Effect of Preoperative Clear Liquid Consumption on Postoperative Recovery in Pediatric Patients Undergoing Minimally Invasive Repair of Pectus Excavatum: A Prospective Randomized Controlled Study
Abstract
1. Introduction
2. Materials and Methods
2.1. Study Design and Participants
2.2. Randomization and Blinding
2.3. General Anesthesia and Surgical Procedure
2.4. Multimodal Analgesia Management
2.5. Outcome Measurement
2.5.1. Preoperative Anxiety Level
2.5.2. Intraoperative Variables
2.5.3. Postoperative Pain Score
2.5.4. Postoperative Opioid Requirement
2.6. Statistical Analysis
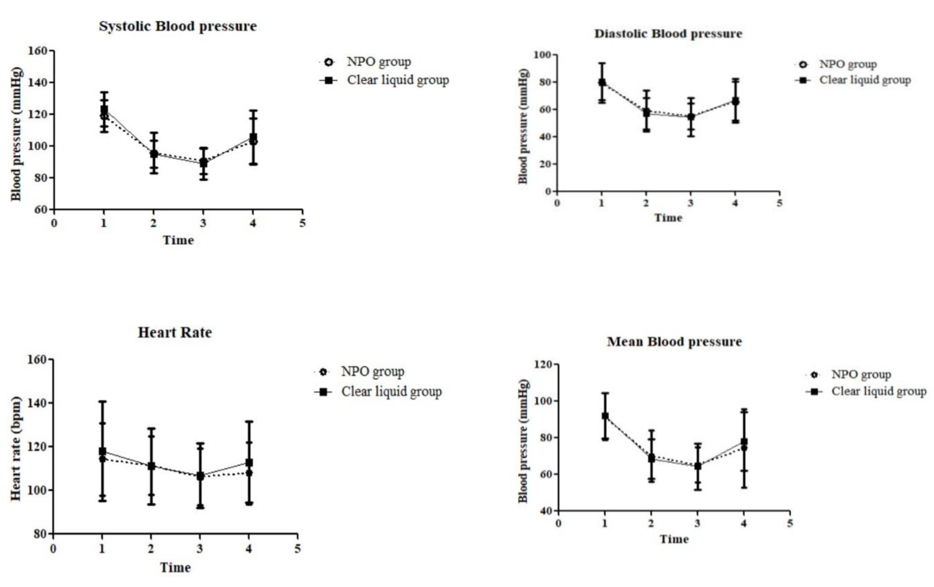
3. Results
4. Discussion
5. Conclusions
Author Contributions
Funding
Institutional Review Board Statement
Informed Consent Statement
Data Availability Statement
Conflicts of Interest
References
- Jukić, M.; Mustapić, I.; Šušnjar, T.; Pogorelić, Z. Minimally Invasive Modified Nuss Procedure for Repair of Pectus Excavatum in Pediatric Patients: Single-Center Retrospective Observational Study. Children 2021, 8, 1071. [Google Scholar] [CrossRef]
- Park, H.J.; Sung, S.W.; Park, J.K.; Kim, J.J.; Jeon, H.W.; Wang, Y.P. How early can we repair pectus excavatum: The earlier the better? Eur. J. Cardiothorac. Surg. 2012, 42, 667–672. [Google Scholar] [CrossRef]
- Koo, J.M.; Park, H.J.; Rim, G.M.; Hyun, K.; Huh, J.; Choi, H.; Kim, Y.; Hwang, W. Analysis of Factors Affecting Postoperative Opioid Requirement in Pediatric Patients Undergoing Pectus Excavatum Repair with Multimodal Analgesic Management. J. Clin. Med. 2023, 12, 5240. [Google Scholar] [CrossRef]
- Joshi, G.P.; Abdelmalak, B.B.; Weigel, W.A.; Harbell, M.W.; Kuo, C.I.; Soriano, S.G.; Stricker, P.A.; Tipton, T.; Grant, M.D.; Marbella, A.M.; et al. 2023 American Society of Anesthesiologists Practice Guidelines for Preoperative Fasting: Carbohydrate-containing Clear Liquids with or without Protein, Chewing Gum, and Pediatric Fasting Duration-A Modular Update of the 2017 American Society of Anesthesiologists Practice Guidelines for Preoperative Fasting. Anesthesiology 2023, 138, 132–151. [Google Scholar] [CrossRef]
- Zhang, E.; Hauser, N.; Sommerfield, A.; Sommerfield, D.; von Ungern-Sternberg, B.S. A review of pediatric fasting guidelines and strategies to help children manage preoperative fasting. Paediatr. Anaesth. 2023, 33, 1012–1019. [Google Scholar] [CrossRef]
- Frykholm, P.; Disma, N.; Andersson, H.; Beck, C.; Bouvet, L.; Cercueil, E.; Elliott, E.; Hofmann, J.; Isserman, R.; Klaucane, A.; et al. Pre-operative fasting in children: A guideline from the European Society of Anaesthesiology and Intensive Care. Eur. J. Anaesthesiol. 2022, 39, 4–25. [Google Scholar] [CrossRef]
- Tudor-Drobjewski, B.A.; Marhofer, P.; Kimberger, O.; Huber, W.D.; Roth, G.; Triffterer, L. Randomised controlled trial comparing preoperative carbohydrate loading with standard fasting in paediatric anaesthesia. Br. J. Anaesth. 2018, 121, 656–661. [Google Scholar] [CrossRef]
- Klemetti, S.; Kinnunen, I.; Suominen, T.; Antila, H.; Vahlberg, T.; Grenman, R.; Leino-Kilpi, H. The effect of preoperative fasting on postoperative pain, nausea and vomiting in pediatric ambulatory tonsillectomy. Int. J. Pediatr. Otorhinolaryngol. 2009, 73, 263–273. [Google Scholar] [CrossRef]
- Sikich, N.; Lerman, J. Development and psychometric evaluation of the pediatric anesthesia emergence delirium scale. Anesthesiology 2004, 100, 1138–1145. [Google Scholar] [CrossRef]
- Balkaya, A.N.; Yılmaz, C.; Baytar, Ç.; Demirel, A.; Kılıçarslan, N.; Ata, F.; Kaçmaz, N.K.; Gamlı, M. Relationship between Fasting Times and Emergence Delirium in Children Undergoing Magnetic Resonance Imaging under Sedation. Medicina 2022, 58, 1861. [Google Scholar] [CrossRef]
- Khanna, P.; Saini, K.; Sinha, R.; Nisa, N.; Kumar, S.; Maitra, S. Correlation between duration of preoperative fasting and emergence delirium in pediatric patients undergoing ophthalmic examination under anesthesia: A prospective observational study. Paediatr. Anaesth. 2018, 28, 547–551. [Google Scholar] [CrossRef]
- Hicks, C.L.; von Baeyer, C.L.; Spafford, P.A.; van Korlaar, I.; Goodenough, B. The Faces Pain Scale-Revised: Toward a common metric in pediatric pain measurement. Pain 2001, 93, 173–183. [Google Scholar] [CrossRef]
- Crenshaw, J.T. Preoperative fasting: Will the evidence ever be put into practice? Am. J. Nurs. 2011, 111, 38–43. [Google Scholar] [CrossRef]
- Choi, E.K.; Lee, S.; Kim, W.J.; Park, S.J. Effects of remifentanil maintenance during recovery on emergence delirium in children with sevoflurane anesthesia. Paediatr. Anaesth. 2018, 28, 739–744. [Google Scholar] [CrossRef]
- Nair, S.; Wolf, A. Emergence delirium after paediatric anaesthesia: New strategies in avoidance and treatment. BJA Educ. 2018, 18, 30–33. [Google Scholar] [CrossRef]
- Dahmani, S.; Delivet, H.; Hilly, J. Emergence delirium in children: An update. Curr. Opin. Anaesthesiol. 2014, 27, 309–315. [Google Scholar] [CrossRef]
- Vlajkovic, G.P.; Sindjelic, R.P. Emergence Delirium in Children: Many Questions, Few Answers. Anesth. Analg. 2007, 104, 84–91. [Google Scholar] [CrossRef]
- Choi, E.K.; Park, S.; Park, K.B.; Kwak, K.H.; Park, S. Postoperative emergence agitation and intraoperative sevoflurane sedation under caudal block in children: A randomized comparison of two sevoflurane doses. Anesth. Pain Med. 2019, 14, 434–440. [Google Scholar] [CrossRef]
- Zhang, Y.; Zhang, Q.; Xu, S.; Zhang, X.; Gao, W.; Chen, Y.; Zhu, Z. Association of volatile anesthesia exposure and depth with emergence agitation and delirium in children: Prospective observational cohort study. Front. Pediatr. 2023, 11, 1115124. [Google Scholar] [CrossRef]
- Simpao, A.F.; Wu, L.; Nelson, O.; Galvez, J.A.; Tan, J.M.; Wasey, J.O.; Muhly, W.T.; Tsui, F.C.; Masino, A.J.; Stricker, P.A. Preoperative Fluid Fasting Times and Postinduction Low Blood Pressure in Children: A Retrospective Analysis. Anesthesiology 2020, 133, 523–533. [Google Scholar] [CrossRef]
- Carvalho, C.; Carvalho, A.A.; Preza, A.D.G.; Nogueira, P.L.B.; Mendes, K.B.V.; Dock-Nascimento, D.B.; Aguilar-Nascimento, J.E. Metabolic and Inflammatory Benefits of Reducing Preoperative Fasting Time in Pediatric Surgery. Rev. Col. Bras. Cir. 2020, 47, e20202353. [Google Scholar] [CrossRef]
- Dennhardt, N.; Beck, C.; Huber, D.; Sander, B.; Boehne, M.; Boethig, D.; Leffler, A.; Sumpelmann, R. Optimized preoperative fasting times decrease ketone body concentration and stabilize mean arterial blood pressure during induction of anesthesia in children younger than 36 months: A prospective observational cohort study. Paediatr. Anaesth. 2016, 26, 838–843. [Google Scholar] [CrossRef]
- van Veen, M.R.; van Hasselt, P.M.; de Sain-van der Velden, M.G.; Verhoeven, N.; Hofstede, F.C.; de Koning, T.J.; Visser, G. Metabolic profiles in children during fasting. Pediatrics 2011, 127, e1021–e1027. [Google Scholar] [CrossRef]
- Hino, M.; Mihara, T.; Miyazaki, S.; Hijikata, T.; Miwa, T.; Goto, T.; Ka, K. Development and Validation of a Risk Scale for Emergence Agitation After General Anesthesia in Children: A Prospective Observational Study. Anesth. Analg. 2017, 125, 550–555. [Google Scholar] [CrossRef]
- Voepel-Lewis, T.; Malviya, S.; Tait, A.R. A prospective cohort study of emergence agitation in the pediatric postanesthesia care unit. Anesth. Analg. 2003, 96, 1625–1630. [Google Scholar] [CrossRef]
- Hauber, J.A.; Davis, P.J.; Bendel, L.P.; Martyn, S.V.; McCarthy, D.L.; Evans, M.C.; Cladis, F.P.; Cunningham, S.; Lang, R.S.; Campbell, N.F.; et al. Dexmedetomidine as a Rapid Bolus for Treatment and Prophylactic Prevention of Emergence Agitation in Anesthetized Children. Anesth. Analg. 2015, 121, 1308–1315. [Google Scholar] [CrossRef]
- Kim, J.S.; Kim, G.W.; Park, D.H.; Ahn, H.E.; Chang, M.Y.; Kim, J.Y. Effects of scalp nerve block on pain and emergence agitation after paediatric nevus surgery: A clinical trial. Acta Anaesthesiol. Scand. 2017, 61, 935–941. [Google Scholar] [CrossRef]
- Yu, D.; Chai, W.; Sun, X.; Yao, L. Emergence agitation in adults: Risk factors in 2,000 patients. Can. J. Anaesth. 2010, 57, 843–848. [Google Scholar] [CrossRef]
- Lee, S.J.; Sung, T.Y. Emergence agitation: Current knowledge and unresolved questions. Korean J. Anesthesiol. 2020, 73, 471–485. [Google Scholar] [CrossRef]
- Rim, J.C.; Kim, J.A.; Hong, J.I.; Park, S.Y.; Lee, J.H.; Chung, C.J. Risk factors of emergence agitation after general anesthesia in adult patients. Anesth. Pain Med. 2016, 11, 410–416. [Google Scholar] [CrossRef]
- Klabusayová, E.; Musilová, T.; Fabián, D.; Skříšovská, T.; Vafek, V.; Kosinová, M.; Ťoukálková, M.; Vrtková, A.; Klučka, J.; Štourač, P. Incidence of Emergence Delirium in the Pediatric PACU: Prospective Observational Trial. Children 2022, 9, 1591. [Google Scholar] [CrossRef]
- Russell, P.S.S.; Mammen, P.M.; Shankar, S.R.; Viswanathan, S.A.; Rebekah, G.; Russell, S.; Earnest, R.; Chikkala, S.M. Pediatric Anesthesia Emergence Delirium Scale: A diagnostic meta-analysis. World J. Clin. Pediatr. 2022, 11, 196–205. [Google Scholar] [CrossRef]
- Chen, J.Y.; Jia, J.E.; Liu, T.J.; Qin, M.J.; Li, W.X. Comparison of the effects of dexmedetomidine, ketamine, and placebo on emergence agitation after strabismus surgery in children. Can. J. Anaesth. 2013, 60, 385–392. [Google Scholar] [CrossRef]
- Bajwa, S.A.; Costi, D.; Cyna, A.M. A comparison of emergence delirium scales following general anesthesia in children. Paediatr. Anaesth. 2010, 20, 704–711. [Google Scholar] [CrossRef]


| NPO Group (N = 27) | Clear Liquid Group (N = 27) | p | |
|---|---|---|---|
| Age (years) | 4.6 ± 0.8 | 4.7 ± 1.0 | 0.539 * |
| Sex (male/female) | 23/4 | 22/5 | 1.000 † |
| ASA class (1/2) | 25/2 | 26/1 | 1.000 †† |
| Height (cm) | 110.0 ± 6.8 | 110.9 ± 7.0 | 0.648 * |
| Weight (kg) | 19.4 ± 3.6 | 19.4 ± 3.1 | 0.990 * |
| Haller index | 4.5 ± 1.5 | 4.5 ± 1.7 | 0.630 * |
| Symmetry (Y/N) | 24/3 | 23/4 | 1.000 †† |
| Fasting time (min) | |||
| Solid | 613.4 ± 146.9 | 573.4 ± 198.1 | 0.404 * |
| Liquid | 608.9 ± 148.4 | 178.6 ± 149.5 | <0.001 * |
| mYPAS | 19.4 ± 3.6 | 19.4 ± 3.1 | 0.990 * |
| NPO Group | Clear Liquid Group | p | |
|---|---|---|---|
| (N = 27) | (N = 27) | ||
| Operation time (min) | 70.7 ± 18.4 | 70.7 ± 18.7 | 0.994 * |
| Anesthesia time (min) | 102.4 ± 14.2 | 106.4 ± 16.6 | 0.347 * |
| Fluid balance (mL) | 92.4 ± 42.5 | 75.9 ± 30.6 | 0.108 * |
| Sevo (vol%) | 2.3 ± 0.2 | 2.1 ± 0.2 | 0.004 * |
| Remifentanil (mcg/kg/h) | 7.2 ± 6.9 | 4.0 ± 1.6 | 0.030 * |
| Pectus bar length (9/10) | 22/5 | 19/8 | 0.526 † |
| NPO Group (N = 27) | Clear Liquid Group (N = 27) | p | |
|---|---|---|---|
| At recovery unit | |||
| P-ED | 23 (85.2%) | 15 (55.6%) | 0.037 † |
| W-ED | 23 (85.2%) | 14 (51.9%) | 0.019 † |
| Highest PAED | 14.6 ± 2.8 | 11.4 ± 2.8 | <0.001 * |
| Highest FLACC | 6.9 ± 3.3 | 6.1 ± 2.4 | 0.329 * |
| Rescue requirement (0/1/2) | 1/22/4 | 2/14/11 | 0.055 † |
| Rescue fentanyl (mcg/kg) | 0.51 (0.48–0.57) | 0.53 (0.48–0.98) | 0.186 ** |
| At ward | |||
| FPS 1–6 h | 6.0 (5.0–6.0) | 4.0 (2.0–6.0) | 0.003 ** |
| FPS 6–12 h | 5.2 ± 1.4 1.6 | 4.0 ± 1.9 | 0.011 * |
| FPS 12–24 h | 4.8 ± 1.4 | 3.0 ± 1.7 | <0.001 * |
| Cumulative opioid requirement | |||
| 1–6 h (mcg/kg) | 1.0 (0.5–2.2) | 0.5 (0.2–1.0) | 0.039 ** |
| 1–12 h (mcg/kg) | 3.2 ± 1.9 | 2.3 ± 1.4 | 0.046 * |
| 1–24 h (mcg/kg) | 5.1 ± 2.8 | 3.9 ± 2.5 | 0.117 * |
Disclaimer/Publisher’s Note: The statements, opinions and data contained in all publications are solely those of the individual author(s) and contributor(s) and not of MDPI and/or the editor(s). MDPI and/or the editor(s) disclaim responsibility for any injury to people or property resulting from any ideas, methods, instructions or products referred to in the content. |
© 2024 by the authors. Licensee MDPI, Basel, Switzerland. This article is an open access article distributed under the terms and conditions of the Creative Commons Attribution (CC BY) license (https://creativecommons.org/licenses/by/4.0/).
Share and Cite
Huh, J.; Koo, J.-M.; Kim, M.; Choi, H.; Park, H.-J.; Rim, G.-M.; Hwang, W. Effect of Preoperative Clear Liquid Consumption on Postoperative Recovery in Pediatric Patients Undergoing Minimally Invasive Repair of Pectus Excavatum: A Prospective Randomized Controlled Study. J. Clin. Med. 2024, 13, 3593. https://doi.org/10.3390/jcm13123593
Huh J, Koo J-M, Kim M, Choi H, Park H-J, Rim G-M, Hwang W. Effect of Preoperative Clear Liquid Consumption on Postoperative Recovery in Pediatric Patients Undergoing Minimally Invasive Repair of Pectus Excavatum: A Prospective Randomized Controlled Study. Journal of Clinical Medicine. 2024; 13(12):3593. https://doi.org/10.3390/jcm13123593
Chicago/Turabian StyleHuh, Jaewon, Jung-Min Koo, Minju Kim, Hoon Choi, Hyung-Joo Park, Gong-Min Rim, and Wonjung Hwang. 2024. "Effect of Preoperative Clear Liquid Consumption on Postoperative Recovery in Pediatric Patients Undergoing Minimally Invasive Repair of Pectus Excavatum: A Prospective Randomized Controlled Study" Journal of Clinical Medicine 13, no. 12: 3593. https://doi.org/10.3390/jcm13123593
APA StyleHuh, J., Koo, J.-M., Kim, M., Choi, H., Park, H.-J., Rim, G.-M., & Hwang, W. (2024). Effect of Preoperative Clear Liquid Consumption on Postoperative Recovery in Pediatric Patients Undergoing Minimally Invasive Repair of Pectus Excavatum: A Prospective Randomized Controlled Study. Journal of Clinical Medicine, 13(12), 3593. https://doi.org/10.3390/jcm13123593

