Clinical, Radiographic, and Biomechanical Evaluation of the Upper Extremity in Patients with Osteogenesis Imperfecta
Abstract
1. Introduction
2. Materials and Methods
2.1. Study Design and Patients
2.2. Radiographic Assessment
2.3. Clinical Assessment
2.4. 3D Motion Analysis
- Southampton Hand Assessment Procedure (SHAP) [20];
- Measurement of maximum active range of motion (aRoM) for the wrist, elbow, forearm, and shoulder in all planes.
2.5. Statistical Analysis
3. Results
3.1. Radiographic Results
3.2. Clinical Results
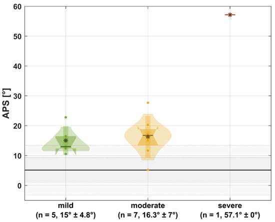
3.3. 3D Motion Analysis
4. Discussion
5. Conclusions
Supplementary Materials
Author Contributions
Funding
Institutional Review Board Statement
Informed Consent Statement
Data Availability Statement
Conflicts of Interest
References
- Rauch, F.; Glorieux, F.H. Osteogenesis imperfecta. Lancet 2004, 363, 1377–1385. [Google Scholar] [CrossRef] [PubMed]
- Forlino, A.; Marini, J.C. Osteogenesis imperfecta. Lancet 2016, 387, 1657–1671. [Google Scholar] [CrossRef] [PubMed]
- Cho, T.J.; Ko, J.M.; Kim, H.; Shin, H.I.; Yoo, W.J.; Shin, C.H. Management of Osteogenesis Imperfecta: A Multidisciplinary Comprehensive Approach. Clin. Orthop. Surg. 2020, 12, 417–429. [Google Scholar] [CrossRef] [PubMed]
- Sillence, D.O.; Senn, A.; Danks, D.M. Genetic heterogeneity in osteogenesis imperfecta. J. Med. Genet. 1979, 16, 101–116. [Google Scholar] [CrossRef]
- Van Dijk, F.S.; Sillence, D.O. Osteogenesis imperfecta: Clinical diagnosis, nomenclature and severity assessment. Am. J. Med. Genet. Part A 2014, 164, 1470–1481. [Google Scholar] [CrossRef]
- Graf, A.; Hassani, S.; Krzak, J.; Caudill, A.; Flanagan, A.; Bajorunaite, R.; Harris, G.; Smith, P. Gait characteristics and functional assessment of children with type I osteogenesis imperfecta. J. Orthop. Res. 2009, 27, 1182–1190. [Google Scholar] [CrossRef]
- De Wouters, S.; Detrembleur, C.; Durnez, A.; Mahaudens, P.; Henry, B.; Schrooyen, J.; Docquier, P.L. Quantitative gait analysis in children with osteogenesis imperfecta: Relationship between gait deviations and clinical features. Acta Orthop. Belg. 2022, 88, 255–262. [Google Scholar] [CrossRef]
- Garman, C.R.; Graf, A.; Krzak, J.; Caudill, A.; Smith, P.; Harris, G. Gait Deviations in Children with Osteogenesis Imperfecta Type, I.J. Pediatr. Orthop. 2019, 39, e641–e646. [Google Scholar] [CrossRef]
- Amako, M.; Fassier, F.; Hamdy, R.C.; Aarabi, M.; Montpetit, K.; Glorieux, F.H. Functional analysis of upper limb deformities in osteogenesis imperfecta. J. Pediatr. Orthop. 2004, 24, 689–694. [Google Scholar] [CrossRef]
- Fassier, A.M.; Rauch, F.; Aarabi, M.; Janelle, C.; Fassier, F. Radial head dislocation and subluxation in osteogenesis imperfecta. J. Bone Jt. Surg. Am. 2007, 89, 2694–2704. [Google Scholar] [CrossRef][Green Version]
- Montpetit, K.; Palomo, T.; Glorieux, F.H.; Fassier, F.; Rauch, F. Multidisciplinary Treatment of Severe Osteogenesis Imperfecta: Functional Outcomes at Skeletal Maturity. Arch. Phys. Med. Rehabil. 2015, 96, 1834–1839. [Google Scholar] [CrossRef] [PubMed]
- Kadaba, M.P.; Ramakrishnan, H.K.; Wootten, M.E.; Gainey, J.; Gorton, G.; Cochran, G.V. Repeatability of kinematic, kinetic, and electromyographic data in normal adult gait. J. Orthop. Res. 1989, 7, 849–860. [Google Scholar] [CrossRef] [PubMed]
- Mailleux, L.; Jaspers, E.; Ortibus, E.; Simon-Martinez, C.; Desloovere, K.; Molenaers, G.; Klingels, K.; Feys, H. Clinical assessment and three-dimensional movement analysis: An integrated approach for upper limb evaluation in children with unilateral cerebral palsy. PLoS ONE 2017, 12, e0180196. [Google Scholar] [CrossRef]
- Beaton, D.E.; Wright, J.G.; Katz, J.N. Upper Extremity Collaborative Group. Development of the QuickDASH: Comparison of three item-reduction approaches. J. Bone Jt. Surg. Am. 2005, 87, 1038–1046. [Google Scholar]
- Van Andel, C.J.; Wolterbeek, N.; Doorenbosch, C.A.; Veeger, D.H.; Harlaar, J. Complete 3D kinematics of upper extremity functional tasks. Gait Posture 2008, 27, 120–127. [Google Scholar] [CrossRef] [PubMed]
- Woltring, H.J. A fortran package for generalized, cross-validatory spline smoothing and differentiation. Adv. Eng. Softw. 1986, 8, 104–113. [Google Scholar] [CrossRef]
- Jaspers, E.; Feys, H.; Bruyninckx, H.; Cutti, A.; Harlaar, J.; Molenaers, G.; Desloovere, K. The reliability of upper limb kinematics in children with hemiplegic cerebral palsy. Gait Posture 2011, 33, 568–575. [Google Scholar] [CrossRef] [PubMed]
- Jaspers, E.; Feys, H.; Bruyninckx, H.; Klingels, K.; Molenaers, G.; Desloovere, K. The Arm Profile Score: A new summary index to assess upper limb movement pathology. Gait Posture 2011, 34, 227–233. [Google Scholar] [CrossRef]
- Wu, G.; van der Helm, F.C.; Veeger, H.E.; Makhsous, M.; Van Roy, P.; Anglin, C.; Nagels, J.; Karduna, A.R.; McQuade, K.; Wang, X.; et al. ISB recommendation on definitions of joint coordinate systems of various joints for the reporting of human joint motion—Part II: Shoulder, elbow, wrist and hand. J. Biomech. 2005, 38, 981–992. [Google Scholar] [CrossRef]
- Light, C.M.; Chappell, P.H.; Kyberd, P.J. Establishing a standardized clinical assessment tool of pathologic and prosthetic hand function: Normative data, reliability, and validity. Arch. Phys. Med. Rehabil. 2002, 83, 776–783. [Google Scholar] [CrossRef]
- Burgerhof, J.G.; Vasluian, E.; Dijkstra, P.U.; Bongers, R.M.; van der Sluis, C.K. The Southampton Hand Assessment Procedure revisited: A transparent linear scoring system, applied to data of experienced prosthetic users. J. Hand Ther. 2017, 30, 49–57. [Google Scholar] [CrossRef] [PubMed]
- Schachinger, F.; Pobatschnig, B.; Kranzl, A.; Stauffer, A.; Farr, S. Outcomes of patients with single-bone-forearm surgery: A clinical assessment and three-dimensional motion analysis. J. Hand Surg. Eur. Vol. 2019, 44, 838–844. [Google Scholar] [CrossRef] [PubMed]
- Glorieux, F.H.; Rauch, F.; Plotkin, H.; Ward, L.; Travers, R.; Roughley, P.; Lalic, L.; Glorieux, D.F.; Fassier, F.; Bishop, N.J. Type V osteogenesis imperfecta: A new form of brittle bone disease. J. Bone Miner. Res. 2000, 15, 1650–1658. [Google Scholar] [CrossRef] [PubMed]
- Kyberd, P.J.; Murgia, A.; Gasson, M.; Tjerks, T.; Metcalf, C.; Chappell, P.H.; Warwick, K.; Lawson, S.E.; Barnhill, T. Case studies to demonstrate the range of applications of the Southampton Hand Assessment Procedure. Br. J. Occup. Ther. 2009, 72, 212–218. [Google Scholar] [CrossRef]
- Postema, S.G.; Bongers, R.M.; Brouwers, M.A.; Burger, H.; Norling-Hermansson, L.M.; Reneman, M.F.; Dijkstra, P.U.; van der Sluis, C.K. Musculoskeletal Complaints in Transverse Upper Limb Reduction Deficiency and Amputation in The Netherlands: Prevalence, Predictors, and Effect on Health. Arch. Phys. Med. Rehabil. 2016, 97, 1137–1145. [Google Scholar] [CrossRef]
- Vasluian, E.; Bongers, R.M.; Reinders-Messelink, H.A.; Dijkstra, P.U.; van der Sluis, C.K. Preliminary study of the Southampton Hand Assessment Procedure for Children and its reliability. BMC Musculoskelet. Disord. 2014, 15, 199. [Google Scholar] [CrossRef]




| SHAP | aROM | ||||||
|---|---|---|---|---|---|---|---|
| object tasks (tasks 1–12) | shoulder sagittal (flexion) | shoulder frontal (ab/adduction) | shoulder transversal (ext./internal rotation) | ||||
| spherical light (SPL) | tripod light (TRL) | power light (PL) | elbow sagittal (flexion/extension) | elbow transversal (pro/supination) | |||
| lateral light (LL) | tip light (TL) | extension light (EL) | wrist sagittal (flexion/extension) | wrist frontal (ulnar/radialadduction) | |||
| spherical heavy (LH) | tripod heavy (TRH) | power heavy (PH) | |||||
| lateral heavy (LH) | tip heavy (TH) | extension heavy (EH) | |||||
| activities of daily living (tasks 13–26) | |||||||
| pick up coin (PUC) | button board (BB) | simulated food cutting (SFC) | |||||
| page-turning (PT) | jar lid (JL) | glass jug pouring (GJP) | |||||
| carton pouring (CP) | lifting a heavy object (LHO) | lifting a light object (LLO) | |||||
| lifting a tray (LT) | rotate key (RK) | open/close zip (OCZ) | |||||
| rotate a screw (RS) | door handle (DH) | ||||||
| Outcomes | LIF [dimless] | APS [°] | aROM [°] | ||||
| Radiological Findings | Number of Patients in Different OI Types | ||||
|---|---|---|---|---|---|
| I | III | IV | V | Unclassified | |
| Anterior radial head dislocation | 2 | ||||
| Posterior radial head dislocation | 1 | 1 | |||
| Interosseous membrane ossification | 1 | 1 | |||
| Radioulnar synostosis | 1 | ||||
| Ulnar variance | 2 | ||||
| Grade of Deformity | Degrees of Deformity | |||||
|---|---|---|---|---|---|---|
| Humerus | Radius | Ulna | ||||
| Right | Left | Right | Left | Right | Left | |
| Mild | 13 | 14 | 7 | 7 | 8 | 9 |
| Moderate | 1 | 0 | 6 | 7 | 5 | 3 |
| Severe | 0 | 0 | 1 | 0 | 1 | 2 |
| Motion | Mild Deformity | Moderate Deformity | Severe Deformity | Patient without Radial Head Dislocation | Patient with Radial Head Dislocation |
|---|---|---|---|---|---|
| Shoulder abduction | 176 (170–180) | 178 (160–180) | 177 (170–180) | 178 (170–180) | 171 (160–180) |
| Shoulder adduction | 33 (20–40) | 34 (20–40) | 37 (30–40) | 35 (20–40) | 29 (20–40) |
| Shoulder retroversion | 40 (40–40) | 39 (30–40) | 35 (30–40) | 40 (30–40) | 36 (30–40) |
| Shoulder anteversion | 169 (150–180) | 169 (140–180) | 168 (160–180) | 170 (150–180) | 161 (140–170) |
| Shoulder external Rotation | 76 (50–95) | 73 (50–95) | 53 (45–65) | 73 (45–95) | 68 (50–85) |
| Shoulder internal Rotation | 69 (50–80) | 75 (70–80) | 70 (70–70) | 71 (50–80) | 75 (70–80) |
| Elbow extension | 0 (−45–10) | 12 (0–25) | 3 (0–10) | 7 (−20–25) | –6 (−45–10) |
| Elbow flexion | 134 (130–135) | 133 (110–135) | 110 (100–130) | 133 (100–135) | 120 (100–135) |
| Forearm external rotation | 77 (80–90) | 80 (0–90) | 25 (10–45) | 75 (10–90) | 56 (0–90) |
| Forearm internal rotation | 88 (50–100) | 89 (45–100) | 48 (10–90) | 88 (45–100) | 61 (10–100) |
| Hand dorsiflexion | 68 (35–80) | 74 (50–100) | 73 (65–85) | 71 (35–100) | 69 (50–100) |
| Hand palmarflexion | 79 (70–90) | 84 (65–100) | 57 (45–75) | 80 (50–00) | 73 (45–100) |
| Hand radialduction | 31 (20–45) | 21 (0–35) | 22 (10–35) | 25 (0–45) | 30 (20–35) |
| Hand ulnarduction | 38 (25–45) | 40 (30–45) | 42 (40–45) | 39 (25–45) | 41 (40–45) |
| Grade of Deformity | qDASH | Work Module | Sports/Arts Module | |
|---|---|---|---|---|
| Mild | Mean | 8.3 | 14.6 | 0 |
| Min | 0 | 0 | 0 | |
| Max | 34 | 25 | 0 | |
| Moderate | Mean | 10.4 | 0 | 0 |
| Min | 0 | 0 | 0 | |
| Max | 37.5 | 0 | 0 | |
| Severe | Mean | 26.1 | 6.3 | 12.5 |
| Min | 25 | 0 | 0 | |
| Max | 27.2 | 12.5 | 25 |
Disclaimer/Publisher’s Note: The statements, opinions and data contained in all publications are solely those of the individual author(s) and contributor(s) and not of MDPI and/or the editor(s). MDPI and/or the editor(s) disclaim responsibility for any injury to people or property resulting from any ideas, methods, instructions or products referred to in the content. |
© 2024 by the authors. Licensee MDPI, Basel, Switzerland. This article is an open access article distributed under the terms and conditions of the Creative Commons Attribution (CC BY) license (https://creativecommons.org/licenses/by/4.0/).
Share and Cite
Oder, K.; Unglaube, F.; Farr, S.; Kranzl, A.; Stauffer, A.; Ganger, R.; Raimann, A.; Mindler, G.T. Clinical, Radiographic, and Biomechanical Evaluation of the Upper Extremity in Patients with Osteogenesis Imperfecta. J. Clin. Med. 2024, 13, 5174. https://doi.org/10.3390/jcm13175174
Oder K, Unglaube F, Farr S, Kranzl A, Stauffer A, Ganger R, Raimann A, Mindler GT. Clinical, Radiographic, and Biomechanical Evaluation of the Upper Extremity in Patients with Osteogenesis Imperfecta. Journal of Clinical Medicine. 2024; 13(17):5174. https://doi.org/10.3390/jcm13175174
Chicago/Turabian StyleOder, Katharina, Fabian Unglaube, Sebastian Farr, Andreas Kranzl, Alexandra Stauffer, Rudolf Ganger, Adalbert Raimann, and Gabriel T. Mindler. 2024. "Clinical, Radiographic, and Biomechanical Evaluation of the Upper Extremity in Patients with Osteogenesis Imperfecta" Journal of Clinical Medicine 13, no. 17: 5174. https://doi.org/10.3390/jcm13175174
APA StyleOder, K., Unglaube, F., Farr, S., Kranzl, A., Stauffer, A., Ganger, R., Raimann, A., & Mindler, G. T. (2024). Clinical, Radiographic, and Biomechanical Evaluation of the Upper Extremity in Patients with Osteogenesis Imperfecta. Journal of Clinical Medicine, 13(17), 5174. https://doi.org/10.3390/jcm13175174

