Effects of Switching FSH Preparations on Sperm Parameters and Pregnancy: A Prospective Controlled Study
Abstract
1. Introduction
2. Patients and Methods
2.1. Ethical Statement
2.2. Study Protocol
2.3. Patient Selection
2.4. Hormonal Assessment
2.5. Testicular Volume Evaluation
2.6. Sperm Conventional Parameters
2.7. Statistical Analysis
3. Results
3.1. General Characteristics
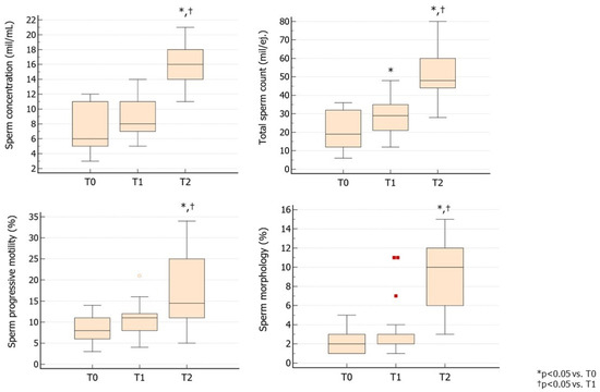
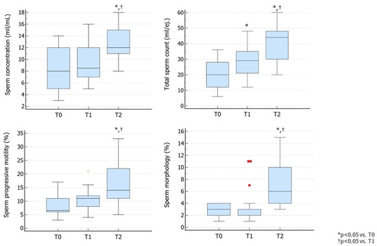
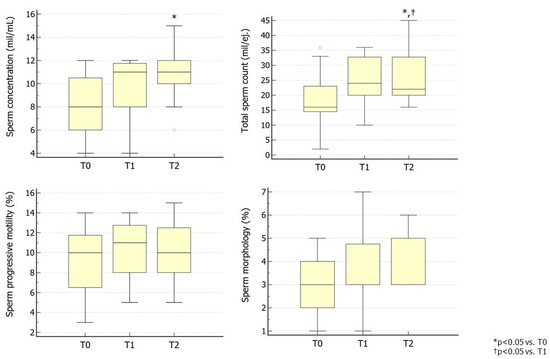
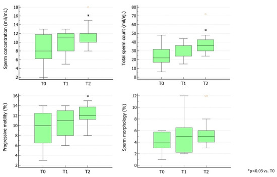
3.2. Intra-Group Analysis
3.3. Intergroup Analysis
4. Discussion
Supplementary Materials
Author Contributions
Funding
Institutional Review Board Statement
Informed Consent Statement
Data Availability Statement
Conflicts of Interest
References
- Zegers-Hochschild, F.; Adamson, G.D.; Dyer, S.; Racowsky, C.; de Mouzon, J.; Sokol, R.; Rienzi, L.; Sunde, A.; Schmidt, L.; Cooke, I.D.; et al. The International Glossary on Infertility and Fertility Care, 2017. Fertil. Steril. 2017, 108, 393–406. [Google Scholar] [CrossRef] [PubMed]
- Singaram, M.; Muraleedhran, V.R.; Sivaprakasam, M. Cross fertilisation of Public Health and Translational Research. J. Indian Inst. Sci. 2022, 102, 763–782. [Google Scholar] [CrossRef] [PubMed] [PubMed Central]
- Available online: https://www.who.int/news/item/04-04-2023-1-in-6-people-globally-affected-by-infertility (accessed on 20 August 2023).
- Thonneau, P.; Marchand, S.; Tallec, A.; Ferial, M.L.; Ducot, B.; Lansac, J.; Lopes, P.; Tabaste, J.M.; Spira, A. Incidence and main causes of infertility in a resident population (1,850,000) of three French regions (1988–1989). Hum. Reprod. 1991, 6, 811–816. [Google Scholar] [CrossRef] [PubMed]
- Punab, M.; Poolamets, O.; Paju, P.; Vihljajev, V.; Pomm, K.; Ladva, R.; Korrovits, P.; Laan, M. Causes of male infertility: A 9-year prospective monocentre study on 1737 patients with reduced total sperm counts. Hum. Reprod. 2017, 32, 18–31. [Google Scholar] [CrossRef] [PubMed]
- Tüttelmann, F.; Ruckert, C.; Röpke, A. Disorders of spermatogenesis: Perspectives for novel genetic diagnostics after 20 years of unchanged routine. Med. Genet. 2018, 30, 12–20. [Google Scholar] [CrossRef] [PubMed] [PubMed Central]
- Ferlin, A.; Calogero, A.E.; Krausz, C.; Lombardo, F.; Paoli, D.; Rago, R.; Scarica, C.; Simoni, M.; Foresta, C.; Rochira, V.; et al. Management of male factor infertility: Position statement from the Italian Society of Andrology and Sexual Medicine (SIAMS): Endorsing Organization: Italian Society of Embryology, Reproduction, and Research (SIERR). J. Endocrinol. Investig. 2022, 45, 1085–1113. [Google Scholar] [CrossRef]
- Santi, D.; Crépieux, P.; Reiter, E.; Spaggiari, G.; Brigante, G.; Casarini, L.; Rochira, V.; Simoni, M. Follicle-stimulating Hormone (FSH) Action on Spermatogenesis: A Focus on Physiological and Therapeutic Roles. J. Clin. Med. 2020, 9, 1014. [Google Scholar] [CrossRef] [PubMed] [PubMed Central]
- Schlegel, P.N.; Sigman, M.; Collura, B.; De Jonge, C.J.; Eisenberg, M.L.; Lamb, D.J.; Mulhall, J.P.; Niederberger, C.; Sandlow, J.I.; Sokol, R.Z.; et al. Diagnosis and Treatment of Infertility in Men: AUA/ASRM Guideline PART II. J. Urol. 2021, 205, 44–51. [Google Scholar] [CrossRef] [PubMed]
- Colpi, G.M.; Francavilla, S.; Haidl, G.; Link, K.; Behre, H.M.; Goulis, D.G.; Krausz, C.; Giwercman, A. European Academy of Andrology guideline Management of oligo-astheno-teratozoospermia. Andrology 2018, 6, 513–524. [Google Scholar] [CrossRef]
- Bousfield, G.R.; May, J.V.; Davis, J.S.; Dias, J.A.; Kumar, T.R. In Vivo and In Vitro Impact of Carbohydrate Variation on Human Follicle-Stimulating Hormone Function. Front. Endocrinol. 2018, 9, 216. [Google Scholar] [CrossRef] [PubMed] [PubMed Central]
- Riccetti, L.; Sperduti, S.; Lazzaretti, C.; Klett, D.; De Pascali, F.; Paradiso, E.; Limoncella, S.; Potì, F.; Tagliavini, S.; Trenti, T.; et al. Glycosylation Pattern and in vitro Bioactivity of Reference Follitropin alfa and Biosimilars. Front. Endocrinol. 2019, 10, 503. [Google Scholar] [CrossRef] [PubMed] [PubMed Central]
- Simoni, M.; Brigante, G.; Rochira, V.; Santi, D.; Casarini, L. Prospects for FSH Treatment of Male Infertility. J. Clin. Endocrinol. Metab. 2020, 105, dgaa243. [Google Scholar] [CrossRef] [PubMed]
- Available online: https://d56bochluxqnz.cloudfront.net/documents/full-guideline/EAU-Guidelines-on-Sexual-and-Reproductive-Health-2024_2024-05-23-101205_nmbi.pdf (accessed on 2 February 2024).
- Casarini, L.; Crépieux, P.; Reiter, E.; Lazzaretti, C.; Paradiso, E.; Rochira, V.; Brigante, G.; Santi, D.; Simoni, M. FSH for the Treatment of Male Infertility. Int. J. Mol. Sci. 2020, 21, 2270. [Google Scholar] [CrossRef] [PubMed] [PubMed Central]
- van Wely, M.; Kwan, I.; Burt, A.L.; Thomas, J.; Vail, A.; Van der Veen, F.; Al-Inany, H.G. Recombinant versus urinary gonadotrophin for ovarian stimulation in assisted reproductive technology cycles. Cochrane Database Syst. Rev. 2011, 2011, CD005354. [Google Scholar] [CrossRef] [PubMed] [PubMed Central]
- Cannarella, R.; La Vignera, S.; Condorelli, R.A.; Mongioì, L.M.; Calogero, A.E. FSH dosage effect on conventional sperm parameters: A meta-analysis of randomized controlled studies. Asian J. Androl. 2020, 22, 309–316. [Google Scholar] [CrossRef] [PubMed] [PubMed Central]
- Santi, D.; Granata, A.R.; Simoni, M. FSH treatment of male idiopathic infertility improves pregnancy rate: A meta-analysis. Endocr. Connect. 2015, 4, R46–R58. [Google Scholar] [CrossRef] [PubMed]
- Foresta, C.; Bettella, A.; Garolla, A.; Ambrosini, G.; Ferlin, A. Treatment of male idiopathic infertility with recombinant human follicle-stimulating hormone: A prospective, controlled, randomized clinical study. Fertil. Steril. 2005, 84, 654–661. [Google Scholar] [CrossRef]
- Barbonetti, A.; Calogero, A.E.; Balercia, G.; Garolla, A.; Krausz, C.; La Vignera, S.; Lombardo, F.; Jannini, E.A.; Maggi, M.; Lenzi, A.; et al. The use of follicle stimulating hormone (FSH) for the treatment of the infertile man: Position statement from the Italian Society of Andrology and Sexual Medicine (SIAMS). J. Endocrinol. Investig. 2018, 41, 1107–1122. [Google Scholar] [CrossRef]
- Casarini, L.; Moriondo, V.; Marino, M.; Adversi, F.; Capodanno, F.; Grisolia, C.; La Marca, A.; La Sala, G.B.; Simoni, M. FSHR polymorphism p.N680S mediates different responses to FSH in vitro. Mol. Cell. Endocrinol. 2014, 393, 83–91. [Google Scholar] [CrossRef]
- Grigorova, M.; Rull, K.; Laan, M. Haplotype structure of FSHB, the beta-subunit gene for fertility-associated follicle-stimulating hormone: Possible influence of balancing selection. Ann. Hum. Genet. 2007, 71 Pt 1, 18–28. [Google Scholar] [CrossRef] [PubMed] [PubMed Central]
- Grigorova, M.; Punab, M.; Ausmees, K.; Laan, M. FSHB promoter polymorphism within evolutionary conserved element is associated with serum FSH level in men. Hum. Reprod. 2008, 23, 2160–2166. [Google Scholar] [CrossRef] [PubMed] [PubMed Central]
- Ferlin, A.; Vinanzi, C.; Selice, R.; Garolla, A.; Frigo, A.C.; Foresta, C. Toward a pharmacogenetic approach to male infertility: Polymorphism of follicle-stimulating hormone beta-subunit promoter. Fertil. Steril. 2011, 96, 1344–1349.e2. [Google Scholar] [CrossRef] [PubMed]
- Simoni, M.; Santi, D.; Negri, L.; Hoffmann, I.; Muratori, M.; Baldi, E.; Cambi, M.; Marcou, M.; Greither, T.; Baraldi, E.; et al. Treatment with human, recombinant FSH improves sperm DNA fragmentation in idiopathic infertile men depending on the FSH receptor polymorphism p.N680S: A pharmacogenetic study. Hum. Reprod. 2016, 31, 1960–1969. [Google Scholar] [CrossRef] [PubMed]
- Foresta, C.; Bettella, A.; Ferlin, A.; Garolla, A.; Rossato, M. Evidence for a stimulatory role of follicle-stimulating hormone on the spermatogonial population in adult males. Fertil. Steril. 1998, 69, 636–642. [Google Scholar] [CrossRef] [PubMed]
- Garolla, A.; Selice, R.; Engl, B.; Bertoldo, A.; Menegazzo, M.; Finos, L.; Lenzi, A.; Foresta, C. Spermatid count as a predictor of response to FSH therapy. Reprod. Biomed. Online 2014, 29, 102–112. [Google Scholar] [CrossRef]
- World Health Organization. WHO Laboratory Manual for the Examination and Processing of Human Semen, 5th ed.; Cambridge University Press: Cambridge, UK, 2010. [Google Scholar]
- Bhasin, S.; Brito, J.P.; Cunningham, G.R.; Hayes, F.J.; Hodis, H.N.; Matsumoto, A.M.; Snyder, P.J.; Swerdloff, R.S.; Wu, F.C.; Yialamas, M.A. Testosterone Therapy in Men with Hypogonadism: An Endocrine Society Clinical Practice Guideline. J. Clin. Endocrinol. Metab. 2018, 103, 1715–1744. [Google Scholar] [CrossRef] [PubMed]
- Hackett, G.; Kirby, M.; Edwards, D.; Jones, T.H.; Wylie, K.; Ossei-Gerning, N.; David, J.; Muneer, A. British Society for Sexual Medicine Guidelines on Adult Testosterone Deficiency, With Statements for UK Practice. J. Sex. Med. 2017, 14, 1504–1523. [Google Scholar] [CrossRef] [PubMed]
- Pilatz, A.; Rusz, A.; Wagenlehner, F.; Weidner, W.; Altinkilic, B. Reference values for testicular volume, epididymal head size and peak systolic velocity of the testicular artery in adult males measured by ultrasonography. Ultraschall Med. 2013, 34, 349–354. [Google Scholar] [CrossRef] [PubMed]
- De Placido, G.; Mollo, A.; Alviggi, C.; Strina, I.; Varricchio, M.T.; Ranieri, A.; Colacurci, N.; Tolino, A.; Wilding, M. Rescue of IVF Cycles by HMG in Pituitary Down-Regulated Normogonadotrophic Young Women Characterized by a Poor Initial Response to Recombinant FSH. Hum. Reprod. 2001, 16, 1875–1879. [Google Scholar] [CrossRef]
- Wang, B.; Liu, W.; Liu, Y.; Zhang, W.; Ren, C.; Guan, Y. What Does Unexpected Suboptimal Response During Ovarian Stimulation Suggest, an Overlooked Group? Front. Endocrinol. 2021, 12, 795254. [Google Scholar] [CrossRef] [PubMed] [PubMed Central]
- Loreti, N.; Fresno, C.; Barrera, D.; Andreone, L.; Albarran, S.L.; Fernandez, E.A.; Larrea, F.; Campo, S. The glycan structure in recombinant human FSH affects endocrine activity and global gene expression in human granulosa cells. Mol. Cell Endocrinol. 2013, 366, 68–80. [Google Scholar] [CrossRef] [PubMed]
- Barrios-de-Tomasi, J.; Nayudu, P.L.; Brehm, R.; Heistermann, M.; Zariñán, T.; Ulloa-Aguirre, A. Effects of human pituitary FSH isoforms on mouse follicles in vitro. Reprod. Biomed. Online 2006, 12, 428–441. [Google Scholar] [CrossRef] [PubMed]
- Vitt, U.A.; Kloosterboer, H.J.; Rose, U.M.; Mulders, J.W.; Kiesel, P.S.; Bete, S.; Nayudu, P.L. Isoforms of human recombinant follicle-stimulating hormone: Comparison of effects on murine follicle development in vitro. Biol. Reprod. 1998, 59, 854–861. [Google Scholar] [CrossRef] [PubMed]
- Brannian, J.; Eyster, K.; Mueller, B.A.; Bietz, M.G.; Hansen, K. Differential gene expression in human granulosa cells from recombinant FSH versus human menopausal gonadotropin ovarian stimulation protocols. Reprod. Biol. Endocrinol. 2010, 8, 25. [Google Scholar] [CrossRef] [PubMed] [PubMed Central]
- Grøndahl, M.L.; Borup, R.; Lee, Y.B.; Myrhøj, V.; Meinertz, H.; Sørensen, S. Differences in gene expression of granulosa cells from women undergoing controlled ovarian hyperstimulation with either recombinant follicle-stimulating hormone or highly purified human menopausal gonadotropin. Fertil. Steril. 2009, 91, 1820–1830. [Google Scholar] [CrossRef] [PubMed]
- Lambert, A.; Talbot, J.A.; Anobile, C.J.; Robertson, W.R. Gonadotrophin heterogeneity and biopotency: Implications for assisted reproduction. Mol. Hum. Reprod. 1998, 4, 619–629. [Google Scholar] [CrossRef] [PubMed]
- Hård, K.; Mekking, A.; Damm, J.B.; Kamerling, J.P.; de Boer, W.; Wijnands, R.A.; Vliegenthart, J.F. Isolation and structure determination of the intact sialylated N-linked carbohydrate chains of recombinant human follitropin expressed in Chinese hamster ovary cells. Eur. J. Biochem. 1990, 193, 263–271. [Google Scholar] [CrossRef] [PubMed]





| Group 1 | Group 2 | Group 3 | Group 4 | p-Value | |
|---|---|---|---|---|---|
| Age (years) | 32.7 ± 8.4 | 34.2 ± 9.0 | 29.5 ± 6.3 | 30.3 ± 6.0 | 0.25 |
| BMI (kg/m2) | 25.7 (23.0–34.0) | 30.0 (20.0–33.0) | 27.0 (23.3–33.8) | 27.0 (23.0–33.8) | 0.66 |
| Testicular volume (mL) | 11.1 ± 3.0 | 11.3 ± 2.5 | 9.9 ± 2.3 | 9.6 ± 3.3 | 0.2 |
| LH (mUI/mL) | 2.8 ± 0.9 | 2.8 ± 1.0 | 3.1 ± 0.8 | 3.3 ± /0.1 | 0.2 |
| FSH (mUI/mL) | 3.0 (2.2–3.8) | 3.0 (2.3–3.8) | 2.8 (2.2–3.3) | 3.3 (2.4–4.2) | 0.66 |
| Total testosterone (ng/dL) | 482.5 (445.0–555.0) | 549.5 (456.0–613.0) | 513.0 (452.0–565.0) | 469.0 (443.5–562.0) | 0.28 |
| Sperm concentration (mil/mL) | 6.0 (5.0–11.0) | 8.0 (5.0–12.0) | 8.0 (6.0–10.5) | 8.0 (6.3–11.8) | 0.68 |
| Total sperm count (mil/ejaculate) | 19.0 (12.0–32.0) | 20.0 (12.0–28.0) | 16.0 (14.5–23.0) | 22.0 (17.0–31.8) | 0.50 |
| Progressive motility (%) | 8.7 ± 3.2 | 8.0 ± 3.5 | 9.1 ± 3.5 | 9.3 ± 3.5 | 0.64 |
| Morphology (%) | 2.0 (1.0–3.0) | 3.0 (2.0–4.0) | 3.0 (2.0–4.0) | 4.0 (3.0–5.8) | 0.06 |
| Group 1 (n = 22) | Group 2 (n = 22) | Group 3 (n = 15) | Group 4 (n = 15) | |||||||||
|---|---|---|---|---|---|---|---|---|---|---|---|---|
| T0 | T1 | T2 | T0 | T1 | T2 | T0 | T1 | T2 | T0 | T1 | T2 | |
| BMI (kg/m2) | 27.5 (23.0–34.0) | 27.5 (23.0–34.0) | 28.5 (23.0–34.0) | 30.0 (20.0–33.0) | 26.5 (23.0–34.0) | 29.0 (23.0–31.0) | 27.0 (23.3–33.8) | 26.0 (22.5–33.5) | 26.0 (22.0–33.5) | 27.0 (23.0–33.8) | 29.0 (22.0–33.5) | 26.0 (22.0–33.5) |
| Testicular volume (mL) | 11.1 ± 3.0 | 11.6 ± 2.6 | 13.4 ± 2.4 *,† | 11.3 ± 2.5 | 11.9 ± 2.6 | 14.0 ± 1.9 *,† | 11.0 (8.0–11.8) | 11.0 (8.3–11.8) | 11.0 (9.3–12.0) | 9.6 ± 3.3 | 10.6 ± 2.0 | 12.0 ± 2.0 * |
| LH (mUI/mL) | 2.8 ± 0.9 | 2.9 ± 0.8 | 3.3 ± 0.8 | 2.9 (2.0–3.0) | 3.0 (2.8–3.4) | 3.3 (3.0–4.0) * | 3.1 ± 0.8 | 4.0 ± 1.4 | 5.0 ± 2.0 * | 3.3 ± 1.0 | 4.5 ± 1.6 * | 5.5 ± 1.8 * |
| FSH (mUI/mL) | 3.1 ± 1.2 | 3.3 ± 1.0 | 4.1 ± 1.2 *,† | 3.1 ± 1.1 | 3.4 ± 1.0 | 4.2 ± 1.4 *,† | 2.8 (2.2–3.3) | 3.3 (3.0–5.0) | 5.0 (3.2–6.0) * | 3.3 (2.4–4.2) | 45.0 (3.3–6.0) | 6.0 (3.5–6.0) * |
| Total testosterone (ng/dL) | 482.5 (445.0–555.0) | 473.0 (456.0–556.0) | 566.5 (469.0–678.0) *,† | 513.7 ± 79.4 | 548.1 ± 99.9 | 584.7 ± 114.7 | 522.4 ± 73.5 | 566.9 ± 103.3 | 589.5 ± 91.3 | 492.1 ± 80.0 | 596.5 ± 119.6 * | 638.4 ± 124.3 * |
| Parameters | Group 1 | Group 2 | Group 3 | Group 4 |
|---|---|---|---|---|
| Testicular volume (mL) | 12.0 (10.0–14.0) | 12.0 (10.0–14.0) | 11.0 (8.3–11.8) | 11.0 (9.3–12.0) |
| LH (mUI/mL) | 2.9 ± 0.8 | 3.1 ± 0.8 | 4.0 ± 1.4 *,† | 4.5 ± 1.6 *,† |
| FSH (mUI/mL) | 3.2 (3.0–4.0) | 3.4 (3.0–4.0) | 3.3 (3.0–5.0) | 5.0 (3.3–6.0) * |
| Total testosterone (ng/dL) | 473.0 (456.0–556.0) | 549.5 (456.0–613.0) | 556.0 (467.5–675.0) | 562.0 (479.8–694.5) |
| Sperm concentration (×106/mL) | 8.9 ± 2.5 | 9.4 ± 2.8 | 9.5 ± 2.7 | 8.7 ± 3.3 |
| Total sperm count (×106/ejaculate) | 27.8 ± 10.0 | 27.8 ± 10.0 | 24.9 ± 7.8 | 29.9 ± 8.8 |
| Sperm progressive motility (%) | 11.0 (8.0–12.0) | 11.0 (8.0–12.0) | 11.0 (8.0–12.8) | 11.0 (8.0–13.0) |
| Sperm morphology (%) | 3.0 (2.0–3.0) | 3.0 (2.0–3.0) | 3.0 (3.0–4.8) | 5.0 (2.3–6.5) |
Disclaimer/Publisher’s Note: The statements, opinions and data contained in all publications are solely those of the individual author(s) and contributor(s) and not of MDPI and/or the editor(s). MDPI and/or the editor(s) disclaim responsibility for any injury to people or property resulting from any ideas, methods, instructions or products referred to in the content. |
© 2024 by the authors. Licensee MDPI, Basel, Switzerland. This article is an open access article distributed under the terms and conditions of the Creative Commons Attribution (CC BY) license (https://creativecommons.org/licenses/by/4.0/).
Share and Cite
Cannarella, R.; Leanza, C.; Crafa, A.; Aversa, A.; Condorelli, R.A.; Calogero, A.E.; La Vignera, S. Effects of Switching FSH Preparations on Sperm Parameters and Pregnancy: A Prospective Controlled Study. J. Clin. Med. 2024, 13, 5666. https://doi.org/10.3390/jcm13195666
Cannarella R, Leanza C, Crafa A, Aversa A, Condorelli RA, Calogero AE, La Vignera S. Effects of Switching FSH Preparations on Sperm Parameters and Pregnancy: A Prospective Controlled Study. Journal of Clinical Medicine. 2024; 13(19):5666. https://doi.org/10.3390/jcm13195666
Chicago/Turabian StyleCannarella, Rossella, Claudia Leanza, Andrea Crafa, Antonio Aversa, Rosita A. Condorelli, Aldo E. Calogero, and Sandro La Vignera. 2024. "Effects of Switching FSH Preparations on Sperm Parameters and Pregnancy: A Prospective Controlled Study" Journal of Clinical Medicine 13, no. 19: 5666. https://doi.org/10.3390/jcm13195666
APA StyleCannarella, R., Leanza, C., Crafa, A., Aversa, A., Condorelli, R. A., Calogero, A. E., & La Vignera, S. (2024). Effects of Switching FSH Preparations on Sperm Parameters and Pregnancy: A Prospective Controlled Study. Journal of Clinical Medicine, 13(19), 5666. https://doi.org/10.3390/jcm13195666

