Non-Pharmacological Management of Gestational Diabetes Mellitus with a High Fasting Glycemic Parameter: A Hospital-Based Study in Vietnam
Abstract
1. Introduction
2. Materials and Methods
2.1. Study Design, Setting, and Population
2.2. Sample Size
2.3. Inclusion and Exclusion Criteria
2.4. Dietary and Physical Intervention
2.5. Outcomes
2.6. Statistical Analysis
2.7. Ethics Statement
3. Results
4. Discussion
4.1. Strengths and Limitations
4.2. Future Implications
5. Conclusions
Supplementary Materials
Author Contributions
Funding
Institutional Review Board Statement
Informed Consent Statement
Data Availability Statement
Acknowledgments
Conflicts of Interest
Abbreviations
References
- Kunasegaran, T.; Balasubramaniam, V.; Arasoo, V.J.T.; Palanisamy, U.D.; Ramadas, A. Gestational Diabetes Mellitus in Southeast Asia: A Scoping Review. Int. J. Environ. Res. Public Health 2021, 18, 1272. [Google Scholar] [CrossRef] [PubMed]
- Plows, J.F.; Stanley, J.L.; Baker, P.N.; Reynolds, C.M.; Vickers, M.H. The Pathophysiology of Gestational Diabetes Mellitus. Int. J. Mol. Sci. 2018, 19, 3342. [Google Scholar] [CrossRef]
- Zhou, B.; Sheffer, K.E.; Bennett, J.E.; Gregg, E.W.; Danaei, G.; Singleton, R.K.; Shaw, J.E.; Mishra, A.; Lhoste, V.P.F. Global variation in diabetes diagnosis and prevalence based on fasting glucose and hemoglobin A1c. Nat. Med. 2023, 29, 2885–2901. [Google Scholar]
- Chu, L.C.H.; Sugiyama, T.; Ma, R.C.W. Recent updates and future perspectives on gestational diabetes mellitus: An important public health challenge. J. Diabetes Investig. 2021, 12, 1944–1947. [Google Scholar] [CrossRef]
- Hillier, T.A.; Pedula, K.L.; Ogasawara, K.K.; Vesco, K.K.; Oshiro, C.E.S.; Lubarsky, S.L.; Van Marter, J. A Pragmatic, Randomized Clinical Trial of Gestational Diabetes Screening. N. Engl. J. Med. 2021, 384, 895–904. [Google Scholar] [CrossRef]
- Nguyen, C.L.; Lee, A.H.; Pham, N.M.; Nguyen, P.T.H.; Van Ha, A.V.; Chu, T.K.; Van Duong, D.; Duong, H.T.; Binns, C.W. Prevalence and pregnancy outcomes of gestational diabetes mellitus by different international diagnostic criteria: A prospective cohort study in Vietnam. J. Matern. Fetal Neonatal Med. 2020, 33, 3706–3712. [Google Scholar] [CrossRef]
- Hirst, J.E.; Tran, T.S.; Do, M.A.; Morris, J.M.; Jeffery, H.E. Consequences of gestational diabetes in an urban hospital in Viet Nam: A prospective cohort study. PLoS Med. 2012, 9, e1001272. [Google Scholar] [CrossRef]
- El Sayed, N.A.; Aleppo, G.; Aroda, V.R.; Bannuru, R.R.; Brown, F.M.; Bruemmer, D.; Collins, B.S.; Hilliard, M.E.; Isaacs, D.; Johnson, E.L.; et al. Management of Diabetes in Pregnancy: Standards of Care in Diabetes—2023. Diabetes Care 2023, 46 (Suppl. S1), S254–S266. [Google Scholar] [CrossRef] [PubMed]
- Al-Hasani, W.; Ranasinghe, R.; Rogers, H.; Spanier, W.; Spears, K.; Gayle, C.; Long, L.; Dimitriadis, G.K.; Hunt, K.F.; Vincent, R.P. Clinical utility of point-of-care glucose testing in the assessment of gestational diabetes: Prospective cohort study. Int. J. Obstet. Gynecol. 2024, 131, 1270–1278. [Google Scholar] [CrossRef]
- Saravanan, P.; Deepa, M.; Ahmed, Z.; Ram, U.; Surapaneni, T.; Kallur, S.D.; Desari, P.; Suresh, S.; Anjana, R.A.; Hannah, W.; et al. Early pregnancy HbA1c as the first screening test for gestational diabetes: Results from three prospective cohorts. Lancet Diabetes Endocrinol. 2024, 12, 535–544. [Google Scholar] [CrossRef]
- Craig, L.; Sims, R.; Glasziou, P.; Thomas, R. Women’s experiences of a diagnosis of gestational diabetes mellitus: A systematic review. BMC Pregnancy Childbirth 2020, 20, 76. [Google Scholar] [CrossRef] [PubMed]
- Sweeting, A.; Wong, J.; Murphy, H.R.; Ross, G.P. A Clinical Update on Gestational Diabetes Mellitus. Endocr. Rev. 2022, 43, 763–793. [Google Scholar] [CrossRef]
- Landon, M.B.; Spong, C.Y.; Thom, E.; Carpenter, M.W.; Ramin, S.M.; Casey, B.; Wapner, R.J.; Varner, M.W.; Rouse, D.J.; Thorp, J.M., Jr.; et al. A multicenter, randomized trial of treatment for mild gestational diabetes. N. Engl. J. Med. 2009, 361, 1339–1348. [Google Scholar] [CrossRef]
- Cao, Y.; Yang, Y.; Liu, L.; Ma, J. Analysis of risk factors of neonatal hypoglycemia and its correlation with blood glucose control of gestational diabetes mellitus: A retrospective study. Medicine 2023, 102, e34619. [Google Scholar] [CrossRef] [PubMed]
- Wei, Y.; Xu, Q.; Yang, H.; Yang, Y.; Wang, L.; Chen, H.; Anderson, C.; Liu, X.; Song, G.; Li, Q.; et al. Preconception diabetes mellitus and adverse pregnancy outcomes in over 6.4 million women: A population-based cohort study in China. PLoS Med. 2019, 16, e1002926. [Google Scholar] [CrossRef]
- Phaloprakarn, C.; Tangjitgamol, S. Glucose levels during gestational diabetes pregnancy and the risk of developing postpartum diabetes or prediabetes. BMC Pregnancy Childbirth 2022, 22, 22. [Google Scholar] [CrossRef] [PubMed]
- Yefet, E.; Schwartz, N.; Sliman, B.; Ishay, A.; Nachum, Z. Good glycemic control of gestational diabetes mellitus is associated with the attenuation of future maternal cardiovascular risk: A retrospective cohort study. Cardiovasc. Diabetol. 2019, 18, 75. [Google Scholar] [CrossRef]
- Ornoy, A.; Becker, M.; Weinstein-Fudim, L.; Ergaz, Z. Diabetes during Pregnancy: A Maternal Disease Complicating the Course of Pregnancy with Long-Term Deleterious Effects on the Offspring. A Clinical Review. Int. J. Mol. Sci. 2021, 22, 2965. [Google Scholar] [CrossRef] [PubMed]
- Murray, S.R.; Reynolds, R.M. Short- and long-term outcomes of gestational diabetes and its treatment on fetal development. Prenat. Diagn. 2020, 40, 1085–1091. [Google Scholar] [CrossRef]
- Seshiah, V.; Balaji, V.; Chawla, R.; Gupta, S.; Jaggi, S.; Anjalakshi, C.; Divakar, H.; Banerjee, S.; Bhavatharini, N.; Thanawala, U. Diagnosis and management of gestational diabetes mellitus guidelines by DIPSI (Revised). Int. J. Diabetes Dev. Ctries. 2023, 43, 485–501. [Google Scholar] [CrossRef]
- Hirst, J.E.; Tran, T.S.; Do, M.A.; Rowena, F.; Morris, J.M.; Jeffery, H.E. Women with gestational diabetes in Vietnam: A qualitative study to determine attitudes and health behaviours. BMC Pregnancy Childbirth 2012, 12, 81. [Google Scholar] [CrossRef] [PubMed]
- Ohene-Agyei, P.; Tran, T.; Harding, J.E.; Crowther, C.A. Do glycaemic treatment targets affect the perinatal mental health status of women with gestational diabetes?—Data from the TARGET Trial. BMC Pregnancy Childbirth 2023, 23, 869. [Google Scholar] [CrossRef]
- Mahajan, A.; Donovan, L.E.; Vallee, R.; Yamamoto, J.M. Evidenced-Based Nutrition for Gestational Diabetes Mellitus. Curr. Diabetes Rep. 2019, 19, 94. [Google Scholar] [CrossRef] [PubMed]
- Al Hashmi, I.; Nandy, K.; Seshan, V. Non-Medical Strategies to Improve Pregnancy Outcomes of Women with Gestational Diabetes Mellitus: A literature review. Sultan Qaboos Univ. Med. J. 2019, 19, e4–e10. [Google Scholar] [CrossRef]
- Martis, R.; Crowther, C.A.; Shepherd, E.; Alsweiler, J.; Downie, M.R.; Brown, J. Treatments for women with gestational diabetes mellitus: An overview of Cochrane systematic reviews. Cochrane Database Syst. Rev. 2018, 8, CD012327. [Google Scholar] [CrossRef]
- Lee, K.-H.; Han, Y.-J.; Chung, J.-H.; Kim, M.-Y.; Ryu, H.-M.; Kim, J.-H.; Kwak, D.-W.; Kim, S.-H.; Yang, S.; Kim, M. Treatment of gestational diabetes diagnosed by the IADPSG criteria decreases excessive fetal growth. Obstet. Gynecol. Sci. 2020, 63, 19–26. [Google Scholar] [CrossRef]
- Tsirou, E.; Grammatikopoulou, M.G.; Theodoridis, X.; Gkiouras, K.; Petalidou, A.; Taousani, E.; Savvaki, D.; Tsapas, A.; Goulis, D.G. Guidelines for Medical Nutrition Therapy in Gestational Diabetes Mellitus: Systematic Review and Critical Appraisal. J. Acad. Nutr. Diet. 2019, 119, 1320–1339. [Google Scholar] [CrossRef]
- McIntyre, H.D.; Catalano, P.; Zhang, C.; Desoye, G.; Mathiesen, E.R.; Damm, P. Gestational diabetes mellitus. Nat. Rev. Dis. Primers 2019, 5, 47. [Google Scholar] [CrossRef]
- Picón-César, M.J.; Molina-Vega, M.; Suárez-Arana, M.; González-Mesa, E.; Sola-Moyano, A.P.; Roldan-López, R.; Romero-Narbona, F.; Olveira, G.; Tinahones, F.J.; Gonzalez-Romero, S. Metformin for gestational diabetes study: Metformin vs insulin in gestational diabetes: Glycemic control and obstetrical and perinatal outcomes: Randomized prospective trial. Am. J. Obstet. Gynecol. 2021, 225, 517.e1–e17. [Google Scholar] [CrossRef]
- Sweeting, A.; Hannah, W.; Backman, H.; Catalano, P.; Feghali, M.; Herman, W.H.; Hivert, M.-F.; Immanuel, J.; Meek, C.; Oppermann, M.L.; et al. Epidemiology and management of gestational diabetes. Lancet 2024, 18, 175–192. [Google Scholar] [CrossRef]
- Simmons, D.; Immanuel, J.; Hague, W.M.; Teede, H.; Nolan, C.J.; Peek, M.J.; Flack, J.R.; McLean, M.; Wong, V.; Hibbert, E.; et al. Treatment of Gestational Diabetes Mellitus Diagnosed Early in Pregnancy. N. Engl. J. Med. 2023, 388, 2132–2144. [Google Scholar] [CrossRef] [PubMed]
- Harrison, R.K.; Cruz, M.; Wong, A.; Davitt, C.; Palatnik, A. The timing of initiation of pharmacotherapy for women with gestational diabetes mellitus. BMC Pregnancy Childbirth 2020, 20, 773. [Google Scholar] [CrossRef] [PubMed]
- Vasile, F.C.; Preda, A.; Ștefan, A.G.; Vladu, M.I.; Forțofoiu, M.-C.; Clenciu, D.; Gheorghe, I.O.; Forțofoiu, M.; Moța, M. An Update of Medical Nutrition Therapy in Gestational Diabetes Mellitus. J. Diabetes Res. 2021, 2021, 5266919. [Google Scholar] [CrossRef]
- Padayachee, C.; Coombes, J.S. Exercise guidelines for gestational diabetes mellitus. World J. Diabetes 2015, 6, 1033–1044. [Google Scholar] [CrossRef]
- Oskovi-Kaplan, Z.A.; Ozgu-Erdinc, A.S. Management of Gestational Diabetes Mellitus. Adv. Exp. Med. Biol. 2021, 1307, 257–272. [Google Scholar]
- Onaade, O.; Maples, J.M.; Rand, B.; Fortner, K.B.; Zite, N.B.; Ehrlich, S.F. Physical activity for blood glucose control in gestational diabetes mellitus: Rationale and recommendations for translational behavioral interventions. Clin. Diabetes Endocrinol. 2021, 7, 7. [Google Scholar] [CrossRef]
- Yaping, X.; Huifen, Z.; Meijing, Z.; Huibin, H.; Chunhong, L.; Fengfeng, H.; Jingjing, F. Effects of Moderate-Intensity Aerobic Exercise on Blood Glucose Levels and Pregnancy Outcomes in Patients with Gestational Diabetes Mellitus: A Randomized Controlled Trial. Diabetes Ther. Res. Treat. Educ. Diabetes Relat. Disord. 2021, 12, 2585–2598. [Google Scholar]
- Benham, J.L.; Gingras, V.; McLennan, N.-M.; Most, J.; Yamamoto, J.M.; Aiken, C.E.; Ozanne, S.E.; Reynolds, R.M. Precision gestational diabetes treatment: A systematic review and meta-analyses. Commun. Med. 2023, 3, 135. [Google Scholar] [CrossRef]
- Zakaria, H.; Abusanana, S.; Mussa, B.M.; Al Dhaheri, A.S.; Stojanovska, L.; Mohamad, M.N.; Saleh, S.T.; Ali, H.I.; Ismail, L.C. The Role of Lifestyle Interventions in the Prevention and Treatment of Gestational Diabetes Mellitus. Medicina 2023, 59, 287. [Google Scholar] [CrossRef]
- Phan, L.; Kubota, J.; Pignotti, G.A.P. Carbohydrate Knowledge Observed to be Low in Vietnamese Women with Gestational Diabetes Mellitus. J. Nutr. Educ. Behav. 2022, 54, 551–556. [Google Scholar] [CrossRef]
- Moon, J.H.; Jang, H.C. Gestational Diabetes Mellitus: Diagnostic Approaches and Maternal-Offspring Complications. Diabetes Metab. J. 2022, 46, 3–14. [Google Scholar] [CrossRef]
- Naing, L.; Nordin, R.B.; Abdul Rahman, H.; Naing, Y.T. Sample size calculation for prevalence studies using Scalex and ScalaR calculators. BMC Med. Res. Methodol. 2022, 22, 209. [Google Scholar] [CrossRef]
- Tuyet, H.T.D.; Trang, H.N.K.; Yen, P.T.B.; Tam, T.T.N. Physical Activity Combine Medical Nutrient Therapy to Control Glycemia Gestational Diabetes Mellitus in Hung Vuong Hospital, Vietnam. J. Gynecol. Women’s Health 2019, 15, 555905. [Google Scholar] [CrossRef]
- Tuohy, J.F.; Bloomfield, F.H.; Crowther, C.A.; Harding, J.E. Maternal and neonatal glycaemic control after antenatal corticosteroid administration in women with diabetes in pregnancy: A retrospective cohort study. PLoS ONE 2021, 16, e0246175. [Google Scholar] [CrossRef] [PubMed]
- Sukarna, N.; Tan, P.C.; Hong, J.G.S.; Sulaiman, S.; Omar, S.Z. Glycemic control following two regimens of antenatal corticosteroids in mild gestational diabetes: A randomized controlled trial. Arch. Gynecol. Obstet. 2021, 304, 345–353. [Google Scholar] [CrossRef]
- Chasan-Taber, L.; Schmidt, M.D.; Roberts, D.E.; Hosmer, D.; Markenson, G.; Freedson, P.S. Development and validation of a Pregnancy Physical Activity Questionnaire. Med. Sci. Sports Exerc. 2004, 36, 1750–1760. [Google Scholar] [CrossRef] [PubMed]
- Ota, E.; Haruna, M.; Yanai, H.; Suzuki, M.; Anh, D.D.; Matsuzaki, M.; Tho, L.H.; Ariyoshi, K.; Yeo, S.A.; Murashima, S. Reliability and validity of the Vietnamese version of the Pregnancy Physical Activity Questionnaire (PPAQ). Southeast Asian J. Trop. Med. Public Health 2008, 39, 562–570. [Google Scholar]
- Lim, J.U.; Lee, J.H.; Kim, J.S.; Hwang, Y.I.; Kim, T.H.; Lim, S.Y.; Yoo, K.H.; Jung, K.-S.; Kim, Y.K.; Rhee, C.K. Comparison of World Health Organization and Asia-Pacific body mass index classifications in COPD patients. Int. J. Chronic Obstr. Pulm. Dis. 2017, 12, 2465–2475. [Google Scholar] [CrossRef]
- Rasmussen, K.M.; Catalano, P.M.; Yaktine, A.L. New guidelines for weight gain during pregnancy: What obstetrician/gynecologists should know. Curr. Opin. Obstet. Gynecol. 2009, 21, 521–526. [Google Scholar] [CrossRef]
- Benito Vielba, M.; De Bonrostro Torralba, C.; Álvarez Sarrado, L.; Tajada Duaso, M.; Campillos Maza, J.M.; Castán Mateo, S. Uterocervical angle at 20 weeks: A promising predictor of spontaneous preterm birth in twin pregnancies. Eur. J. Obstet. Gynecol. Reprod. Biol. 2021, 260, 131–136. [Google Scholar] [CrossRef]
- Management of Diabetes in Pregnancy: Standards of Medical Care in Diabetes-2022. Diabetes Care 2022, 45 (Suppl. 1), S232–S243. [CrossRef] [PubMed]
- Akoglu, H. User’s guide to correlation coefficients. Turk. J. Emerg. Med. 2018, 18, 91–93. [Google Scholar] [CrossRef]
- Gupta, Y.; Kalra, B.; Baruah, M.P.; Singla, R.; Kalra, S. Updated guidelines on screening for gestational diabetes. Int. J. Womens Health 2015, 7, 539–550. [Google Scholar] [CrossRef]
- Coustan, D.R.; Dyer, A.R.; Metzger, B.E. One-step or 2-step testing for gestational diabetes: Which is better? Am. J. Obstet. Gynecol. 2021, 225, 634–644. [Google Scholar] [CrossRef]
- Raets, L.; Beunen, K.; Benhalima, K. Screening for Gestational Diabetes Mellitus in Early Pregnancy: What Is the Evidence? J. Clin. Med. 2021, 10, 1257. [Google Scholar] [CrossRef]
- Schwartz, N.; Green, M.S.; Yefet, E.; Nachum, Z. Postprandial glycemic control during gestational diabetes pregnancy predicts the risk of recurrence. Sci. Rep. 2018, 8, 6350. [Google Scholar] [CrossRef]
- Hofer, O.J.; Alsweiler, J.; Tran, T.; Crowther, C.A. Glycemic control in gestational diabetes and impact on biomarkers in women and infants. Pediatr. Res. 2023, 94, 466–476. [Google Scholar] [CrossRef] [PubMed]
- Scifres, C.M.; Mead-Harvey, C.; Nadeau, H.; Reid, S.; Pierce, S.; Feghali, M.; Myers, D.; Fields, D.; Stoner, J.A. Intensive glycemic control in gestational diabetes mellitus: A randomized controlled clinical feasibility trial. Am. J. Obstet. Gynecol. 2019, 1, 100050. [Google Scholar] [CrossRef]
- Scott, E.M.; Feig, D.S.; Murphy, H.R.; Law, G.R.; The CONCEPTT Collaborative Group. Continuous Glucose Monitoring in Pregnancy: Importance of Analyzing Temporal Profiles to Understand Clinical Outcomes. Diabetes Care 2020, 43, 1178–1184. [Google Scholar] [CrossRef]
- Igwesi-Chidobe, C.N.; Okechi, P.C.; Emmanuel, G.N.; Ozumba, B.C. Community-based non-pharmacological interventions for pregnant women with gestational diabetes mellitus: A systematic review. BMC Women’s Health 2022, 22, 482. [Google Scholar] [CrossRef]
- Zhang, S.; Liu, H.; Li, N.; Dong, W.; Li, W.; Wang, L.; Zhang, Y.; Yang, Y.; Leng, J. Relationship between gestational body mass index change and the risk of gestational diabetes mellitus: A community-based retrospective study of 41,845 pregnant women. BMC Pregnancy Childbirth 2022, 22, 336. [Google Scholar] [CrossRef] [PubMed]
- Morikawa, M.; Yamada, T.; Saito, Y.; Noshiro, K.; Mayama, M.; Nakagawa-Akabane, K.; Umazume, T.; Chiba, K.; Kawaguchi, S.; Watari, H. Predictors of recurrent gestational diabetes mellitus: A Japanese multicenter cohort study and literature review. J. Obstet. Gynaecol. Res. 2021, 47, 1292–1304. [Google Scholar] [CrossRef] [PubMed]
- Stewart-Field, Z.A. Gestational diabetes: Screening, diagnosis, treatment and management. Obstet. Gynaecol. Reprod. Med. 2023, 33, 185–189. [Google Scholar] [CrossRef]





| Characteristics | Frequency (n = 174) | Percentage (%) | |
|---|---|---|---|
| Maternal age (years) | mean ± SD (min-max) | 31.95 ± 5.45 (20–47) | |
| <35 | 117 | 67.2 | |
| ≥35 | 57 | 32.8 | |
| Gestational age (weeks) | mean ± SD | 26.55 ± 1.70 | |
| Demographic region | Urban | 120 | 69.0 |
| Rural | 54 | 31.0 | |
| Occupation | Farmer/worker/ seller/housework | 163 | 93.7 |
| Office staff/student | 11 | 6.3 | |
| Education | Primary school | 6 | 3.4 |
| Secondary school | 48 | 27.6 | |
| High school | 71 | 40.8 | |
| College/university | 49 | 28.3 | |
| Average monthly income (million VNĐ per month) | <10 | 101 | 58.0 |
| 10–20 | 68 | 39.1 | |
| >20 | 5 | 2.9 | |
| Familial history of diabetes (in any first-degree relatives) | Yes | 30 | 17.2 |
| No | 144 | 82.8 | |
| Diabetes mellitus in the previous pregnancies | Yes | 16 | 9.2 |
| No | 158 | 90.8 | |
| Parity (times) | 0 | 69 | 39.7 |
| 1 | 105 | 60.3 | |
| BMI (kg/m2) | mean ± SD (min-max) | 26.06 ± 3.56 (18.73–36.89) | |
| Underweight (<18.5) | 0 | 0.0 | |
| Normal weight (18.5–22.9) | 31 | 17.8 | |
| Overweight (23.0–24.9) | 41 | 23.6 | |
| Obese (≥25.0) | 102 | 58.6 | |
| Overweight gain (kg) | Yes | 49 | 28.2 |
| No | 125 | 71.8 | |
| OGTT result | One high parameter | 69 | 39.7 |
| Two high parameters | 46 | 26.4 | |
| Three high parameters | 59 | 33.9 | |
| Glycemic value (mg/dL) | Fasting parameter at OGTT mean ± SD (min-max) | 97.88 ± 6.51 (88.07–126.00) | |
| 1-h parameter at OGTT mean ± SD (min-max) | 173.00 ± 37.16 (92.33–263.32) | ||
| 2-h parameter at OGTT mean ± SD (min-max) | 149.39 ± 28.16 (90.00–200.00) | ||
| Physical activities (Met-hr/wk) | Daily activities (mean ± SD) | 73.48 ± 36.33 | |
| Doing exercises/ sports (mean ± SD) | 56.45 ± 52.19 | ||
| Glycemic value after 2 weeks of GDM management (mg/dL) | Fasting glycemic parameter (mean ± SD) (min-max) | 94.37 ± 10.06 (73.80–135.00) | |
| 2-h postprandial glycemic parameter (mean ± SD) (min-max) | 103.61 ± 13.35 (65.00–149.00) | ||
| Result of GDM control after dietary–physical management | Successful control | 103 | 59.2 |
| Failed control | 71 | 40.8 | |
| Glycemic Control Group | Success Group (N = 103) | Failed Group (N = 71) | p-Value * | |
|---|---|---|---|---|
| Glycemic Parameters (mg/dL) | ||||
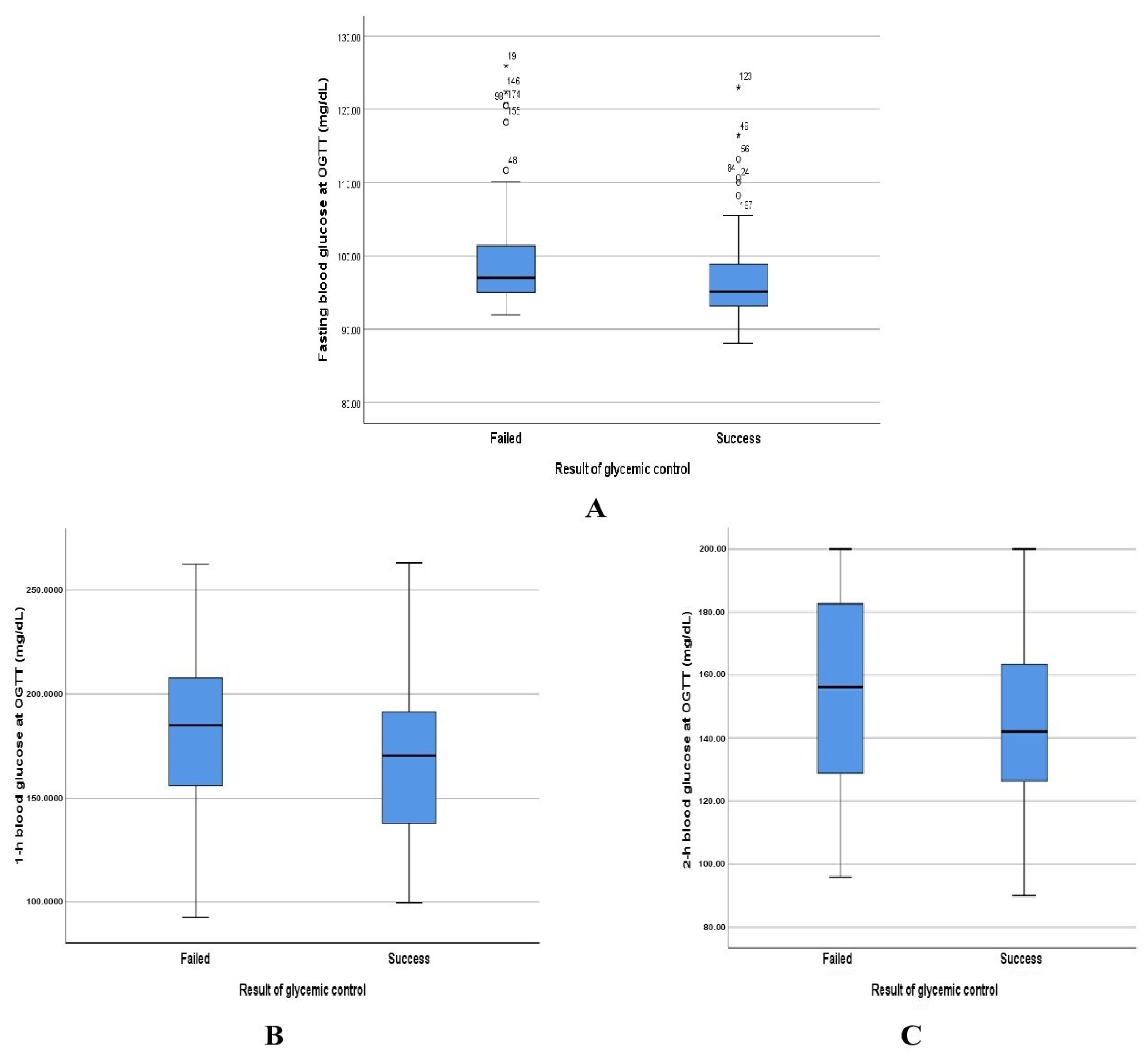
| Fasting blood glucose | At OGTT | 96.72 ± 5.42 | 99.56 ± 7.55 | 0.007 |
| After 2 weeks of GDM management | 88.23 ± 5.04 | 103.27 ± 8.79 | <0.001 | |
| 2 h blood glucose | At OGTT | 144.70 ± 26.90 | 156.19 ± 28.73 | 0.009 |
| After 2 weeks of GDM management | 98.46 ± 11.03 | 111.10 ± 12.92 | <0.001 |
| Glycemic Parameters of OGTT Results | Frequency (n) | Success Rate of Glycemic Control n (%) | 95% CI (Lower-Upper Limit) | p-Value |
|---|---|---|---|---|
| One high parameter (fasting blood glucose level) | 69 | 48 (69.6) | 62.7–76.4 | 0.059 |
| Two high parameters (fasting and 1-h or 2-h blood glucose levels) | 46 | 26 (56.5) | 49.1–63.8 | |
| Three high parameters (fasting, 1-h, and 2-h blood glucose levels) | 59 | 29 (49.2) | 41.7–56.6 | |
| Total | 174 | 103 (59.2) | 51.9–66.5 |
| Test of Blood Glucose at OGTT and after 2 Weeks of GDM Management | Fasting Blood Glucose at OGTT (mg/dL) | 1 h Blood Glucose at OGTT (mg/dL) | 2 h Blood Glucose at OGTT (mg/dL) | Fasting Blood Glucose after 2 Weeks of GDM Management (mg/dL) | 2 h Postprandial after 2 Weeks of GDM Management (mg/dL) |
|---|---|---|---|---|---|
| Fasting blood glucose at OGTT (mg/dL) | - | r = 0.341 ** p < 0.0001 | r = 0.302 ** p < 0.0001 | r = 0.270 ** p < 0.0001 | r = 0.264 ** p < 0.0001 |
| 1 h blood glucose at OGTT (mg/dL) | r = 0.341 ** p < 0.0001 | - | r = 0.699 ** p < 0.0001 | r = 0.129 p = 0.090 | r = 0.292 ** p < 0.0001 |
| 2 h blood glucose at OGTT (mg/dL) | r = 0.302 ** p < 0.0001 | r = 0.699 ** p < 0.0001 | - | r = 0.167 * p = 0.027 | r = 0.290 ** p < 0.0001 |
| Fasting blood glucose after 2 weeks of GDM management (mg/dL) | r = 0.270 ** p < 0.0001 | r = 0.129 p = 0.090 | r = 0.167 * p = 0.027 | - | r = 0.459 ** p < 0.0001 |
| 2 h postprandial after 2 weeks of GDM management (mg/dL) | r = 0.264 ** p < 0.0001 | r = 0.290 ** p < 0.0001 | r = 0.290 ** p < 0.0001 | r = 0.459 ** p < 0.0001 | - |
| Activities | Frequency (n) | Percentage (%) |
|---|---|---|
| Sitting/sedentary (Met-hr/wk) | 47.63 ± 25.06 * | |
| Low | 84 | 48,3 |
| High | 90 | 51.7 |
| Light intensity (Met-hr/wk) | 62.25 ± 46.71 * | |
| Low | 87 | 50.0 |
| High | 87 | 50.0 |
| Moderate intensity (Met-hr/wk) | 8.67 (0.00–126.80) ** (5.25–21.67) *** | |
| Low | 82 | 47.1 |
| High | 92 | 52.9 |
| Vigorous intensity (Met-hr/wk) | 0.00 (0.00–84.0) ** (0.00–0.00) *** | |
| Low | 163 | 93.7 |
| High | 11 | 6.3 |
| Total intensity of activities (Met-hr/wk) | 129.94 ± 67.86 * | |
| Low | 85 | 48.9 |
| High | 89 | 51.1 |
| Household/caregiving activity (Met-hr/wk) | 51.36 ± 33.29 * | |
| Low | 79 | 45.4 |
| High | 95 | 54.6 |
| Occupational/working activity (Met-hr/wk) | 44.42 ± 49.63 * | |
| Low | 85 | 48.9 |
| High | 89 | 51.1 |
| Physical exercises/sports (Met-hr/wk) | 1.51 ± 1.50 * | |
| Low | 63 | 36.2 |
| High | 111 | 63.8 |
| Factors | Classified | Success (n = 103) n (%) | Failed (n = 71) n (%) | OR * (95% CI) | p-Value * | aOR ** (95% CI) | p-Value ** |
|---|---|---|---|---|---|---|---|
| Maternal age (years) | <35 | 77 (65.8) | 40 (34.2) | Ref | - | Ref | |
| ≥35 | 26 (45.6) | 31 (54.4) | 0.44 (0.23–0.83) | 0.01 | 0.65 (0.30–1.44) | 0.29 | |
| Geographic region | Urban | 67 (55.8) | 53 (44.2) | Ref | - | Ref | |
| Rural | 36 (66.7) | 18 (33.3) | 1.58 (0.81–3.10) | 0.18 | 1.97 (0.91–4.26) | 0.09 | |
| Occupation | Worker | 8 (72.7) | 3 (27.3) | Ref | 0.35 | NA | |
| Office staff | 95 (58.3) | 68 (41.7) | 0.52 (0.13–2.05) | ||||
| Education | Primary school | 4 (66.7) | 2 (33.3) | Ref | - | NA | |
| Secondary school | 30 (62.5) | 18 (37.5) | 0.83 (0.14–5.03) | 0.84 | |||
| High school | 36 (50.7) | 35 (49.3) | 0.51 (0.09–2.99) | 0.46 | |||
| College/ university | 33 (67.3) | 16 (32.7) | 1.03 (0.17–6.25) | 0.97 | |||
| Average monthly income (million VNĐ per month) | <10 | 56 (55.4) | 45 (44.6) | Ref | - | NA | |
| 10–20 | 44 (64.7) | 24 (35.3) | 1.47 (0.78–2.78) | 0.23 | |||
| >20 | 3 (60.0) | 2 (40.0) | 1.20 (0.19–7.52) | 0.83 | |||
| Parity | 0 | 49 (71.0) | 20 (29.0) | Ref | - | Ref | |
| 1 | 54 (51.4) | 51 (48.6) | 0.43 (0.23–0.83) | 0.01 | 0.52 (0.23–1.17) | 0.11 | |
| Pregestational BMI (kg/m2) | Normal (18.5–22.9) | 23 (74.2) | 8 (25.8) | Ref | - | Ref | |
| Overweight (23.24.9) | 26 (63.4) | 15 (36.6) | 0.60 (0.22–1.68) | 0.33 | 0.50 (0.16–1.62) | 0.25 | |
| Obese (≥25.0) | 54 (52.9) | 48 (47.1) | 0.39 (0.16–0.96) | 0.04 | 0.55 (0.19–1.55) | 0.26 | |
| Overweight gain during pregnancy | Yes | 22 (44.9) | 27 (55.1) | Ref | - | Ref | |
| No | 81 (64.8) | 44 (35.2) | 2.26 (1.15–4.42) | 0.02 | 1.71 (0.78–3.76) | 0.18 | |
| Initial result of OGTT (mmol/L) | One elevated parameter | 48 (69.6) | 21 (30.4) | Ref | - | Ref | |
| Two elevated parameters | 26 (56.5) | 20 (43.5) | 0.57 (0.26–1.24) | 0.15 | 0.31 (0.12-0.76) | 0.01 | |
| Three elevated parameters | 29 (49.2) | 30 (50.8) | 0.42 (0.21–0.42) | 0.02 | 0.37 (0.16–0.86) | 0.02 | |
| Moderate intensive activities | Low | 44 (53.7) | 38 (46.3) | Ref | - | Ref | |
| High | 59 (64.1) | 33 (35.9) | 1.54 (0.84–2.83) | 0.16 | 1.17 (0.51–2.66) | 0.71 | |
| Working activities | Low | 46 (54.1) | 39 (45.9) | Ref | - | Ref | |
| High | 57 (64.0) | 32 (36.0) | 1.51 (0.82–2.77) | 0.18 | 0.60 (0.22–1.61) | 0.31 | |
| Exercises/sports activities | Low | 30 (47.6) | 33 (52.4) | Ref | - | Ref | |
| High | 73 (65.8) | 38 (34.2) | 2.11 (1.12–3.97) | 0.02 | 1.83 (0.82–4.10) | 0.14 | |
| Total intensity of physical activities | Low | 45 (52.9) | 40 (47.1) | Ref | - | Ref | |
| High | 58 (65.2) | 31 (34.8) | 1.66 (0.90–3.06) | 0.10 | 1.87 (0.69–5.13) | 0.22 | |
Disclaimer/Publisher’s Note: The statements, opinions and data contained in all publications are solely those of the individual author(s) and contributor(s) and not of MDPI and/or the editor(s). MDPI and/or the editor(s) disclaim responsibility for any injury to people or property resulting from any ideas, methods, instructions or products referred to in the content. |
© 2024 by the authors. Licensee MDPI, Basel, Switzerland. This article is an open access article distributed under the terms and conditions of the Creative Commons Attribution (CC BY) license (https://creativecommons.org/licenses/by/4.0/).
Share and Cite
Nguyen, H.G.; Nguyen, K.T.H.; Nguyen, P.N. Non-Pharmacological Management of Gestational Diabetes Mellitus with a High Fasting Glycemic Parameter: A Hospital-Based Study in Vietnam. J. Clin. Med. 2024, 13, 5895. https://doi.org/10.3390/jcm13195895
Nguyen HG, Nguyen KTH, Nguyen PN. Non-Pharmacological Management of Gestational Diabetes Mellitus with a High Fasting Glycemic Parameter: A Hospital-Based Study in Vietnam. Journal of Clinical Medicine. 2024; 13(19):5895. https://doi.org/10.3390/jcm13195895
Chicago/Turabian StyleNguyen, Hang Giang, Khanh Trang Huynh Nguyen, and Phuc Nhon Nguyen. 2024. "Non-Pharmacological Management of Gestational Diabetes Mellitus with a High Fasting Glycemic Parameter: A Hospital-Based Study in Vietnam" Journal of Clinical Medicine 13, no. 19: 5895. https://doi.org/10.3390/jcm13195895
APA StyleNguyen, H. G., Nguyen, K. T. H., & Nguyen, P. N. (2024). Non-Pharmacological Management of Gestational Diabetes Mellitus with a High Fasting Glycemic Parameter: A Hospital-Based Study in Vietnam. Journal of Clinical Medicine, 13(19), 5895. https://doi.org/10.3390/jcm13195895

