Variations in Cortical Oxygenation by Near-Infrared Spectroscopy According to Head Position after Acute Stroke: The Preliminary Findings of an Observational Study
Abstract
1. Introduction
2. Materials and Methods
2.1. Inclusion Criteria
2.2. Experimental Task
- Part 1. Recording starts when the headset is correctly positioned, and the detection system is correctly calibrated automatically using NIRStar acquisition software version 15.6.
- Part 2. The first marker is placed upon reaching the upright position on the bed by forming an approximately 90° angle between the trunk and the outstretched lower limbs. The position is held for 90 s before proceeding to the next position. Pillows are placed on the back to support the posture, and assistance is provided to maintain the position with as little muscle effort as possible.
- Part 3: The second marker is placed when the subject is positioned to form a 30° angle between the trunk and the horizontal plane of the bed, maintaining the posture for an additional 90 s.
- Part 4: The third marker is placed when the patient is positioned again sitting up, forming a 90° angle between the trunk and lower limbs for an additional 90 s.
- Part 5: The fourth and last marker is placed when the patient is in the supine position (0° angle). The recording ended after the last 90 s were recorded.
2.3. Data Analysis
- hmrIntensity2OD: This converts light intensities into optical densities.
- hmrSSR: This allows for short-separation regression. By using short channels, it is possible to separate the superficial extracerebral vascular component, i.e., of the scalp, from the actual cortical vascular component [25].
- hmrOD2Conc: This converts optical densities into concentrations. The input data are the obtained optical densities, the SD (source–detectors) structure and the partial pathlength factor (ppf) for each wavelength. The typical value of ppf is ~6 for each wavelength if the absorption variation is uniform over the measured volume of tissue.
- hmrMotionCorrectPCA: This function uses the PCA filter to filter out only those segments identified as motion artefacts. The input data include nSV, which is the number of principal components to be removed from the data (0.80). If this number is less than 1, the filter removes the first n components of the data, removing a fraction of the variance up to nSV. Several authors have used this procedure to remove extracerebral components from signals, thus removing systemic interference [26].
- hmrBandpassFilt: A bandpass filter is applied. This procedure involves the exclusion of frequencies not between two chosen values, namely, a high-pass filter (0.01) and a low-pass filter (0.5). The frequency range is set to preserve the frequency of the stimulus in relation to the task [27].
2.4. Outcomes
2.5. Statistical Analysis
3. Results
3.1. fNIRS Data Collection
3.2. fNIRS Measurement Agreement
3.3. Within-Subject Variations over Time
3.4. Comparison between Recanalized and Nonrecanalized Patients
3.5. Comparison According to Stroke Severity
4. Discussion
5. Conclusions
Author Contributions
Funding
Institutional Review Board Statement
Informed Consent Statement
Data Availability Statement
Conflicts of Interest
References
- Bikbov, B.; Purcell, C.A.; Levey, A.S.; Smith, M.; Abdoli, A.; Abebe, M.; Adebayo, O.M.; Afarideh, M.; Agarwal, S.K.; Agudelo-Botero, M.; et al. Global, Regional, and National Burden of Chronic Kidney Disease, 1990–2017: A Systematic Analysis for the Global Burden of Disease Study 2017. Lancet 2020, 395, 709–733. [Google Scholar] [CrossRef] [PubMed]
- González-Santos, J.; Rodríguez-Fernández, P.; Pardo-Hernández, R.; González-Bernal, J.J.; Fernández-Solana, J.; Santamaría-Peláez, M. A Cross-Sectional Study: Determining Factors of Functional Independence and Quality of Life of Patients One Month after Having Suffered a Stroke. Int. J. Environ. Res. Public Health 2023, 20, 995. [Google Scholar] [CrossRef] [PubMed]
- Burnol, L.; Payen, J.-F.; Francony, G.; Skaare, K.; Manet, R.; Morel, J.; Bosson, J.-L.; Gergele, L. Impact of Head-of-Bed Posture on Brain Oxygenation in Patients with Acute Brain Injury: A Prospective Cohort Study. Neurocrit. Care 2021, 35, 662–668. [Google Scholar] [CrossRef]
- Drakulovic, M.B.; Torres, A.; Bauer, T.T.; Nicolas, J.M.; Nogué, S.; Ferrer, M. Supine Body Position as a Risk Factor for Nosocomial Pneumonia in Mechanically Ventilated Patients: A Randomised Trial. Lancet 1999, 354, 1851–1858. [Google Scholar] [CrossRef]
- Ropper, A.H.; O’Rourke, D.; Kennedy, S.K. Head Position, Intracranial Pressure, and Compliance. Neurology 1982, 32, 1288–1291. [Google Scholar] [CrossRef] [PubMed]
- Petersen, L.G.; Petersen, J.C.G.; Andresen, M.; Secher, N.H.; Juhler, M. Postural Influence on Intracranial and Cerebral Perfusion Pressure in Ambulatory Neurosurgical Patients. Am. J. Physiol. Regul. Integr. Comp. Physiol. 2016, 310, R100–R104. [Google Scholar] [CrossRef] [PubMed]
- Maloney-Wilensky, E.; Gracias, V.; Itkin, A.; Hoffman, K.; Bloom, S.; Yang, W.; Christian, S.; LeRoux, P.D. Brain Tissue Oxygen and Outcome after Severe Traumatic Brain Injury: A Systematic Review. Crit. Care Med. 2009, 37, 2057–2063. [Google Scholar] [CrossRef]
- Ng, I.; Lim, J.; Wong, H.B. Effects of Head Posture on Cerebral Hemodynamics: Its Influences on Intracranial Pressure, Cerebral Perfusion Pressure, and Cerebral Oxygenation. Neurosurgery 2004, 54, 593–597. [Google Scholar] [CrossRef] [PubMed]
- Feldman, Z.; Kanter, M.J.; Robertson, C.S.; Contant, C.F.; Hayes, C.; Sheinberg, M.A.; Villareal, C.A.; Narayan, R.K.; Grossman, R.G. Effect of Head Elevation on Intracranial Pressure, Cerebral Perfusion Pressure, and Cerebral Blood Flow in Head-Injured Patients. J. Neurosurg. 1992, 76, 207–211. [Google Scholar] [CrossRef] [PubMed]
- Meixensberger, J.; Baunach, S.; Amschler, J.; Dings, J.; Roosen, K. Influence of Body Position on Tissue-pO2, Cerebral Perfusion Pressure and Intracranial Pressure in Patients with Acute Brain Injury. Neurol. Res. 1997, 19, 249–253. [Google Scholar] [CrossRef] [PubMed]
- Wojner, A.W.; El-Mitwalli, A.; Alexandrov, A.V. Effect of Head Positioning on Intracranial Blood Flow Velocities in Acute Ischemic Stroke: A Pilot Study. Crit. Care Nurs. Q. 2002, 24, 57–66. [Google Scholar] [CrossRef] [PubMed]
- Wojner-Alexander, A.W.; Garami, Z.; Chernyshev, O.Y.; Alexandrov, A.V. Heads down: Flat Positioning Improves Blood Flow Velocity in Acute Ischemic Stroke. Neurology 2005, 64, 1354–1357. [Google Scholar] [CrossRef] [PubMed]
- Schwarz, S.; Georgiadis, D.; Aschoff, A.; Schwab, S. Effects of Body Position on Intracranial Pressure and Cerebral Perfusion in Patients with Large Hemispheric Stroke. Stroke 2002, 33, 497–501. [Google Scholar] [CrossRef] [PubMed]
- Hunter, A.J.; Snodgrass, S.J.; Quain, D.; Parsons, M.W.; Levi, C.R. HOBOE (Head-of-Bed Optimization of Elevation) Study: Association of Higher Angle with Reduced Cerebral Blood Flow Velocity in Acute Ischemic Stroke. Phys. Ther. 2011, 91, 1503–1512. [Google Scholar] [CrossRef] [PubMed]
- Aries, M.J.; Elting, J.W.; Stewart, R.; De Keyser, J.; Kremer, B.; Vroomen, P. Cerebral Blood Flow Velocity Changes during Upright Positioning in Bed after Acute Stroke: An Observational Study. BMJ Open 2013, 3, e002960. [Google Scholar] [CrossRef] [PubMed]
- Olavarría, V.V.; Lavados, P.M.; Muñoz-Venturelli, P.; González, F.; Gaete, J.; Martins, S.; Arima, H.; Anderson, C.S.; Brunser, A.M. Flat-Head Positioning Increases Cerebral Blood Flow in Anterior Circulation Acute Ischemic Stroke. A Cluster Randomized Phase IIb Trial. Int. J. Stroke Off. J. Int. Stroke Soc. 2018, 13, 600–611. [Google Scholar] [CrossRef] [PubMed]
- Olavarría, V.V.; Arima, H.; Anderson, C.S.; Brunser, A.M.; Muñoz-Venturelli, P.; Heritier, S.; Lavados, P.M. Head Position and Cerebral Blood Flow Velocity in Acute Ischemic Stroke: A Systematic Review and Meta-Analysis. Cerebrovasc. Dis. 2014, 37, 401–408. [Google Scholar] [CrossRef] [PubMed]
- Anderson, C.S.; Arima, H.; Lavados, P.; Billot, L.; Hackett, M.L.; Olavarría, V.V.; Muñoz Venturelli, P.; Brunser, A.; Peng, B.; Cui, L.; et al. Cluster-Randomized, Crossover Trial of Head Positioning in Acute Stroke. N. Engl. J. Med. 2017, 376, 2437–2447. [Google Scholar] [CrossRef] [PubMed]
- Alexandrov, A.W.; Tsivgoulis, G.; Hill, M.D.; Liebeskind, D.S.; Schellinger, P.; Ovbiagele, B.; Arthur, A.S.; Caso, V.; Nogueira, R.G.; Hemphill, J.C.; et al. HeadPoST: Rightly Positioned, or Flat out Wrong? Neurology 2018, 90, 885–889. [Google Scholar] [CrossRef] [PubMed]
- Muñoz Venturelli, P.; Olavarría, V.; González, F.; Brunser, A.; Lavados, P.; Arima, H.; Anderson, C.S. Head Position in the Early Phase of Acute Ischemic Stroke: An International Survey of Current Practice. J. Stroke Cerebrovasc. Dis. Off. J. Natl. Stroke Assoc. 2015, 24, 1564–1569. [Google Scholar] [CrossRef] [PubMed]
- Powers, W.J.; Rabinstein, A.A.; Ackerson, T.; Adeoye, O.M.; Bambakidis, N.C.; Becker, K.; Biller, J.; Brown, M.; Demaerschalk, B.M.; Hoh, B.; et al. Guidelines for the Early Management of Patients with Acute Ischemic Stroke: 2019 Update to the 2018 Guidelines for the Early Management of Acute Ischemic Stroke: A Guideline for Healthcare Professionals from the American Heart Association/American Stroke Association. Stroke 2019, 50, e344–e418. [Google Scholar] [CrossRef]
- Marinoni, M.; Ginanneschi, A.; Forleo, P.; Amaducci, L. Technical Limits in Transcranial Doppler Recording: Inadequate Acoustic Windows. Ultrasound Med. Biol. 1997, 23, 1275–1277. [Google Scholar] [CrossRef]
- Cui, X.; Bray, S.; Bryant, D.M.; Glover, G.H.; Reiss, A.L. A Quantitative Comparison of NIRS and fMRI across Multiple Cognitive Tasks. NeuroImage 2011, 54, 2808–2821. [Google Scholar] [CrossRef] [PubMed]
- Hoshi, Y. Functional Near-Infrared Optical Imaging: Utility and Limitations in Human Brain Mapping. Psychophysiology 2003, 40, 511–520. [Google Scholar] [CrossRef] [PubMed]
- Wyser, D.; Mattille, M.; Wolf, M.; Lambercy, O.; Scholkmann, F.; Gassert, R. Short-Channel Regression in Functional near-Infrared Spectroscopy Is More Effective When Considering Heterogeneous Scalp Hemodynamics. Neurophotonics 2020, 7, 035011. [Google Scholar] [CrossRef] [PubMed]
- Scholkmann, F.; Kleiser, S.; Metz, A.J.; Zimmermann, R.; Mata Pavia, J.; Wolf, U.; Wolf, M. A Review on Continuous Wave Functional Near-Infrared Spectroscopy and Imaging Instrumentation and Methodology. NeuroImage 2014, 85 Pt 1, 6–27. [Google Scholar] [CrossRef] [PubMed]
- Pinti, P.; Scholkmann, F.; Hamilton, A.; Burgess, P.; Tachtsidis, I. Current Status and Issues Regarding Pre-Processing of fNIRS Neuroimaging Data: An Investigation of Diverse Signal Filtering Methods Within a General Linear Model Framework. Front. Hum. Neurosci. 2018, 12, 505. [Google Scholar] [CrossRef]
- Markus, H.S. Cerebral Perfusion and Stroke. J. Neurol. Neurosurg. Psychiatry 2004, 75, 353–361. [Google Scholar] [CrossRef]
- Anderson, C.S.; Olavarría, V.V. Head Positioning in Acute Stroke: Down but Not Out. Stroke 2019, 50, 224–228. [Google Scholar] [CrossRef]
- Kenning, J.A.; Toutant, S.M.; Saunders, R.L. Upright Patient Positioning in the Management of Intracranial Hypertension. Surg. Neurol. 1981, 15, 148–152. [Google Scholar] [CrossRef] [PubMed]
- Fan, J.-Y. Effect of Backrest Position on Intracranial Pressure and Cerebral Perfusion Pressure in Individuals with Brain Injury: A Systematic Review. J. Neurosci. Nurs. J. Am. Assoc. Neurosci. Nurses 2004, 36, 278–288. [Google Scholar] [CrossRef] [PubMed]
- Diserens, K.; Moreira, T.; Hirt, L.; Faouzi, M.; Grujic, J.; Bieler, G.; Vuadens, P.; Michel, P. Early Mobilization out of Bed after Ischaemic Stroke Reduces Severe Complications but Not Cerebral Blood Flow: A Randomized Controlled Pilot Trial. Clin. Rehabil. 2012, 26, 451–459. [Google Scholar] [CrossRef] [PubMed]
- Palazzo, P.; Brooks, A.; James, D.; Moore, R.; Alexandrov, A.V.; Alexandrov, A.W. Risk of Pneumonia Associated with Zero-Degree Head Positioning in Acute Ischemic Stroke Patients Treated with Intravenous Tissue Plasminogen Activator. Brain Behav. 2016, 6, e00425. [Google Scholar] [CrossRef] [PubMed]
- Yuan, H.; Liu, J.; Gu, Y.; Ji, X.; Nan, G. Intermittent Hypoxia Conditioning as a Potential Prevention and Treatment Strategy for Ischemic Stroke: Current Evidence and Future Directions. Front. Neurosci. 2022, 16, 1067411. [Google Scholar] [CrossRef] [PubMed]
- Truijen, J.; Rasmussen, L.S.; Kim, Y.S.; Stam, J.; Stok, W.J.; Pott, F.C.; van Lieshout, J.J. Cerebral Autoregulatory Performance and the Cerebrovascular Response to Head-of-Bed Positioning in Acute Ischaemic Stroke. Eur. J. Neurol. 2018, 25, 1365-e117. [Google Scholar] [CrossRef] [PubMed]
- Arboix, A.; García-Eroles, L.; Sellarés, N.; Raga, A.; Oliveres, M.; Massons, J. Infarction in the Territory of the Anterior Cerebral Artery: Clinical Study of 51 Patients. BMC Neurol. 2009, 9, 30. [Google Scholar] [CrossRef] [PubMed]
- Moreau, F.; Yang, R.; Nambiar, V.; Demchuk, A.M.; Dunn, J.F. Near-Infrared Measurements of Brain Oxygenation in Stroke. Neurophotonics 2016, 3, 031403. [Google Scholar] [CrossRef]
- Yang, M.; Yang, Z.; Yuan, T.; Feng, W.; Wang, P. A Systemic Review of Functional Near-Infrared Spectroscopy for Stroke: Current Application and Future Directions. Front. Neurol. 2019, 10, 58. [Google Scholar] [CrossRef] [PubMed]





| Population (n = 21) | |
|---|---|
| Women (N, %) | 10 (48%) |
| Mean + SD age | 79 ± 9 |
| Hypertension (N, %) | 18 (86%) |
| Diabetes (N,%) | 3 (14%) |
| Atrial fibrillation (N, %) | 12 (57%) |
| Dyslipidemia (N, %) | 9 (43%) |
| Ischemic heart disease (N, %) | 8 (38%) |
| Smoking (N, %) | 6 (29%) |
| Baseline NIHSS (median, IQR) | 16 (9–21) |
| Baseline ASPECTS (median, IQR) | 8 (7–10) |
| T0, 90° (First) | T0, 30° | T0, 90° (Second) | T0, 0° | p Value | |
|---|---|---|---|---|---|
| Whole brain area | −35.70 ± 51.23 | 42.77 ± 49.49 †* | −45.71 ± 56.53 | 59.28 ± 68.22 †* | <0.001 |
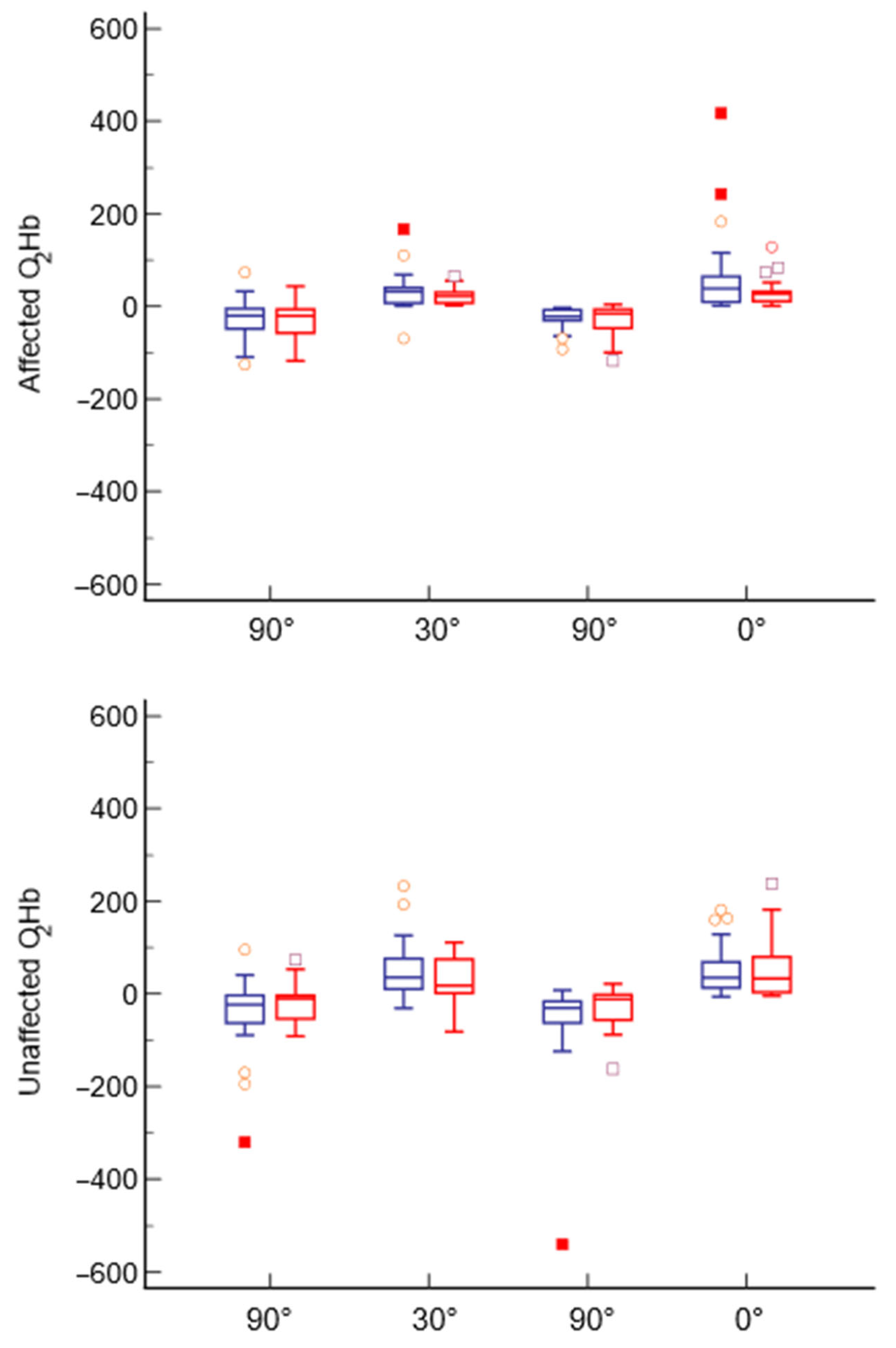
| Affected hemisphere | −25.48 ± 43.03 | 33.39 ± 45.19 †* | −26.25 ± 24.50 | 68.56 ± 100.71 †* | <0.001 |
| Unaffected hemisphere | −45.92 ± 89.46 | 52.15 ± 66.45 †* | −65.16 ± 115.06 | 53.05 ± 56.97 †* | <0.001 |
| T0, 90° (First) | T0, 30° | T0, 90° (Second) | T0, 0° | p Value | |
|---|---|---|---|---|---|
| Whole brain area | −25.63 ± 24.64 | 28.87 ± 27.85 †* | −28.98 ± 34.29 | 46.17 ± 41.00 †* | <0.001 |
| Affected hemisphere | −32.51 ± 39.18 | 23.32 ± 18.85 †* | −30.02 ± 34.36 | 33.42 ± 31.79 †* | <0.001 |
| Unaffected hemisphere | −18.76 ± 44.54 | 34.42 ± 48.00 †* | −27.94 ± 45.23 | 58.92 ± 69.94 †* | <0.001 |
Disclaimer/Publisher’s Note: The statements, opinions and data contained in all publications are solely those of the individual author(s) and contributor(s) and not of MDPI and/or the editor(s). MDPI and/or the editor(s) disclaim responsibility for any injury to people or property resulting from any ideas, methods, instructions or products referred to in the content. |
© 2024 by the authors. Licensee MDPI, Basel, Switzerland. This article is an open access article distributed under the terms and conditions of the Creative Commons Attribution (CC BY) license (https://creativecommons.org/licenses/by/4.0/).
Share and Cite
Casetta, I.; Crepaldi, A.; Laudisi, M.; Baroni, A.; Gemignani, J.; Straudi, S.; Manfredini, F.; Lamberti, N. Variations in Cortical Oxygenation by Near-Infrared Spectroscopy According to Head Position after Acute Stroke: The Preliminary Findings of an Observational Study. J. Clin. Med. 2024, 13, 3914. https://doi.org/10.3390/jcm13133914
Casetta I, Crepaldi A, Laudisi M, Baroni A, Gemignani J, Straudi S, Manfredini F, Lamberti N. Variations in Cortical Oxygenation by Near-Infrared Spectroscopy According to Head Position after Acute Stroke: The Preliminary Findings of an Observational Study. Journal of Clinical Medicine. 2024; 13(13):3914. https://doi.org/10.3390/jcm13133914
Chicago/Turabian StyleCasetta, Ilaria, Anna Crepaldi, Michele Laudisi, Andrea Baroni, Jessica Gemignani, Sofia Straudi, Fabio Manfredini, and Nicola Lamberti. 2024. "Variations in Cortical Oxygenation by Near-Infrared Spectroscopy According to Head Position after Acute Stroke: The Preliminary Findings of an Observational Study" Journal of Clinical Medicine 13, no. 13: 3914. https://doi.org/10.3390/jcm13133914
APA StyleCasetta, I., Crepaldi, A., Laudisi, M., Baroni, A., Gemignani, J., Straudi, S., Manfredini, F., & Lamberti, N. (2024). Variations in Cortical Oxygenation by Near-Infrared Spectroscopy According to Head Position after Acute Stroke: The Preliminary Findings of an Observational Study. Journal of Clinical Medicine, 13(13), 3914. https://doi.org/10.3390/jcm13133914

