The Role of hCG and Histamine in Emesis Gravidarum and Use of a Chewing Gum Containing Vitamin C as a Treatment Option: A Double-Blinded, Randomized, Controlled Trial
Abstract
1. Introduction
2. Material and Methods
2.1. Ethics Statement
2.2. Setting and Study Population
2.3. Study Procedure
- Participants suffering from emesis gravidarum receiving 150 mg vitamin C-containing chewing gums (verum) “ad libitum” daily for 2 weeks (defined as the vitamin C group).
- Participants suffering from emesis gravidarum receiving chewing gums without an active agent (placebo) “ad libitum” daily for 2 weeks (defined as the placebo group).
- Participants suffering from emesis gravidarum receiving no treatment (defined as the no treatment group).
2.4. Determination of the Degree of Nausea and Vomiting
2.5. Data Collection and Statistical Analysis
3. Results
3.1. Study Participants and Baseline Characteristics
3.2. Efficacy of a Vitamin C-Containing Chewing Gum in Reducing Symptoms of NVP
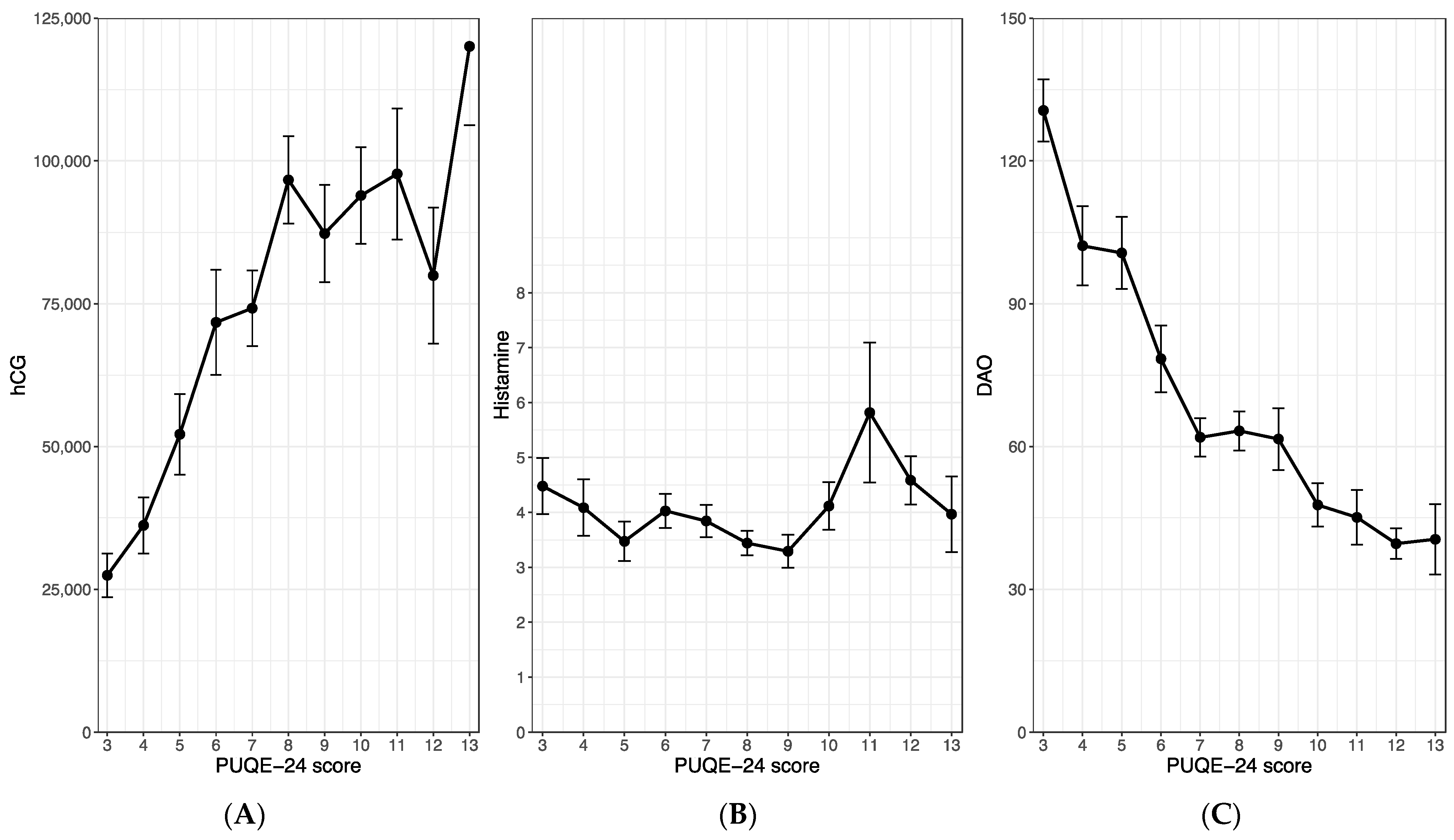
3.3. Correlation of hCG and Histamine with Symptoms of NVP
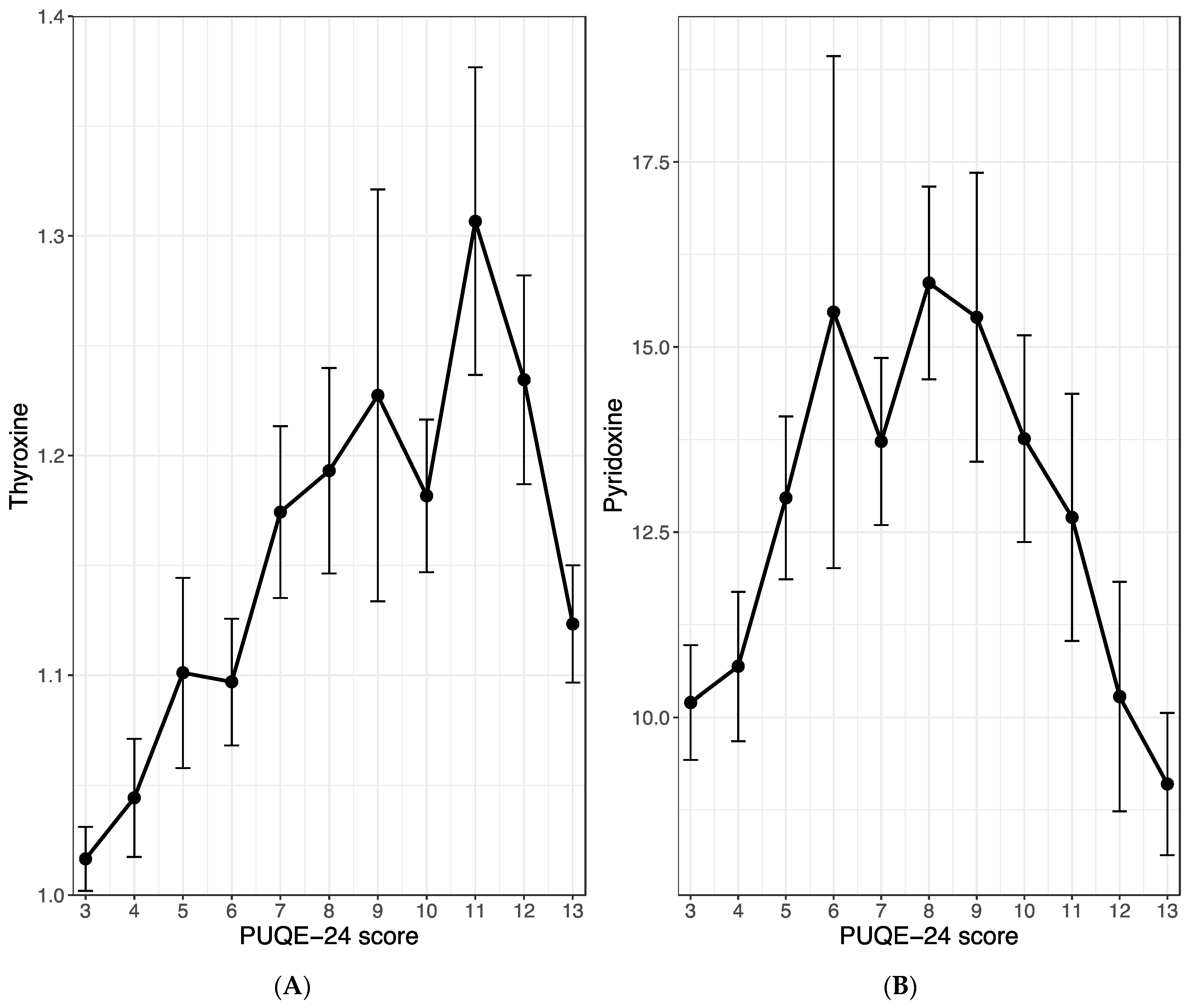
3.4. Influence of Thyroxine and Vitamin B6 Levels on NVP
4. Discussion
5. Conclusions
Supplementary Materials
Author Contributions
Funding
Institutional Review Board Statement
Informed Consent Statement
Data Availability Statement
Acknowledgments
Conflicts of Interest
Abbreviations
| NVP | Nausea and vomiting in pregnancy |
| hCG | Human chorionic gonadotropin |
| DAO | Diamine oxidase |
| PUQE-24 | Pregnancy-Unique Quantification of Emesis and Nausea |
| HG | Hyperemesis gravidarum |
| fT4 | Thyroxine |
| TSH | Thyrotropin |
References
- Bustos, M.; Venkataramanan, R.; Caritis, S. Nausea and vomiting of pregnancy—What’s new? Auton. Neurosci. 2017, 202, 62–72. [Google Scholar] [CrossRef] [PubMed]
- Lacroix, R.; Eason, E.; Melzack, R. Nausea and vomiting during pregnancy: A prospective study of its frequency, intensity, and patterns of change. Am. J. Obstet. Gynecol. 2000, 182, 931–937. [Google Scholar] [CrossRef] [PubMed]
- Attard, C.L.; Kohli, M.A.; Coleman, S.; Bradley, C.; Hux, M.; Atanackovic, G.; Torrance, G.W. The burden of illness of severe nausea and vomiting of pregnancy in the United States. Am. J. Obstet. Gynecol. 2002, 186, S220–S227. [Google Scholar] [CrossRef] [PubMed]
- Chortatos, A.; Haugen, M.; Iversen, P.O.; Vikanes, Å.; Eberhard-Gran, M.; Bjelland, E.K.; Magnus, P.; Veierød, M.B. Pregnancy complications and birth outcomes among women experiencing nausea only or nausea and vomiting during pregnancy in the Norwegian Mother and Child Cohort Study. BMC Pregnancy Childbirth 2015, 15, 138. [Google Scholar] [CrossRef]
- Niebyl, J.R. Clinical practice. Nausea and vomiting in pregnancy. N. Engl. J. Med. 2010, 363, 1544–1550. [Google Scholar] [CrossRef] [PubMed]
- Braunstein, G.D.; Hershman, J.M. Comparison of serum pituitary thyrotropin and chorionic gonadotropin concentrations throughout pregnancy. J. Clin. Endocrinol. Metab. 1976, 42, 1123–1126. [Google Scholar] [CrossRef]
- Maintz, L.; Schwarzer, V.; Bieber, T.; van der Ven, K.; Novak, N. Effects of histamine and diamine oxidase activities on pregnancy: A critical review. Hum. Reprod. Update 2008, 14, 485–495. [Google Scholar] [CrossRef]
- Maintz, L.; Novak, N. Histamine and histamine intolerance. Am. J. Clin. Nutr. 2007, 85, 1185–1196. [Google Scholar] [CrossRef]
- Carrington, E.R.; Frishmuth, G.J.; Oesterling, M.J.; Adams, F.M.; Cox, S.E. Gestational and postpartum plasma diamine oxidase values. Obstet. Gynecol. 1972, 39, 426–430. [Google Scholar]
- Southren, A.L.; Kobayashi, Y.; Weingold, A.B.; Carmody, N.C. Serial plasma diamine oxidase (DAO) assays in first and second trimester complications of pregnancy. Am. J. Obstet. Gynecol. 1966, 96, 502–510. [Google Scholar] [CrossRef]
- Panesar, N.S.; Li, C.Y.; Rogers, M.S. Are thyroid hormones or hCG responsible for hyperemesis gravidarum? A matched paired study in pregnant Chinese women. Acta Obstet. Gynecol. Scand. 2001, 80, 519–524. [Google Scholar] [CrossRef] [PubMed]
- Malek, N.Z.H.; Kalok, A.; Hanafiah, Z.A.; Shah, S.A.; Ismail, N.A.M. Association of transient hyperthyroidism and severity of hyperemesis gravidarum. Horm. Mol. Biol. Clin. Investig. 2017, 30, 20160050. [Google Scholar] [CrossRef]
- Hagel, A.F.; Layritz, C.M.; Hagel, W.H.; Hagel, H.J.; Hagel, E.; Dauth, W.; Kressel, J.; Regnet, T.; Rosenberg, A.; Neurath, M.F.; et al. Intravenous infusion of ascorbic acid decreases serum histamine concentrations in patients with allergic and non-allergic diseases. Naunyn. Schmiedebergs. Arch. Pharmacol. 2013, 386, 789–793. [Google Scholar] [CrossRef]
- Jarisch, R.; Weyer, D.; Ehlert, E.; Koch, C.H.; Pinkowski, E.; Jung, P.; Kähler, W.; Girgensohn, R.; Kowalski, J.; Weisser, B.; et al. Impact of oral vitamin C on histamine levels and seasickness. J. Vestib. Res. 2014, 24, 281–288. [Google Scholar] [CrossRef] [PubMed]
- Darvall, J.N.; Handscombe, M.; Leslie, K. Chewing gum for the treatment of postoperative nausea and vomiting: A pilot randomized controlled trial. Br. J. Anaesth. 2017, 118, 83–89. [Google Scholar] [CrossRef] [PubMed]
- Butcher, N.J.; Monsour, A.; Mew, E.J.; Chan, A.W.; Moher, D.; Mayo-Wilson, E.; Terwee, C.B.; Chee, A.T.A.; Baba, A.; Gavin, F.; et al. Guidelines for Reporting Outcomes in Trial Reports: The CONSORT-Outcomes 2022 Extension. JAMA 2022, 328, 2252–2264. [Google Scholar] [CrossRef] [PubMed]
- Jenabi, E.; Fereidooni, B. The association between maternal smoking and hyperemesis gravidarum: A meta-analysis. J. Matern. Fetal Neonatal Med. 2017, 30, 693–697. [Google Scholar] [CrossRef]
- Vikanes, A.; Grjibovski, A.M.; Vangen, S.; Gunnes, N.; Samuelsen, S.O.; Magnus, P. Maternal body composition, smoking, and hyperemesis gravidarum. Ann. Epidemiol. 2010, 20, 592–598. [Google Scholar] [CrossRef]
- Koren, G.; Boskovic, R.; Hard, M.; Maltepe, C.; Navioz, Y.; Einarson, A. Motherisk-PUQE (pregnancy-unique quantification of emesis and nausea) scoring system for nausea and vomiting of pregnancy. Am. J. Obstet. Gynecol. 2002, 186, S228–S231. [Google Scholar] [CrossRef]
- Birkeland, E.; Stokke, G.; Tangvik, R.J.; Torkildsen, E.A.; Boateng, J.; Wollen, A.L.; Albrechtsen, S.; Flaatten, H.; Trovik, J. Norwegian PUQE (Pregnancy-Unique Quantification of Emesis and nausea) identifies patients with hyperemesis gravidarum and poor nutritional intake: A prospective cohort validation study. PLoS ONE 2015, 10, e0119962. [Google Scholar] [CrossRef]
- Lacasse, A.; Rey, E.; Ferreira, E.; Morin, C.; Bérard, A. Validity of a modified Pregnancy-Unique Quantification of Emesis and Nausea (PUQE) scoring index to assess severity of nausea and vomiting of pregnancy. Am. J. Obstet. Gynecol. 2008, 198, 71.e1–71.e7. [Google Scholar] [CrossRef] [PubMed]
- Bland, J.M.; Altman, D.G. Calculating correlation coefficients with repeated observations: Part 1—Correlation within subjects. BMJ 1995, 310, 446. [Google Scholar] [CrossRef] [PubMed]
- Fejzo, M.S.; Trovik, J.; Grooten, I.J.; Sridharan, K.; Roseboom, T.J.; Vikanes, Å.; Painter, R.C.; Mullin, P.M. Nausea and vomiting of pregnancy and hyperemesis gravidarum. Nat. Rev. Dis. Primers 2019, 5, 62. [Google Scholar] [CrossRef]
- Patil, C.L.; Abrams, E.T.; Steinmetz, A.R.; Young, S.L. Appetite sensations and nausea and vomiting in pregnancy: An overview of the explanations. Ecol. Food Nutr. 2012, 51, 394–417. [Google Scholar] [CrossRef] [PubMed]
- Sanu, O.; Lamont, R.F. Hyperemesis gravidarum: Pathogenesis and the use of antiemetic agents. Expert Opin. Pharmacother. 2011, 12, 737–748. [Google Scholar] [CrossRef]
- Verberg, M.F.; Gillott, D.J.; Al-Fardan, N.; Grudzinskas, J.G. Hyperemesis gravidarum, a literature review. Hum. Reprod. Update 2005, 11, 527–539. [Google Scholar] [CrossRef]
- Niemeijer, M.N.; Grooten, I.J.; Vos, N.; Bais, J.M.; van der Post, J.A.; Mol, B.W.; Roseboom, T.J.; Leeflang, M.M.; Painter, R.C. Diagnostic markers for hyperemesis gravidarum: A systematic review and metaanalysis. Am. J. Obstet. Gynecol. 2014, 211, 150.e1–150.e15. [Google Scholar] [CrossRef]
- ACOG. Practice Bulletin No. 189: Nausea and Vomiting of Pregnancy. Obstet. Gynecol. 2018, 131, e15–e30. [Google Scholar] [CrossRef]
- Nelson-Piercy, C.; Dean, C.; Shehmar, M.; Gadsby, R.; O’Hara, M.; Hodson, K.; Nana, M. The Management of Nausea and Vomiting in Pregnancy and Hyperemesis Gravidarum (Green-top Guideline No. 69). BJOG 2024, 131, e1–e30. [Google Scholar] [CrossRef]
- Flake, Z.A.; Linn, B.S.; Hornecker, J.R. Practical selection of antiemetics in the ambulatory setting. Am. Fam. Physician 2015, 91, 293–296. [Google Scholar]
- Kapeller-Adler, R. Investigations on the activity of the histaminase in normal and toxaemic pregnancy. Biochem. J. 1944, 38, 270–274. [Google Scholar] [CrossRef] [PubMed]
- Uuspaa, V.J.; Jarvinen, P.A. The blood histamine content in hyperemesis gravidarum. Ann. Med. Exp. Biol. Fenn. 1955, 33, 89–96. [Google Scholar]
- Brew, O.; Sullivan, M.H. The links between maternal histamine levels and complications of human pregnancy. J. Reprod. Immunol. 2006, 72, 94–107. [Google Scholar] [CrossRef] [PubMed]
- Person, B.; Wexner, S.D. The management of postoperative ileus. Curr. Probl. Surg. 2006, 43, 6–65. [Google Scholar] [CrossRef] [PubMed]
- Nijsten, K.; Koot, M.H.; van der Post, J.A.M.; Bais, J.M.J.; Ris-Stalpers, C.; Naaktgeboren, C.; Bremer, H.A.; van der Ham, D.P.; Heidema, W.M.; Huisjes, A.; et al. Thyroid-stimulating hormone and free thyroxine fail to predict the severity and clinical course of hyperemesis gravidarum: A prospective cohort study. Acta Obstet. Gynecol. Scand. 2021, 100, 1419–1429. [Google Scholar] [CrossRef]
- Jayawardena, R.; Majeed, S.; Sooriyaarachchi, P.; Abeywarne, U.; Ranaweera, P. The effects of pyridoxine (vitamin B6) supplementation in nausea and vomiting during pregnancy: A systematic review and meta-analysis. Arch. Gynecol. Obstet. 2023, 308, 1075–1084. [Google Scholar] [CrossRef]
- Abbas Hassan, A.K.D.; Surekha Bhat, M. Pyridoxine: The ‘Ba.Six’ of use in Nausea and Vomiting of Pregnancy. J. Clin. Diagn. Res. 2019, 13, BE01–BE06. [Google Scholar] [CrossRef]
- Matok, I.; Clark, S.; Caritis, S.; Miodovnik, M.; Umans, J.G.; Hankins, G.; Mattison, D.R.; Koren, G. Studying the antiemetic effect of vitamin B6 for morning sickness: Pyridoxine and pyridoxal are prodrugs. J. Clin. Pharmacol. 2014, 54, 1429–1433. [Google Scholar] [CrossRef]
- Vikanes, A.; Skjaerven, R.; Grjibovski, A.M.; Gunnes, N.; Vangen, S.; Magnus, P. Recurrence of hyperemesis gravidarum across generations: Population based cohort study. BMJ 2010, 340, c2050. [Google Scholar] [CrossRef]
- Zhang, Y.; Cantor, R.M.; MacGibbon, K.; Romero, R.; Goodwin, T.M.; Mullin, P.M.; Fejzo, M.S. Familial aggregation of hyperemesis gravidarum. Am. J. Obstet. Gynecol. 2011, 204, 230.e1–230.e7. [Google Scholar] [CrossRef]
- Fejzo, M.S.; Sazonova, O.V.; Sathirapongsasuti, J.F.; Hallgrímsdóttir, I.B.; Vacic, V.; MacGibbon, K.W.; Schoenberg, F.P.; Mancuso, N.; Slamon, D.J.; Mullin, P.M. Placenta and appetite genes GDF15 and IGFBP7 are associated with hyperemesis gravidarum. Nat. Commun. 2018, 9, 1178. [Google Scholar] [CrossRef] [PubMed]
- Fejzo, M.; Rocha, N.; Cimino, I.; Lockhart, S.M.; Petry, C.J.; Kay, R.G.; Burling, K.; Barker, P.; George, A.L.; Yasara, N.; et al. GDF15 linked to maternal risk of nausea and vomiting during pregnancy. Nature 2024, 625, 760–767. [Google Scholar] [CrossRef] [PubMed]



| Maternal Characteristic | Vitamin C Group (n = 41) | Placebo Group (n = 35) | No Treatment Group (n = 35) | p-Value |
|---|---|---|---|---|
| Mean Age (years) | 33.2 (±6.1) | 32.2 (±4.9) | 32.2 (±5.2) | 0.65 |
| Gestational week at inclusion (weeks) | 10 [9–11] | 10 [9–11] | 10 [9–11.5] | 0.85 |
| NVP onset (gestational week) | 5.3 (±1.6) | 6.0 (±1.9) | 5.5 (±1.1) | 0.15 |
| PUQE-24 score at inclusion (points) | 8 [7–10] | 9 [7–10] | 8 [7–9] | 0.25 |
| Nulliparous women | 12 (29,3%) | 9 (25,7%) | 9 (25,7%) | 0.43 |
| Nicotine abuse | 6 (14.6%) | 4 (11.4%) | 4 (11.4%) | 0.89 |
| NVP in prior pregnancy | 16 (39.0%) | 15 (42.9%) | 17 (48.6%) | 0.70 |
| HG in prior pregnancy | 0 (0.0%) | 2 (5.7%) | 1 (2.9%) | 0.31 |
| Thyroid disease | 7 (17.1%) | 5 (14.3%) | 6 (17.1%) | 0.93 |
| Any chronic disease | 15 (36.6%) | 19 (54.3%) | 17 (48.6%) | 0.28 |
Disclaimer/Publisher’s Note: The statements, opinions and data contained in all publications are solely those of the individual author(s) and contributor(s) and not of MDPI and/or the editor(s). MDPI and/or the editor(s) disclaim responsibility for any injury to people or property resulting from any ideas, methods, instructions or products referred to in the content. |
© 2024 by the authors. Licensee MDPI, Basel, Switzerland. This article is an open access article distributed under the terms and conditions of the Creative Commons Attribution (CC BY) license (https://creativecommons.org/licenses/by/4.0/).
Share and Cite
Foessleitner, P.; Rager, L.; Mikula, F.; Hager, M.; Granser, S.; Haslacher, H.; Brugger, J.; Farr, A. The Role of hCG and Histamine in Emesis Gravidarum and Use of a Chewing Gum Containing Vitamin C as a Treatment Option: A Double-Blinded, Randomized, Controlled Trial. J. Clin. Med. 2024, 13, 5099. https://doi.org/10.3390/jcm13175099
Foessleitner P, Rager L, Mikula F, Hager M, Granser S, Haslacher H, Brugger J, Farr A. The Role of hCG and Histamine in Emesis Gravidarum and Use of a Chewing Gum Containing Vitamin C as a Treatment Option: A Double-Blinded, Randomized, Controlled Trial. Journal of Clinical Medicine. 2024; 13(17):5099. https://doi.org/10.3390/jcm13175099
Chicago/Turabian StyleFoessleitner, Philipp, Lilly Rager, Fanny Mikula, Marlene Hager, Sonja Granser, Helmuth Haslacher, Jonas Brugger, and Alex Farr. 2024. "The Role of hCG and Histamine in Emesis Gravidarum and Use of a Chewing Gum Containing Vitamin C as a Treatment Option: A Double-Blinded, Randomized, Controlled Trial" Journal of Clinical Medicine 13, no. 17: 5099. https://doi.org/10.3390/jcm13175099
APA StyleFoessleitner, P., Rager, L., Mikula, F., Hager, M., Granser, S., Haslacher, H., Brugger, J., & Farr, A. (2024). The Role of hCG and Histamine in Emesis Gravidarum and Use of a Chewing Gum Containing Vitamin C as a Treatment Option: A Double-Blinded, Randomized, Controlled Trial. Journal of Clinical Medicine, 13(17), 5099. https://doi.org/10.3390/jcm13175099

