KLHL14 and E-Cadherin Nuclear Co-Expression as Predicting Factor of Nonfunctioning PitNET Invasiveness: Preliminary Study
Abstract
1. Introduction
2. Materials and Methods
2.1. Survey Data Analysis of KLHL14 Expression in Tumors
2.2. Patients and Samples
2.3. Antibodies, Immunohistochemistry (IHC) and Confocal Microscopy Analyses
2.4. Statistical Analysis
3. Results
3.1. KLHL14 Survey in Tumors
3.2. E-Cadherin and KLHL14 Antibodies Validation
3.3. Sample Characteristics
3.4. Immunofluorescence Subcellular Distribution of E-Cadherin and KLHL14 in Healthy and NF-PitNET
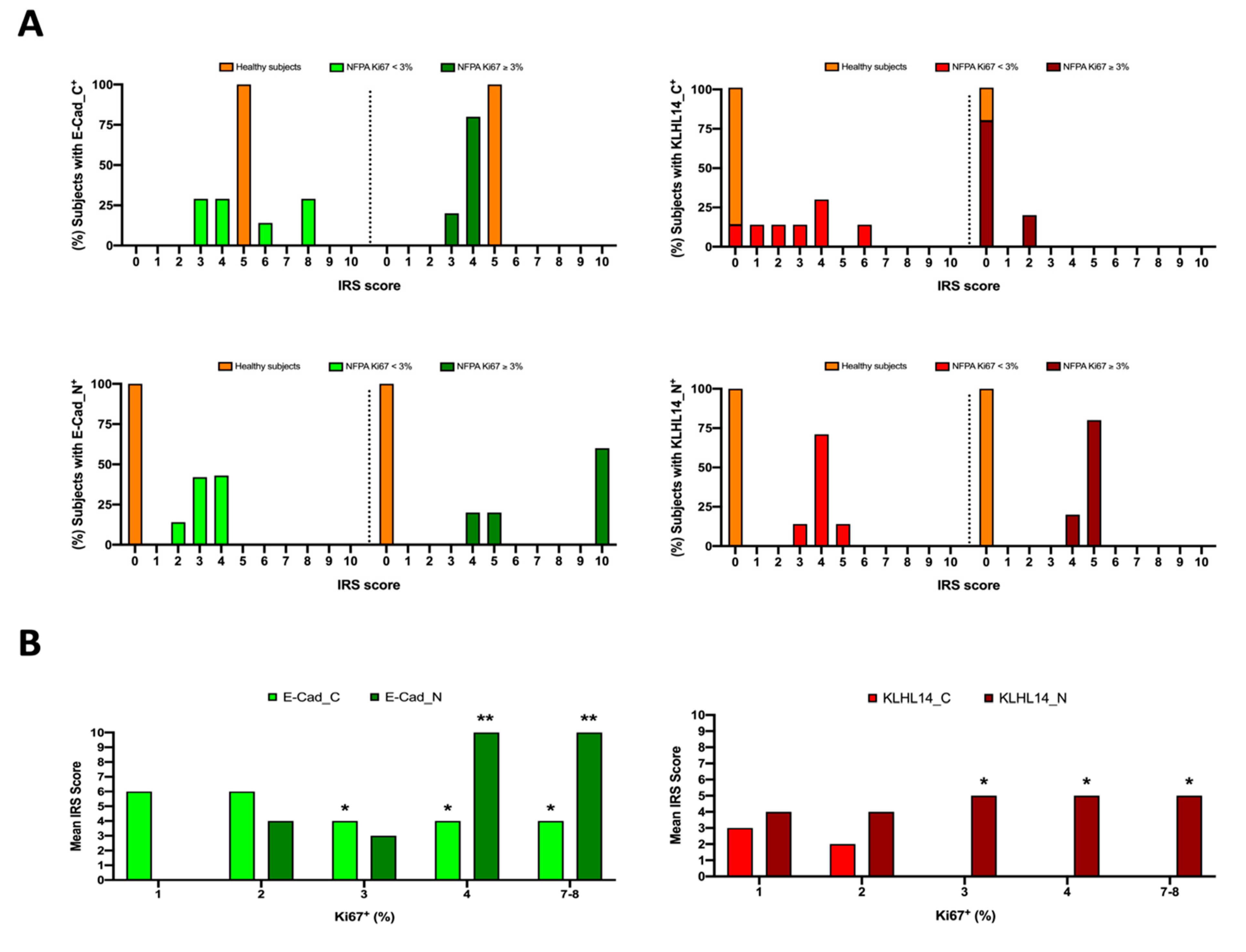
3.5. E-Cadherin and KLHL14 Immunoreactive Score (IRS) in NF-PitNET Patients
3.6. E-Cadherin and KLHL14 Co-Localization in NF-PitNET Patients
3.7. KLHL14 Nuclear Expression and Correlation with Progression-Free Survival (PSF)
4. Discussion
Supplementary Materials
Author Contributions
Funding
Institutional Review Board Statement
Informed Consent Statement
Data Availability Statement
Conflicts of Interest
References
- Chen, Y.; Wang, C.D.; Su, Z.P.; Chen, Y.X.; Cai, L.; Zhuge, Q.C.; Wu, Z.B. Natural History of Postoperative Nonfunctioning Pituitary Adenomas: A Systematic Review and Meta-Analysis. Neuroendocrinology 2012, 96, 333–342. [Google Scholar] [CrossRef] [PubMed]
- Lu, L.; Wan, X.; Xu, Y.; Chen, J.; Shu, K.; Lei, T. Prognostic Factors for Recurrence in Pituitary Adenomas: Recent Progress and Future Directions. Diagnostics 2022, 12, 977. [Google Scholar] [CrossRef] [PubMed]
- Tjörnstrand, A.; Gunnarsson, K.; Evert, M.; Holmberg, E.; Ragnarsson, O.; Rosén, T.; Filipsson Nyström, H. The Incidence Rate of Pituitary Adenomas in Western Sweden for the Period 2001–2011. Eur. J. Endocrinol. 2014, 171, 519–526. [Google Scholar] [CrossRef]
- Daly, A.F.; Beckers, A. The Epidemiology of Pituitary Adenomas. Endocrinol. Metab. Clin. N. Am. 2020, 49, 347–355. [Google Scholar] [CrossRef]
- Manojlovic-Gacic, E.; Engström, B.E.; Casar-Borota, O. Histopathological Classification of Non-Functioning Pituitary Neuroendocrine Tumors. Pituitary 2018, 21, 119–129. [Google Scholar] [CrossRef]
- Wang, X.; Li, M.; Jiang, X.; Wang, F.; Ling, S.; Niu, C. Prediction of Higher Ki-67 Index in Pituitary Adenomas by Pre- and Intra-Operative Clinical Characteristics. Brain Sci. 2022, 12, 1002. [Google Scholar] [CrossRef]
- Trouillas, J.; Roy, P.; Sturm, N.; Dantony, E.; Cortet-Rudelli, C.; Viennet, G.; Bonneville, J.-F.; Assaker, R.; Auger, C.; Brue, T.; et al. A New Prognostic Clinicopathological Classification of Pituitary Adenomas: A Multicentric Case–Control Study of 410 Patients with 8 Years Post-Operative Follow-Up. Acta Neuropathol. 2013, 126, 123–135. [Google Scholar] [CrossRef] [PubMed]
- Louis, D.N.; Perry, A.; Wesseling, P.; Brat, D.J.; Cree, I.A.; Figarella-Branger, D.; Hawkins, C.; Ng, H.K.; Pfister, S.M.; Reifenberger, G.; et al. The 2021 WHO Classification of Tumors of the Central Nervous System: A Summary. Neuro. Oncol. 2021, 23, 1231–1251. [Google Scholar] [CrossRef] [PubMed]
- Mete, O.; Ezzat, S.; Asa, S.L. Biomarkers of Aggressive Pituitary Adenomas. J. Mol. Endocrinol. 2012, 49, R69–R78. [Google Scholar] [CrossRef]
- Wierinckx, A.; Raverot, G.; Nazaret, N.; Jouanneau, E.; Auger, C.; Lachuer, J.; Trouillas, J. Proliferation Markers of Human Pituitary Tumors: Contribution of a Genome-Wide Transcriptome Approach. Mol. Cell. Endocrinol. 2010, 326, 30–39. [Google Scholar] [CrossRef]
- Elston, M.S.; Gill, A.J.; Conaglen, J.V.; Clarkson, A.; Cook, R.J.; Little, N.S.; Robinson, B.G.; Clifton-Bligh, R.J.; McDonald, K.L. Nuclear Accumulation of E-Cadherin Correlates with Loss of Cytoplasmic Membrane Staining and Invasion in Pituitary Adenomas. J. Clin. Endocrinol. Metab. 2009, 94, 1436–1442. [Google Scholar] [CrossRef] [PubMed]
- Berx, G.; van Roy, F. Involvement of Members of the Cadherin Superfamily in Cancer. Cold Spring Harb. Perspect. Biol. 2009, 1, a003129. [Google Scholar] [CrossRef] [PubMed]
- Jeanes, A.; Gottardi, C.J.; Yap, A.S. Cadherins and Cancer: How Does Cadherin Dysfunction Promote Tumor Progression? Oncogene 2008, 27, 6920–6929. [Google Scholar] [CrossRef] [PubMed]
- Gonzalez, D.M.; Medici, D. Signaling Mechanisms of the Epithelial-Mesenchymal Transition. Sci. Signal. 2014, 7, re8. [Google Scholar] [CrossRef] [PubMed]
- Jia, W.; Zhu, J.; Martin, T.A.; Jiang, A.; Sanders, A.J.; Jiang, W.G. Epithelial-Mesenchymal Transition (EMT) Markers in Human Pituitary Adenomas Indicate a Clinical Course. Anticancer Res. 2015, 35, 2635–2643. [Google Scholar] [PubMed]
- Umbas, R.; Schalken, J.A.; Aalders, T.W.; Carter, B.S.; Karthaus, H.F.; Schaafsma, H.E.; Debruyne, F.M.; Isaacs, W.B. Expression of the Cellular Adhesion Molecule E-Cadherin Is Reduced or Absent in High-Grade Prostate Cancer. Cancer Res. 1992, 52, 5104–5109. [Google Scholar] [PubMed]
- Caruso, M.; Emma, R.; Distefano, A.; Rust, S.; Poulas, K.; Giordano, A.; Volarevic, V.; Mesiakaris, K.; Boffo, S.; Arsenijevic, A.; et al. Comparative Assessment of Electronic Nicotine Delivery Systems Aerosol and Cigarette Smoke on Endothelial Cell Migration: The Replica Project. Drug Test. Anal. 2023, 15, 1164–1174. [Google Scholar] [CrossRef] [PubMed]
- Wang, J.; Zhang, Z.; Li, R.; Mao, F.; Sun, W.; Chen, J.; Zhang, H.; Bartsch, J.-W.; Shu, K.; Lei, T. ADAM12 Induces EMT and Promotes Cell Migration, Invasion and Proliferation in Pituitary Adenomas via EGFR/ERK Signaling Pathway. Biomed. Pharmacother. 2018, 97, 1066–1077. [Google Scholar] [CrossRef] [PubMed]
- Gil, J.; Jordà, M.; Soldevila, B.; Puig-Domingo, M. Epithelial–Mesenchymal Transition in the Resistance to Somatostatin Receptor Ligands in Acromegaly. Front. Endocrinol. 2021, 12, 646210. [Google Scholar] [CrossRef]
- Jiang, X.; Zhang, H.; Ni, J.; Zhang, X.; Ding, K. Identifying Tumor Antigens and Immune Subtypes of Gastrointestinal MALT Lymphoma for Immunotherapy Development. Front. Oncol. 2022, 12, 1060496. [Google Scholar] [CrossRef]
- Montesinos-Rongen, M.; Brunn, A.; Sanchez-Ruiz, M.; Küppers, R.; Siebert, R.; Deckert, M. Impact of a Faulty Germinal Center Reaction on the Pathogenesis of Primary Diffuse Large B Cell Lymphoma of the Central Nervous System. Cancers 2021, 13, 6334. [Google Scholar] [CrossRef] [PubMed]
- Wang, X.; Sun, R.; Hong, X.; Chen, C.; Ding, Y. KLHL14: A Novel Prognostic Biomarker and Therapeutic Target for Ovarian Cancer. J. Oncol. 2022, 2022, 9799346. [Google Scholar] [CrossRef] [PubMed]
- Han, M.; Yang, H.; Lin, Q. KLHL14, an Ovarian and Endometrial-Specific Gene, Is over-Expressed in Ovarian and Endometrial Cancer. Math. Biosci. Eng. 2020, 17, 1702–1717. [Google Scholar] [CrossRef]
- Di Lollo, V.; Canciello, A.; Orsini, M.; Bernabò, N.; Ancora, M.; Di Federico, M.; Curini, V.; Mattioli, M.; Russo, V.; Mauro, A.; et al. Transcriptomic and Computational Analysis Identified LPA Metabolism, KLHL14 and KCNE3 as Novel Regulators of Epithelial-Mesenchymal Transition. Sci. Rep. 2020, 10, 4180. [Google Scholar] [CrossRef]
- Canciello, A.; Domínguez, R.B.; Barboni, B.; Giordano, A.; Morrione, A. Characterization of KLHL14 Anti-Oncogenic Action in Malignant Mesothelioma. Heliyon 2024, 10, e27731. [Google Scholar] [CrossRef]
- Baranwal, S.; Alahari, S.K. Molecular Mechanisms Controlling E-Cadherin Expression in Breast Cancer. Biochem. Biophys. Res. Commun. 2009, 384, 6–11. [Google Scholar] [CrossRef] [PubMed]
- Russo, V.; Mauro, A.; Martelli, A.; Di Giacinto, O.; Di Marcantonio, L.; Nardinocchi, D.; Berardinelli, P.; Barboni, B. Cellular and Molecular Maturation in Fetal and Adult Ovine Calcaneal Tendons. J. Anat. 2015, 226, 126–142. [Google Scholar] [CrossRef] [PubMed]
- Remmele, W.; Stegner, H.E. Recommendation for Uniform Definition of an Immunoreactive Score (IRS) for Immunohistochemical Estrogen Receptor Detection (ER-ICA) in Breast Cancer Tissue. Pathologe 1987, 8, 138–140. [Google Scholar]
- Asa, S.L.; Mete, O.; Perry, A.; Osamura, R.Y. Overview of the 2022 WHO Classification of Pituitary Tumors. Endocr. Pathol. 2022, 33, 6–26. [Google Scholar] [CrossRef]
- Drummond, J.; Roncaroli, F.; Grossman, A.B.; Korbonits, M. Clinical and Pathological Aspects of Silent Pituitary Adenomas. J. Clin. Endocrinol. Metab. 2019, 104, 2473–2489. [Google Scholar] [CrossRef]
- Lekva, T.; Berg, J.P.; Heck, A.; Lyngvi Fougner, S.; Olstad, O.K.; Ringstad, G.; Bollerslev, J.; Ueland, T. Attenuated RORC Expression in the Presence of EMT Progression in Somatotroph Adenomas Following Treatment with Somatostatin Analogs Is Associated with Poor Clinical Recovery. PLoS ONE 2013, 8, e66927. [Google Scholar] [CrossRef] [PubMed]
- Gil, J.; Marques-Pamies, M.; Valassi, E.; Serra, G.; Salinas, I.; Xifra, G.; Casano-Sancho, P.; Carrato, C.; Biagetti, B.; Sesmilo, G.; et al. Molecular Characterization of Epithelial-Mesenchymal Transition and Medical Treatment Related-Genes in Non-Functioning Pituitary Neuroendocrine Tumors. Front. Endocrinol. 2023, 14, 1129213. [Google Scholar] [CrossRef] [PubMed]
- Canciello, A.; Cerveró-Varona, A.; Peserico, A.; Mauro, A.; Russo, V.; Morrione, A.; Giordano, A.; Barboni, B. “In Medio Stat Virtus”: Insights into Hybrid E/M Phenotype Attitudes. Front. Cell Dev. Biol. 2022, 10, 1038841. [Google Scholar] [CrossRef] [PubMed]
- Chaffer, C.L.; San Juan, B.P.; Lim, E.; Weinberg, R.A. EMT, Cell Plasticity and Metastasis. Cancer Metastasis Rev. 2016, 35, 645–654. [Google Scholar] [CrossRef] [PubMed]
- Gil, J.; Marques-Pamies, M.; Valassi, E.; García-Martínez, A.; Serra, G.; Hostalot, C.; Fajardo-Montañana, C.; Carrato, C.; Bernabeu, I.; Marazuela, M.; et al. Implications of Heterogeneity of Epithelial-Mesenchymal States in Acromegaly Therapeutic Pharmacologic Response. Biomedicines 2022, 10, 460. [Google Scholar] [CrossRef] [PubMed]
- Giles, L.M.; Li, L.; Chin, L.-S. Printor, a Novel TorsinA-Interacting Protein Implicated in Dystonia Pathogenesis. J. Biol. Chem. 2009, 284, 21765–21775. [Google Scholar] [CrossRef] [PubMed]
- Sahni, V.; Itoh, Y.; Shnider, S.J.; Macklis, J.D. Crim1 and Kelch-like 14 Exert Complementary Dual-Directional Developmental Control over Segmentally Specific Corticospinal Axon Projection Targeting. Cell Rep. 2021, 37, 109842. [Google Scholar] [CrossRef]
- Li, S.; Liu, J.; Min, Q.; Ikawa, T.; Yasuda, S.; Yang, Y.; Wang, Y.-Q.; Tsubata, T.; Zhao, Y.; Wang, J.-Y. Kelch-like Protein 14 Promotes B-1a but Suppresses B-1b Cell Development. Int. Immunol. 2018, 30, 311–318. [Google Scholar] [CrossRef]
- Choi, J.; Phelan, J.D.; Wright, G.W.; Häupl, B.; Huang, D.W.; Shaffer, A.L.; Young, R.M.; Wang, Z.; Zhao, H.; Yu, X.; et al. Regulation of B Cell Receptor-Dependent NF-ΚB Signaling by the Tumor Suppressor KLHL14. Proc. Natl. Acad. Sci. USA 2020, 117, 6092–6102. [Google Scholar] [CrossRef]
- Esposito, M.; Migliaccio, A.; Credendino, S.C.; Maturi, R.; Prevete, N.; De Vita, G. KLHL14 Is a Tumor Suppressor Downregulated in Undifferentiated Thyroid Cancer. Cell Death Discov. 2024, 10, 297. [Google Scholar] [CrossRef]
- Dhanoa, B.S.; Cogliati, T.; Satish, A.G.; Bruford, E.A.; Friedman, J.S. Update on the Kelch-like (KLHL) Gene Family. Hum. Genomics 2013, 7, 13. [Google Scholar] [CrossRef] [PubMed]
- Chen, T.; You, Y.; Jiang, H.; Wang, Z.Z. Epithelial-Mesenchymal Transition (EMT): A Biological Process in the Development, Stem Cell Differentiation, and Tumorigenesis. J. Cell. Physiol. 2017, 232, 3261–3272. [Google Scholar] [CrossRef] [PubMed]
- Chetty, R.; Serra, S. Nuclear E-Cadherin Immunoexpression. Adv. Anat. Pathol. 2008, 15, 234–240. [Google Scholar] [CrossRef] [PubMed]
- Lobo, J.; Petronilho, S.; Newell, A.H.; Coach, J.; Harlow, G.; Cruz, A.; Lopes, P.; Antunes, L.; Bai, I.; Walker, E.; et al. E-Cadherin Clone 36 Nuclear Staining Dictates Adverse Disease Outcome in Lobular Breast Cancer Patients. Mod. Pathol. 2019, 32, 1574–1586. [Google Scholar] [CrossRef] [PubMed]
- Ohishi, Y.; Kurihara, S.; Takeuchi, T.; Aman, M.; Kaku, T.; Kobayashi, H.; Wake, N.; Oda, Y. E-Cadherin Nuclear Staining Is Useful for the Diagnosis of Ovarian Adult Granulosa Cell Tumor. Hum. Pathol. 2012, 43, 808–817. [Google Scholar] [CrossRef] [PubMed]
- Øystese, K.A.B.; Casar-Borota, O.; Berg-Johnsen, J.; Berg, J.P.; Bollerslev, J. Distribution of E- and N-Cadherin in Subgroups of Non-Functioning Pituitary Neuroendocrine Tumours. Endocrine 2022, 77, 151–159. [Google Scholar] [CrossRef] [PubMed]
- Ntali, G.; Wass, J.A. Epidemiology, Clinical Presentation and Diagnosis of Non-Functioning Pituitary Adenomas. Pituitary 2018, 21, 111–118. [Google Scholar] [CrossRef] [PubMed]
- Chanson, P.; Raverot, G.; Castinetti, F.; Cortet-Rudelli, C.; Galland, F.; Salenave, S. Management of Clinically Non-Functioning Pituitary Adenoma. Ann. Endocrinol. 2015, 76, 239–247. [Google Scholar] [CrossRef]
- Even-Zohar, N.; Greenman, Y. Management of NFAs: Medical Treatment. Pituitary 2018, 21, 168–175. [Google Scholar] [CrossRef]




| Case | Gender | Age (y) | Time of Recurrence (y) | Prevalent Extension | Knosp Grade | Invasion | Ki67 | NFPA Histotype |
|---|---|---|---|---|---|---|---|---|
| 1 | M | 44 | 4 | Suprasellar | 2 | Cavernous Sinus | 4% | High Ki67+ (≥3%) |
| 2 | M | 56 | 4 | Suprasellar | 3 | III Ventricle / Cavernous Sinus | 4% | |
| 3 | F | 59 | 1 | Parasellar | 4 | Cavernous Sinus | 7–8% | |
| 4 | F | 38 | 5 | Suprasellar | 2 | Paninvasive | 3% | |
| 5 | M | 70 | 1 | Parasellar | 3 | Cavernous Sinus | 3% | |
| 6 | F | 54 | 3 | Suprasellar | 2 | III Ventricle / Cavernous Sinus | 2% | Low Ki67+ (<3%) |
| 7 | M | 61 | 12 | Suprasellar | 3 | Paninvasive | 2% | |
| 8 | F | 51 | 1 | Parasellar | 3 | Cavernous Sinus | 2% | |
| 9 | M | 63 | 1 | Suprasellar | 2 | Cavernous Sinus | 2% | |
| 10 | M | 68 | 5 | Suprasellar | 2 | Paninvasive | 1% | |
| 11 | M | 62 | 2 | Suprasellar | 4 | Paninvasive | 1% | |
| 12 | F | 64 | 4 | Suprasellar | 3 | III Ventricle/Cavernous Sinus | 1% | |
| 13 | F | n.d | -- | -- | -- | <0.1% | Healthy | |
| 14 | M | n.d | -- | -- | -- | <0.1% |
Disclaimer/Publisher’s Note: The statements, opinions and data contained in all publications are solely those of the individual author(s) and contributor(s) and not of MDPI and/or the editor(s). MDPI and/or the editor(s) disclaim responsibility for any injury to people or property resulting from any ideas, methods, instructions or products referred to in the content. |
© 2024 by the authors. Licensee MDPI, Basel, Switzerland. This article is an open access article distributed under the terms and conditions of the Creative Commons Attribution (CC BY) license (https://creativecommons.org/licenses/by/4.0/).
Share and Cite
Berardinelli, J.; Russo, V.; Canciello, A.; Di Giacinto, O.; Mauro, A.; Nardinocchi, D.; Bove, I.; Solari, D.; Del Basso De Caro, M.; Cavallo, L.M.; et al. KLHL14 and E-Cadherin Nuclear Co-Expression as Predicting Factor of Nonfunctioning PitNET Invasiveness: Preliminary Study. J. Clin. Med. 2024, 13, 4409. https://doi.org/10.3390/jcm13154409
Berardinelli J, Russo V, Canciello A, Di Giacinto O, Mauro A, Nardinocchi D, Bove I, Solari D, Del Basso De Caro M, Cavallo LM, et al. KLHL14 and E-Cadherin Nuclear Co-Expression as Predicting Factor of Nonfunctioning PitNET Invasiveness: Preliminary Study. Journal of Clinical Medicine. 2024; 13(15):4409. https://doi.org/10.3390/jcm13154409
Chicago/Turabian StyleBerardinelli, Jacopo, Valentina Russo, Angelo Canciello, Oriana Di Giacinto, Annunziata Mauro, Delia Nardinocchi, Ilaria Bove, Domenico Solari, Marialaura Del Basso De Caro, Luigi Maria Cavallo, and et al. 2024. "KLHL14 and E-Cadherin Nuclear Co-Expression as Predicting Factor of Nonfunctioning PitNET Invasiveness: Preliminary Study" Journal of Clinical Medicine 13, no. 15: 4409. https://doi.org/10.3390/jcm13154409
APA StyleBerardinelli, J., Russo, V., Canciello, A., Di Giacinto, O., Mauro, A., Nardinocchi, D., Bove, I., Solari, D., Del Basso De Caro, M., Cavallo, L. M., & Barboni, B. (2024). KLHL14 and E-Cadherin Nuclear Co-Expression as Predicting Factor of Nonfunctioning PitNET Invasiveness: Preliminary Study. Journal of Clinical Medicine, 13(15), 4409. https://doi.org/10.3390/jcm13154409

