Beyond Glycemic Control: GLP-1 Receptor Agonists and Their Impact on Calcium Homeostasis in Real-World Patients
Abstract
1. Introduction
2. Materials and Methods
2.1. Study Design and Data Source
2.2. Study Population
2.3. Exposure and Outcome Definitions
2.4. Follow-Up and Time Periods
2.5. Statistical Analysis
2.6. Ethical Considerations
3. Results
3.1. Characteristics of the Study Population
3.2. Overall GLP-1R Agonist Use
3.3. Individual GLP-1R Agonist Analyses
4. Discussion
5. Conclusions
Supplementary Materials
Author Contributions
Funding
Institutional Review Board Statement
Informed Consent Statement
Data Availability Statement
Acknowledgments
Conflicts of Interest
References
- Chandrasekaran, P.; Weiskirchen, R. The Role of Obesity in Type 2 Diabetes Mellitus-An Overview. Int. J. Mol. Sci. 2024, 25, 1882. [Google Scholar] [CrossRef]
- Mariam, Z.; Niazi, S.K. Glucagon-like peptide agonists: A prospective review. Endocrinol. Diabetes Metab. 2024, 7, e462. [Google Scholar] [CrossRef] [PubMed]
- Son, J.W.; Lim, S. Glucagon-Like Peptide-1 Based Therapies: A New Horizon in Obesity Management. Endocrinol. Metab. 2024, 39, 206–221. [Google Scholar] [CrossRef]
- Paradiz Leitgeb, E.; Kercmar, J.; Krizancic Bombek, L.; Pohorec, V.; Skelin Klemen, M.; Slak Rupnik, M.; Gosak, M.; Dolensek, J.; Stozer, A. Exendin-4 affects calcium signalling predominantly during activation and activity of beta cell networks in acute mouse pancreas tissue slices. Front. Endocrinol. 2023, 14, 1315520. [Google Scholar] [CrossRef]
- Huang, J.H.; Chen, Y.C.; Lee, T.I.; Kao, Y.H.; Chazo, T.F.; Chen, S.A.; Chen, Y.J. Glucagon-like peptide-1 regulates calcium homeostasis and electrophysiological activities of HL-1 cardiomyocytes. Peptides 2016, 78, 91–98. [Google Scholar] [CrossRef]
- Zhao, C.; Liang, J.; Yang, Y.; Yu, M.; Qu, X. The Impact of Glucagon-Like Peptide-1 on Bone Metabolism and Its Possible Mechanisms. Front. Endocrinol. 2017, 8, 98. [Google Scholar] [CrossRef]
- Ma, X.; Meng, J.; Jia, M.; Bi, L.; Zhou, Y.; Wang, Y.; Hu, J.; He, G.; Luo, X. Exendin-4, a glucagon-like peptide-1 receptor agonist, prevents osteopenia by promoting bone formation and suppressing bone resorption in aged ovariectomized rats. J. Bone Miner. Res. 2013, 28, 1641–1652. [Google Scholar] [CrossRef]
- Sun, H.X.; Lu, N.; Luo, X.; Zhao, L.; Liu, J.M. Liraglutide, the glucagon-like peptide-1 receptor agonist, has anabolic bone effects in diabetic Goto-Kakizaki rats. J. Diabetes 2015, 7, 584–588. [Google Scholar] [CrossRef] [PubMed]
- Kim, J.Y.; Lee, S.K.; Jo, K.J.; Song, D.Y.; Lim, D.M.; Park, K.Y.; Bonewald, L.F.; Kim, B.J. Exendin-4 increases bone mineral density in type 2 diabetic OLETF rats potentially through the down-regulation of SOST/sclerostin in osteocytes. Life Sci. 2013, 92, 533–540. [Google Scholar] [CrossRef] [PubMed]
- Daniilopoulou, I.; Vlachou, E.; Lambrou, G.I.; Ntikoudi, A.; Dokoutsidou, E.; Fasoi, G.; Govina, O.; Kavga, A.; Tsartsalis, A.N. The Impact of GLP1 Agonists on Bone Metabolism: A Systematic Review. Medicina 2022, 58, 224. [Google Scholar] [CrossRef]
- Lin, G.; Rennie, M.; Adeeko, A.; Scarlata, S. The role of calcium in neuronal membrane tension and synaptic plasticity. Biochem. Soc. Trans. 2024, 52, 937–945. [Google Scholar] [CrossRef] [PubMed]
- Rossi, A.; Pizzo, P.; Filadi, R. Calcium, mitochondria and cell metabolism: A functional triangle in bioenergetics. Biochim. Et Biophys. Acta. Mol. Cell Res. 2019, 1866, 1068–1078. [Google Scholar] [CrossRef]
- Ghodsi, M.; Larijani, B.; Keshtkar, A.A.; Nasli-Esfahani, E.; Alatab, S.; Mohajeri-Tehrani, M.R. Mechanisms involved in altered bone metabolism in diabetes: A narrative review. J. Diabetes Metab. Disord. 2016, 15, 52. [Google Scholar] [CrossRef] [PubMed]
- Chan, C.S.; Lin, F.J.; Chen, Y.C.; Lin, Y.K.; Higa, S.; Chen, S.A.; Chen, Y.J. Glucagon-like Peptide-1 Receptor Activation Reduces Pulmonary Vein Arrhythmogenesis and Regulates Calcium Homeostasis. Int. J. Mol. Sci. 2023, 24, 13100. [Google Scholar] [CrossRef] [PubMed]
- Helsted, M.M.; Gasbjerg, L.S.; Lanng, A.R.; Bergmann, N.C.; Stensen, S.; Hartmann, B.; Christensen, M.B.; Holst, J.J.; Vilsboll, T.; Rosenkilde, M.M.; et al. The role of endogenous GIP and GLP-1 in postprandial bone homeostasis. Bone 2020, 140, 115553. [Google Scholar] [CrossRef] [PubMed]
- Trujillo, J.M.; Nuffer, W.; Smith, B.A. GLP-1 receptor agonists: An updated review of head-to-head clinical studies. Ther. Adv. Endocrinol. Metab. 2021, 12, 2042018821997320. [Google Scholar] [CrossRef]
- Hamroun, A.; Pekar, J.-D.; Lionet, A.; Ghulam, A.; Maboudou, P.; Mercier, A.; Brousseau, T.; Grzych, G.; Glowacki, F. Ionized calcium: Analytical challenges and clinical relevance. J. Lab. Precis. Med. 2020, 5. [Google Scholar] [CrossRef]
- Sukhija, T.; Midha, V.; Mittal, N.; Kalra, E.; Chouhan, K.; Singh, D.; Dishant, F.; Attri, P.; Goyal, M.K.; Arora, S. Clinical Profile and Outcomes of Patients With Hypercalcemia in an Indian Tertiary Care Center. Cureus 2023, 15, e46062. [Google Scholar] [CrossRef]
- Nuche-Berenguer, B.; Lozano, D.; Gutierrez-Rojas, I.; Moreno, P.; Marinoso, M.L.; Esbrit, P.; Villanueva-Penacarrillo, M.L. GLP-1 and exendin-4 can reverse hyperlipidic-related osteopenia. J. Endocrinol. 2011, 209, 203–210. [Google Scholar] [CrossRef]
- Li, R.; Xu, W.; Luo, S.; Xu, H.; Tong, G.; Zeng, L.; Zhu, D.; Weng, J. Effect of exenatide, insulin and pioglitazone on bone metabolism in patients with newly diagnosed type 2 diabetes. Acta Diabetol. 2015, 52, 1083–1091. [Google Scholar] [CrossRef]
- Gilbert, M.P.; Marre, M.; Holst, J.J.; Garber, A.; Baeres, F.M.; Thomsen, H.; Pratley, R.E. Comparison of the Long-Term Effects of Liraglutide and Glimepiride Monotherapy on Bone Mineral Density in Patients with Type 2 Diabetes. Endocr. Pract. 2016, 22, 406–411. [Google Scholar] [CrossRef] [PubMed]
- Hansen, M.S.S.; Tencerova, M.; Frolich, J.; Kassem, M.; Frost, M. Effects of gastric inhibitory polypeptide, glucagon-like peptide-1 and glucagon-like peptide-1 receptor agonists on Bone Cell Metabolism. Basic Clin. Pharmacol. Toxicol. 2018, 122, 25–37. [Google Scholar] [CrossRef]
- Mabilleau, G.; Pereira, M.; Chenu, C. Novel skeletal effects of glucagon-like peptide-1 (GLP-1) receptor agonists. J. Endocrinol. 2018, 236, R29–R42. [Google Scholar] [CrossRef]
- Xie, B.; Chen, S.; Xu, Y.; Han, W.; Hu, R.; Chen, M.; Zhang, Y.; Ding, S. The Impact of Glucagon-Like Peptide 1 Receptor Agonists on Bone Metabolism and Its Possible Mechanisms in Osteoporosis Treatment. Front. Pharmacol. 2021, 12, 697442. [Google Scholar] [CrossRef] [PubMed]
- Wang, L. Designing a Dual GLP-1R/GIPR Agonist from Tirzepatide: Comparing Residues Between Tirzepatide, GLP-1, and GIP. Drug Des. Dev. Ther. 2022, 16, 1547–1559. [Google Scholar] [CrossRef]
- Hansen, M.S.; Soe, K.; Christensen, L.L.; Fernandez-Guerra, P.; Hansen, N.W.; Wyatt, R.A.; Martin, C.; Hardy, R.S.; Andersen, T.L.; Olesen, J.B.; et al. GIP reduces osteoclast activity and improves osteoblast survival in primary human bone cells. Eur. J. Endocrinol. 2023, 188, 144–157. [Google Scholar] [CrossRef] [PubMed]
- Andreasen, C.R.; Andersen, A.; Knop, F.K.; Vilsboll, T. How glucagon-like peptide 1 receptor agonists work. Endocr. Connect. 2021, 10, R200–R212. [Google Scholar] [CrossRef] [PubMed]
- Ban, K.; Noyan-Ashraf, M.H.; Hoefer, J.; Bolz, S.S.; Drucker, D.J.; Husain, M. Cardioprotective and vasodilatory actions of glucagon-like peptide 1 receptor are mediated through both glucagon-like peptide 1 receptor-dependent and -independent pathways. Circulation 2008, 117, 2340–2350. [Google Scholar] [CrossRef] [PubMed]
- Puglisi, S.; Rossini, A.; Poli, R.; Dughera, F.; Pia, A.; Terzolo, M.; Reimondo, G. Effects of SGLT2 Inhibitors and GLP-1 Receptor Agonists on Renin-Angiotensin-Aldosterone System. Front. Endocrinol. 2021, 12, 738848. [Google Scholar] [CrossRef] [PubMed]
- Ferhatbegovic, L.; Mrsic, D.; Macic-Dzankovic, A. The benefits of GLP1 receptors in cardiovascular diseases. Front. Clin. Diabetes Healthc. 2023, 4, 1293926. [Google Scholar] [CrossRef]
- Ussher, J.R.; Drucker, D.J. Glucagon-like peptide 1 receptor agonists: Cardiovascular benefits and mechanisms of action. Nat. Rev. Cardiol. 2023, 20, 463–474. [Google Scholar] [CrossRef] [PubMed]
- Arillotta, D.; Floresta, G.; Guirguis, A.; Corkery, J.M.; Catalani, V.; Martinotti, G.; Sensi, S.L.; Schifano, F. GLP-1 Receptor Agonists and Related Mental Health Issues; Insights from a Range of Social Media Platforms Using a Mixed-Methods Approach. Brain Sci. 2023, 13, 1503. [Google Scholar] [CrossRef] [PubMed]
- Chen, W.; Cai, P.; Zou, W.; Fu, Z. Psychiatric adverse events associated with GLP-1 receptor agonists: A real-world pharmacovigilance study based on the FDA Adverse Event Reporting System database. Front. Endocrinol. 2024, 15, 1330936. [Google Scholar] [CrossRef] [PubMed]

| Criteria | Category | Code | Description |
|---|---|---|---|
| Obesity | Diagnosis | UMLS:ICD10CM:Z68.3 | Body mass index [BMI] 30–39, adult |
| Diagnosis | UMLS:ICD10CM:Z68.4 | Body mass index [BMI] 40 or greater, adult | |
| Diagnosis | UMLS:ICD10CM:E66.0 | Obesity due to excess calories (at least 18 years old at event) | |
| GP1R agonist | Medication | NLM:RXNORM:2601723 | Tirzepatide |
| Medication | NLM:RXNORM:1991302 | Semaglutide | |
| Medication | NLM:RXNORM:475968 | Liraglutide | |
| Medication | NLM:RXNORM:1551291 | Dulaglutide |
| Criteria | Category | Code | Description |
|---|---|---|---|
| Neoplasm | Diagnosis | UMLS:ICD10CM:C00-D49 | Neoplasms |
| Chronic kidney disease | Diagnosis | UMLS:ICD10CM:N18 | Chronic kidney disease (CKD) |
| Diagnosis | UMLS:ICD10CM:N18.6 | End-stage renal disease | |
| Osteoporosis | Diagnosis | UMLS:ICD10CM:M81 | Osteoporosis without current pathological fracture |
| Diagnosis | UMLS:ICD10CM:M80 | Osteoporosis with current pathological fracture | |
| Inflammatory bowel syndrome | Diagnosis | UMLS:ICD10CM:K50 | Crohn’s disease [regional enteritis] |
| Diagnosis | UMLS:ICD10CM:K51 | Ulcerative colitis | |
| Diagnosis | UMLS:ICD10CM:K52.8 | Other specified noninfective gastroenteritis and colitis | |
| Diagnosis | UMLS:ICD10CM:K50-K52 | Noninfective enteritis and colitis | |
| Parathyroidectomy | Procedure | UMLS:SNOMED:53304009 | Parathyroidectomy |
| Procedure | UMLS:CPT:60500 | Parathyroidectomy or exploration of parathyroid(s) | |
| Procedure | UMLS:ICD10PCS:0GBR0ZZ | Excision of parathyroid gland, open approach | |
| Procedure | UMLS:ICD10PCS:0GBR4ZZ | Excision of parathyroid gland, percutaneous endoscopic approach | |
| Procedure | UMLS:ICD10PCS:0G5R0ZZ | Destruction of parathyroid gland, open approach | |
| Thyroidectomy | Procedure | UMLS:SNOMED:13619001 | Thyroidectomy |
| Procedure | UMLS:CPT:60240 | Thyroidectomy, total or complete | |
| Procedure | UMLS:CPT:1009039 | Thyroidectomy, total or subtotal for malignancy | |
| Procedure | UMLS:CPT:60252 | Thyroidectomy, total or subtotal for malignancy; with limited neck dissection | |
| Procedure | UMLS:CPT:60260 | Thyroidectomy, removal of all remaining thyroid tissue following previous removal of a portion of thyroid | |
| Procedure | UMLS:CPT:1009043 | Thyroidectomy, including substernal thyroid | |
| Procedure | UMLS:CPT:60271 | Thyroidectomy, including substernal thyroid; cervical approach | |
| Procedure | UMLS:CPT:60254 | Thyroidectomy, total or subtotal for malignancy; with radical neck dissection | |
| Procedure | UMLS:CPT:60270 | Thyroidectomy, including substernal thyroid; sternal split or transthoracic approach | |
| Procedure | UMLS:SNOMED:359882009 | Thyroidectomy with laryngectomy | |
| Procedure | UMLS:SNOMED:24443003 | Total thyroidectomy | |
| Procedure | UMLS:SNOMED:30956003 | Subtotal thyroidectomy | |
| Procedure | UMLS:SNOMED:52826006 | Substernal thyroidectomy | |
| Procedure | UMLS:SNOMED:24711004 | Partial substernal thyroidectomy | |
| Procedure | UMLS:SNOMED:237486002 | Total thyroidectomy with cervical lymph node dissection | |
| Procedure | UMLS:SNOMED:712978001 | Revision thyroidectomy | |
| Procedure | UMLS:SNOMED:359884005 | Radical laryngopharyngectomy with synchronous thyroidectomy | |
| Procedure | UMLS:ICD9CM:06.5 | Substernal thyroidectomy | |
| Procedure | UMLS:SNOMED:719753008 | Completion thyroidectomy | |
| Procedure | UMLS:SNOMED:767574004 | Operation on parathyroid gland during thyroidectomy | |
| Transfusion | Procedure | UMLS:SNOMED:301842006 | Intravenous blood transfusion |
| Vitamin D deficiency | Diagnosis | UMLS:ICD10CM:E55 | Vitamin D deficiency |
| Corticosteroids | Medication | NLM:ATC:H02A | Corticosteroids for systemic use, plain |
| Medication | NLM:ATC:R01AD | Corticosteroids | |
| Medication | NLM:ATC:C05AA | Corticosteroids | |
| Medication | NLM:ATC:S02B | Corticosteroids | |
| Medication | NLM:ATC:S03B | Corticosteroids | |
| Medication | NLM:VA:HS050 | Adrenal corticosteroids | |
| Pancreatitis | Diagnosis | UMLS:ICD10CM:K86.1 | Other chronic pancreatitis |
| Magnesium deregulation | Diagnosis | UMLS:ICD10CM:E83.42 | Hypomagnesemia |
| Diagnosis | UMLS:ICD10CM:E83.41 | Hypermagnesemia | |
| Discontinued GLP1R agonist | Medication | NLM:RXNORM:1440051 | Lixisenatide |
| Medication | NLM:RXNORM:1534763 | Albiglutide | |
| Medication | NLM:RXNORM:60548 | Exenatide | |
| Bariatric surgery | Diagnosis | UMLS:ICD10CM:Z98.84 | Bariatric surgery status |
| Procedure | UMLS:CPT:1007385 | Bariatric Surgery Procedures | |
| Procedure | UMLS:CPT:1007392 | Other Procedures on the Stomach | |
| Medications affecting calcium level | Medication | NLM:RXNORM:9384 | Rifampin |
| Medication | NLM:RXNORM:8183 | Phenytoin | |
| Procedure | UMLS:CPT:1011174 | Phenytoin | |
| Medication | NLM:RXNORM:8134 | Phenobarbital | |
| Procedure | UMLS:CPT:80184 | Phenobarbital | |
| Medication | NLM:RXNORM:46041 | Alendronate | |
| Medication | NLM:RXNORM:115264 | Ibandronate | |
| Procedure | UMLS:HCPCS:J1740 | Injection, ibandronate sodium, 1 mg | |
| Medication | NLM:RXNORM:73056 | Risedronate | |
| Medication | NLM:RXNORM:77655 | Zoledronic acid | |
| Procedure | UMLS:HCPCS:J3489 | Injection, zoledronic acid, 1 mg | |
| Medication | NLM:RXNORM:993449 | Denosumab | |
| Medication | NLM:RXNORM:407990 | Cinacalcet | |
| Medication | NLM:RXNORM:2555 | Cisplatin | |
| Medication | NLM:ATC:C03 | Diuretics | |
| Medication | NLM:VA:CV700 | Diuretics | |
| Medication | NLM:RXNORM:4603 | Furosemide | |
| Medication | NLM:RXNORM:38413 | Torsemide | |
| Procedure | UMLS:HCPCS:J3265 | Injection, torsemide, 10 mg/mL | |
| Medication | NLM:RXNORM:7646 | Omeprazole | |
| Medication | NLM:RXNORM:283742 | Esomeprazole | |
| Medication | NLM:RXNORM:10627 | Tobramycin | |
| Medication | NLM:RXNORM:1596450 | Gentamicin |
| Characteristics | Before Matching | p-Value | After Matching | p-Value | ||
|---|---|---|---|---|---|---|
| Treated | Control | Treated | Control | |||
| Count | 15,655 | 217,365 | 15,655 | 15,655 | ||
| Age at Index | 43.2 ± 13.0 | 42.6 ± 15.2 | <0.001 | 43.2 ± 13.0 | 43.2 ± 13.0 | 0.98 |
| Sex | ||||||
| Female | 8640 (55.2%) | 122,706 (56.5%) | 0.002 | 8640 (55.2%) | 8641 (55.2%) | 0.99 |
| Male | 5702 (36.4%) | 82,179 (37.8%) | 5702 (36.4%) | 5702 (36.4%) | ||
| Race | ||||||
| White | 9612 (61.4%) | 125,055 (57.5%) | <0.001 | 9612 (61.4%) | 9612 (61.4%) | 0.95 |
| Black | 2689 (17.2%) | 39,580 (18.2%) | 2689 (17.2%) | 2693 (17.2%) | ||
| Asian | 334 (2.1%) | 3466 (1.6%) | 334 (2.1%) | 331 (2.1%) | ||
| Ethnicity | ||||||
| Not Hispanic/Latino | 9207 (58.8%) | 118,365 (54.5%) | <0.001 | 9207 (58.8%) | 9208 (58.8%) | 0.99 |
| Hispanic or Latino | 1487 (9.5%) | 30,914 (14.2%) | <0.001 | 1487 (9.5%) | 1483 (9.5%) | 0.94 |
| Comorbidities | ||||||
| Smoking | 147 (0.9%) | 3508 (1.6%) | <0.001 | 147 (0.9%) | 130 (0.8%) | 0.30 |
| Alcohol use disorder | 27 (0.2%) | 736 (0.3%) | 0.004 | 27 (0.2%) | 19 (0.1%) | 0.23 |
| Diabetes | 2249 (14.3%) | 9739 (4.5%) | <0.001 | 2249 (14.3%) | 2222 (14.1%) | 0.66 |
| Hypertension | 1477 (9.4%) | 16,401 (7.5%) | <0.001 | 1477 (9.4%) | 1444 (9.2%) | 0.52 |
| Outcome | Treated | Control | p-Value | RR (95%CI) |
|---|---|---|---|---|
| Calcium homeostasis | ||||
| Hypocalcemia | 426 (2.7%) | 860 (5.5%) | <0.001 | 0.49 (0.44, 0.55) |
| Hypercalcemia | 355 (2.3%) | 175 (1.1%) | <0.001 | 2.02 (1.69, 2.42) |
| Serum calcium | 9.41 ± 0.44 | 9.27 ± 0.54 | <0.001 | --- |
| Serum PTH | 57.97 ± 32.97 | 56.24 ± 35.11 | 0.67 | --- |
| Serum vitamin D | 29.07 ± 13.53 | 26.2 ± 13.24 | <0.001 | --- |
| Healthcare utilization | ||||
| Emergency visit | 1981 (12.7%) | 3430 (21.9%) | <0.001 | 0.57 (0.54, 0.60) |
| Inpatient hospitalization | 483 (3.1%) | 1203 (7.7%) | <0.001 | 0.40 (0.36, 0.44) |
| Clinical outcomes | ||||
| Osteoporosis | 10 (0.1%) | 10 (0.1%) | 1.0 | 1.0 (0.41, 2.40) |
| Tetany/spasm/myalgia | 280 (1.8%) | 360 (2.3%) | 0.001 | 0.77 (0.66, 0.90) |
| Seizures | 85 (0.5%) | 162 (1%) | <0.001 | 0.52 (0.40, 0.68) |
| Congestive heart disease | 179 (1.1%) | 433 (2.8%) | <0.001 | 0.41 (0.34, 0.49) |
| Arrhythmia | 250 (1.6%) | 441 (2.8%) | <0.001 | 0.56 (0.48, 0.66) |
| Depression/hallucination/confusion | 2110 (13.5%) | 1788 (11.4%) | <0.001 | 1.18 (1.11, 1.25) |
| Case-fatality rate | ||||
| All-cause mortality | 68 (0.4%) | 230 (1.5%) | <0.001 | 0.27 (0.21, 0.36) * |
| Outcome | Treated | Control | p-Value | RR (95%CI) |
|---|---|---|---|---|
| Hypocalcemia | ||||
| Semaglutide | 152 (2.1%) | 398 (5.4%) | <0.001 | 0.38 (0.31, 0.45) |
| Liraglutide | 59 (3.9%) | 98 (6.5%) | 0.001 | 0.60 (0.43, 0.82) |
| Dulaglutide | 113 (4.2%) | 169 (6.3%) | 0.001 | 0.66 (0.53, 0.84) |
| Tirzepatide | 27 (2%) | 74 (5.4%) | <0.001 | 0.37 (0.23, 0.56) |
| Hypercalcemia | ||||
| Semaglutide | 154 (2.1%) | 102 (1.4%) | 0.001 | 1.51 (1.17, 1.93) |
| Liraglutide | 25 (1.7%) | 17 (1.1%) | 0.21 | 1.47 (0.79, 2.71) |
| Dulaglutide | 83 (3.1%) | 47 (1.7%) | 0.001 | 1.76 (1.24, 2.51) |
| Tirzepatide | 37 (2.7%) | 20 (1.5%) | 0.023 | 1.85 (1.07, 3.17) |
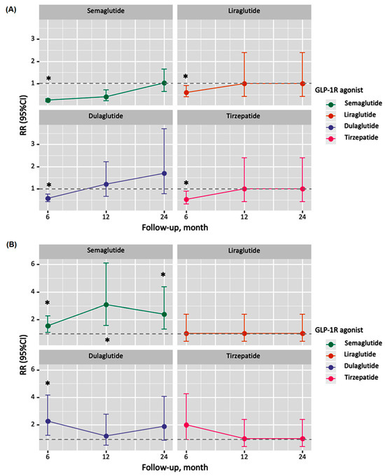
| Outcome | Time Window | Semaglutide | Liraglutide | Dulaglutide | Tirzepatide |
|---|---|---|---|---|---|
| Hypocalcemia | 6 months | 0.25 (0.2–0.33) | 0.6 (0.4–0.91) | 0.57 (0.42–0.76) | 0.53 (0.31–0.89) |
| 12 months | 0.4 (0.22–0.71) | 1.0 (0.42–2.4) | 1.21 (0.66–2.22) | 1.0 (0.42–2.4) | |
| 24 months | 1.03 (0.64–1.66) | 1.0 (0.42–2.4) | 1.7 (0.78–3.71) | 1.0 (0.42–2.4) | |
| Hypercalcemia | 6 months | 1.56 (1.06–2.28) | 1.0 (0.42–2.4) | 2.27 (1.24–4.15) | 2.0 (0.94–4.26) |
| 12 months | 3.09 (1.57–6.1) | 1.0 (0.42–2.4) | 1.2 (0.52–2.77) | 1.0 (0.42–2.4) | |
| 24 months | 2.4 (1.32–4.38) | 1.0 (0.42–2.4) | 1.9 (0.89–4.08) | 1.0 (0.42–2.4) | |
| Emergency visit | 6 months | 0.38 (0.34–0.43) | 0.53 (0.42–0.66) | 0.67 (0.57–0.78) | 0.35 (0.26–0.46) |
| 12 months | 0.74 (0.62–0.87) | 0.75 (0.53–1.06) | 0.98 (0.76–1.27) | 0.6 (0.39–0.93) | |
| 24 months | 0.57 (0.48–0.68) | 0.69 (0.49–0.96) | 0.96 (0.75–1.23) | 0.54 (0.36–0.81) | |
| Inpatient hospitalization | 6 months | 0.27 (0.23–0.33) | 0.5 (0.36–0.68) | 0.56 (0.45–0.7) | 0.24 (0.15–0.39) |
| 12 months | 0.53 (0.29–0.98) | 1.0 (0.42–2.4) | 1.2 (0.52–2.77) | 1.0 (0.42–2.4) | |
| 24 months | 0.54 (0.32–0.91) | 1.2 (0.52–2.77) | 1.17 (0.54–2.52) | 1.0 (0.42–2.4) | |
| Tetany, spasm, or myalgia | 6 months | 0.65 (0.48–0.87) | 0.36 (0.17–0.73) | 0.56 (0.34–0.93) | 0.53 (0.25–1.13) |
| 12 months | 0.9 (0.54–1.5) | 1.0 (0.42–2.4) | 1.08 (0.5–2.37) | 1.0 (0.42–2.4) | |
| 24 months | 1.08 (0.63–1.86) | 1.0 (0.42–2.4) | 1.46 (0.72–2.95) | 1.0 (0.42–2.4) | |
| Seizures | 6 months | 0.44 (0.28–0.7) | 1.0 (0.42–2.4) | 0.68 (0.34–1.38) | 0.91 (0.39–2.13) |
| 12 months | 0.73 (0.34–1.6) | NA | 1.0 (0.42–2.4) | 1.0 (0.42–2.4) | |
| 24 months | 0.79 (0.4–1.55) | NA | 1.0 (0.42–2.4) | 1.0 (0.42–2.4) | |
| Congestive heart disease | 6 months | 0.3 (0.22–0.42) | 0.71 (0.4–1.26) | 0.37 (0.25–0.56) | 0.3 (0.15–0.61) |
| 12 months | 0.93 (0.56–1.56) | 1.0 (0.42–2.4) | 0.94 (0.48–1.86) | 1.0 (0.42–2.4) | |
| 24 months | 0.43 (0.23–0.78) | 1.0 (0.42–2.4) | 0.84 (0.43–1.63) | NA | |
| Arrhythmia | 6 months | 0.41 (0.31–0.55) | 0.47 (0.28–0.79) | 0.26 (0.16–0.44) | 0.41 (0.23–0.73) |
| 12 months | 0.57 (0.31–1.06) | 1.0 (0.42–2.4) | 0.67 (0.3–1.48) | 1.0 (0.42–2.4) | |
| 24 months | 0.53 (0.31–0.9) | 1.0 (0.42–2.4) | 0.58 (0.28–1.21) | 1.0 (0.42–2.4) | |
| Depression, hallucination, or confusion | 6 months | 1.06 (0.95–1.17) | 1.05 (0.84–1.3) | 1.32 (1.11–1.57) | 1.09 (0.86–1.37) |
| 12 months | 1.75 (1.46–2.09) | 1.51 (1.06–2.15) | 1.89 (1.38–2.61) | 1.45 (0.99–2.14) | |
| 24 months | 1.47 (1.21–1.78) | 1.57 (1.04–2.39) | 1.88 (1.34–2.64) | 1.25 (0.79–1.98) |
Disclaimer/Publisher’s Note: The statements, opinions and data contained in all publications are solely those of the individual author(s) and contributor(s) and not of MDPI and/or the editor(s). MDPI and/or the editor(s) disclaim responsibility for any injury to people or property resulting from any ideas, methods, instructions or products referred to in the content. |
© 2024 by the authors. Licensee MDPI, Basel, Switzerland. This article is an open access article distributed under the terms and conditions of the Creative Commons Attribution (CC BY) license (https://creativecommons.org/licenses/by/4.0/).
Share and Cite
Alenezi, B.T.; Elfezzani, N.; Uddin, R.; Patel, H.; Chester, S.; Abdelmaksoud, A.; Hussein, M.H.; Zaitone, S.A.; Fawzy, M.S.; Aiash, H.; et al. Beyond Glycemic Control: GLP-1 Receptor Agonists and Their Impact on Calcium Homeostasis in Real-World Patients. J. Clin. Med. 2024, 13, 4896. https://doi.org/10.3390/jcm13164896
Alenezi BT, Elfezzani N, Uddin R, Patel H, Chester S, Abdelmaksoud A, Hussein MH, Zaitone SA, Fawzy MS, Aiash H, et al. Beyond Glycemic Control: GLP-1 Receptor Agonists and Their Impact on Calcium Homeostasis in Real-World Patients. Journal of Clinical Medicine. 2024; 13(16):4896. https://doi.org/10.3390/jcm13164896
Chicago/Turabian StyleAlenezi, Bandar T., Nadra Elfezzani, Rukhsana Uddin, Hinali Patel, Sydney Chester, Ahmed Abdelmaksoud, Mohammad H. Hussein, Sawsan A. Zaitone, Manal S. Fawzy, Hani Aiash, and et al. 2024. "Beyond Glycemic Control: GLP-1 Receptor Agonists and Their Impact on Calcium Homeostasis in Real-World Patients" Journal of Clinical Medicine 13, no. 16: 4896. https://doi.org/10.3390/jcm13164896
APA StyleAlenezi, B. T., Elfezzani, N., Uddin, R., Patel, H., Chester, S., Abdelmaksoud, A., Hussein, M. H., Zaitone, S. A., Fawzy, M. S., Aiash, H., & Toraih, E. A. (2024). Beyond Glycemic Control: GLP-1 Receptor Agonists and Their Impact on Calcium Homeostasis in Real-World Patients. Journal of Clinical Medicine, 13(16), 4896. https://doi.org/10.3390/jcm13164896

