Jacka, F.N. The association between dietary patterns, diabetes and depression. J. Affect. Disord. 2015, 174, 215–224. [Google Scholar] [CrossRef] [PubMed]



| Total (N = 252) | % | |
|---|---|---|
| Gender, n (%) | ||
| Female | 114 | 45.2 |
| Age | ||
| 18–34 | 39 | 15.5 |
| 35–54 | 104 | 31.3 |
| 55+ | 109 | 43.2 |
| Marital status, n (%) | ||
| Single | 30 | 12.0 |
| Married | 204 | 81.3 |
| Divorced | 6 | 2.4 |
| Widowed | 11 | 4.4 |
| Place of residence, n (%) | ||
| Eastern province | 158 | 62.9 |
| Western region | 60 | 23.9 |
| Central region | 18 | 7.2 |
| Northern region | 7 | 2.8 |
| Southern region | 8 | 3.2 |
| Education, n (%) | ||
| Illiterate | 8 | 3.2 |
| Elementary | 4 | 1.6 |
| Intermediate school | 16 | 6.4 |
| High school | 38 | 15.1 |
| Diploma | 33 | 13.1 |
| University | 122 | 48.6 |
| Postgraduate | 30 | 12.0 |
| Employment status, n (%) | ||
| Student | 15 | 6.0 |
| Unemployed | 45 | 17.9 |
| Employed | 91 | 36.3 |
| Retired | 100 | 39.8 |
| Health insurance, n (%) | ||
| Yes | 130 | 52.0 |
| No | 120 | 48.0 |
| Smoker, n (%) | 191 | 76.0 |
| Duration of diabetes, n (%) | ||
| <5 years | 85 | 32.5 |
| 5–10 years | 60 | 23.8 |
| >10 years | 98 | 38.8 |
| Types of treatment, n (%) | ||
| No treatment | 50 | 19.8 |
| Insulin only | 40 | 15.8 |
| Injection (other than insulin) | 5 | 1.9 |
| Oral | 104 | 41.2 |
| Oral and insulin | 49 | 19.4 |
| Comorbidities, n (%) | 239 | 94.5 |
| Diabetes complications, n (%) | 197 | 78.0 |
| Hospitalization, n (%) | 196 | 77.7 |
| Diabetes education, n (%) | 72 | 28.5 |
| Self-Care Activities | Self-Care Activity Days | Association with PHQ-9 (OR with 95% CI, p Value) | Adjusted Association with PHQ-9 (OR with 95% CI, p Value) |
|---|---|---|---|
| Total score, median (IQR) | 2.5 (1.4 to 3.5) | 0.84 (0.74 to 0.97, p = 0.017 *) | 0.83 (0.71 to 0.96, p = 0.013 *) |
| Diet, median days (IQR) | 3.0 (0.5 to 5) | 0.89 (0.82 to 0.98, p = 0.017 *) | 0.94 (0.85 to 1.03, p = 0.045) |
| Blood glucose monitoring, median days (IQR) | 2.5 (0 to 5.5) | 0.98 (0.90 to 1.06, p = 0.574) | 0.90 (0.82 to 0.99, p = 0.003 *) |
| Exercise, median days (IQR) | 0.5 (0.0 to 3.0) | 0.86 (0.77 to 0.95, p = 0.003 *) | 0.88 (0.79 to 0.98, p = 0.002 *) |
| Foot care, median days (IQR) | 0.5 (0.0 to 3.0) | 0.97 (0.87 to 1.08, p = 0.600) | 0.94 (0.84 to 1.01, p = 0.263) |
| Predictor | Univariable Regression (OR with 95% CI, p Value) | Multivariable Regression (Adjusted OR with 95% CI, p Value) |
|---|---|---|
| Diabetes Onset | 1.15 (0.89 to 1.48, p = 0.276) | 1.09 (0.81 to 1.47, p = 0.538) |
| Diabetes Medications | 1.08 (0.93 to 1.26, p = 0.285) | 0.99 (0.83 to 1.19, p = 0.988) |
| Dyslipidemia | 1.11 (0.70 to 1.76, p = 0.658) | 1.05 (0.62 to 1.76, p = 0.847) |
| Hypertension | 1.20 (0.76 to 1.89, p = 0.425) | 1.33 (0.86 to 2.21, p = 0.262) |
| Other cardiovascular diseases | 0.66 (0.27 to 1.59, p = 0.359) | 0.81 (0.32 to 2.02, p = 0.659) |
| Asthma or other respiratory diseases | 0.49 (0.21 to 1.14, p = 0.097) | 0.40 (0.17 to 0.94, p = 0.035 *) |
| Chronic renal disease | 2.06 (0.10 to 34.03, p = 0.630) | 1.64 (0.06 to 34.21, p = 0.769) |
| Complications | 0.79 (0.475 to 1.32, p = 0.377) | 0.75 (0.42 to 1.34, p = 0.340) |
| Hospitalization | 1.87 (1.12 to 3.16, p = 0.018 *) | 1.81 (1.03 to 3.19, p = 0.039 *) |
| Diabetes education | 2.00 (1.23 to 3.28, p = 0.006 *) | 1.89 (1.09 to 3.29, p = 0.024 *) |
Disclaimer/Publisher’s Note: The statements, opinions and data contained in all publications are solely those of the individual author(s) and contributor(s) and not of MDPI and/or the editor(s). MDPI and/or the editor(s) disclaim responsibility for any injury to people or property resulting from any ideas, methods, instructions or products referred to in the content. |
© 2024 by the authors. Licensee MDPI, Basel, Switzerland. This article is an open access article distributed under the terms and conditions of the Creative Commons Attribution (CC BY) license (https://creativecommons.org/licenses/by/4.0/).
Share and Cite
Kurdi, S.M.; Alamer, A.; Albaggal, A.; Alsuwaiket, M.; Alotaibi, F.M.; Asiri, I.M.; Alshayban, D.M.; Alsultan, M.M.; Alshehail, B.; Almalki, B.A.; et al. The Association between Self-Care Activities and Depression in Adult Patients with Type 2 Diabetes in Saudi Arabia: A Cross-Sectional Web-Based Survey Study. J. Clin. Med. 2024, 13, 419. https://doi.org/10.3390/jcm13020419
Kurdi SM, Alamer A, Albaggal A, Alsuwaiket M, Alotaibi FM, Asiri IM, Alshayban DM, Alsultan MM, Alshehail B, Almalki BA, et al. The Association between Self-Care Activities and Depression in Adult Patients with Type 2 Diabetes in Saudi Arabia: A Cross-Sectional Web-Based Survey Study. Journal of Clinical Medicine. 2024; 13(2):419. https://doi.org/10.3390/jcm13020419
Chicago/Turabian StyleKurdi, Sawsan M., Ahmad Alamer, Aya Albaggal, Marwa Alsuwaiket, Fawaz M. Alotaibi, Ibrahim M. Asiri, Dhfer M. Alshayban, Mohammed M. Alsultan, Bashayer Alshehail, Bassem A. Almalki, and et al. 2024. "The Association between Self-Care Activities and Depression in Adult Patients with Type 2 Diabetes in Saudi Arabia: A Cross-Sectional Web-Based Survey Study" Journal of Clinical Medicine 13, no. 2: 419. https://doi.org/10.3390/jcm13020419
APA StyleKurdi, S. M., Alamer, A., Albaggal, A., Alsuwaiket, M., Alotaibi, F. M., Asiri, I. M., Alshayban, D. M., Alsultan, M. M., Alshehail, B., Almalki, B. A., Hussein, D., Alotaibi, M. M., & Alfayez, O. M. (2024). The Association between Self-Care Activities and Depression in Adult Patients with Type 2 Diabetes in Saudi Arabia: A Cross-Sectional Web-Based Survey Study. Journal of Clinical Medicine, 13(2), 419. https://doi.org/10.3390/jcm13020419

