Changes in Muscle Mass and Strength in Adolescents Following High-Intensity Functional Training with Bodyweight Resistance Exercises in Physical Education Lessons
Abstract
1. Introduction
2. Materials and Methods
2.1. Ethics
2.2. Participants
2.3. Intervention
2.4. Physical Assessment
2.4.1. Body Morphology: Muscle Mass Assessment
2.4.2. Hand–Grip Strength (HGS)
2.4.3. Sit-Ups (SU)
2.4.4. Standing Broad Jump (SBJ)
2.5. Statistics
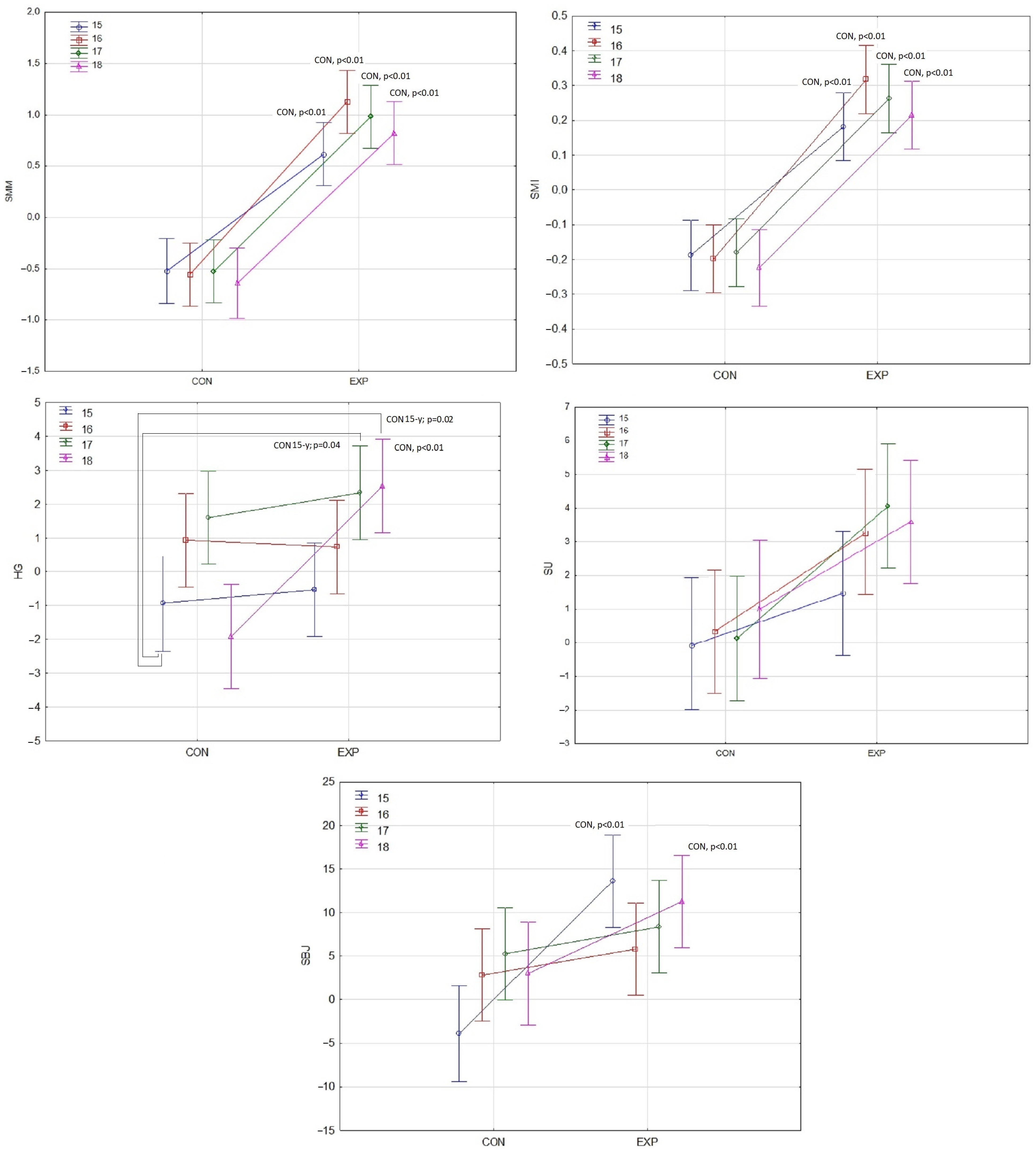
3. Results
| Outcomes | 15y-EG, n = 15 | 16y-EG, n = 14 | 17y-EG, n = 15 | 18 y-EG, n = 15 | 15 y-CG, n = 15 | 16 y-CG, n = 15 | 17 y-CG, n = 15 | 18 y-CG, n = 12 | 
|---|---|---|---|---|---|---|---|---|
| Statistics | Mean ± SD (95%CI) | |||||||
| BH [cm] | 173.4 ± 6.8 | 179.6 ± 7.8 | 179.6 ± 5.2 | 179.2 ± 6.2 | 172.5 ± 6.2 | 178.1 ± 4.8 | 180.4 ± 3 | 180.5 ± 5 | 
| (169.6–177.1) | (175.2–183.9) | (176.7–182.5) | (175.8–182.7) | (168.9–176.1) | (175.4–180.8) | (178.8–182.1) | (177.3–183.6) | |
| Δ BH [cm] | 0.3 ± 0.4 | 0.4 ± 0.4 | 0.5 ± 0.5 | 0.4 ± 0.5 | 0.2 ± 0.2 | 0.2 ± 0.2 | 0.2 ± 0.3 | 0.3 ± 0.3 | 
| (0.1–0.5) | (0.2–0.6) | (0.2–0.8) | (0.1–0.7) | (0.1–0.3) | (0.1–0.3) | (0.1–0.4) | (0.1–0.5) | |
| BW [kg] | 73.5 ± 13.5 | 72.2 ± 9.9 | 70.8 ± 6.6 | 73.3 ± 12.5 | 65.7 ± 9 | 74.3 ± 10.4 | 68.3 ± 5.6 | 65.9 ± 6.9 | 
| (66–80.9) | (66.8–77.7) | (67.1–74.4) | (66.4–80.1) | (60.5–70.9) | (68.6–80) | (65.2–71.4) | (61.5–70.3) | |
| Δ BW [kg] | 0.0 ± 1.1 | −0.2 ± 1.9 | −0.2 ± 1.6 | 0.2 ± 1.2 | 0.5 ± 0.5 | −0.4 ± 1.3 | 0.1 ± 0.6 | 1.1 ± 1.4 | 
| (−0.6–0.6) | (−1.3–0.9) | (−1.1–0.7) | (−0.4–0.8) | (0.2–0.7) | (−1.1–0.3) | (−0.2–0.4) | (0.2–2) | |
| BMI [kg/m2] | 24.3 ± 3.5 | 22.4 ± 2.7 | 21.9 ± 1.8 | 22.8 ± 3.7 | 22.1 ± 3 | 23.5 ± 3.5 | 21 ± 1.6 | 20.2 ± 1.7 | 
| (22.4–26.3) | (20.9–23.9) | (21–22.9) | (20.7–24.8) | (20.4–23.8) | (21.5–25.4) | (20.1–21.8) | (19.1–21.3) | |
| Δ BMI [kg/m2] | −0.3 ± 0.8 | −0.1 ± 0.6 | −0.2 ± 0.5 | −0.1 ± 0.4 | 0.1 ± 0.2 | −0.2 ± 0.4 | 0 ± 0.2 | 0.3 ± 0.4 | 
| (−0.7–0.2) | (−0.5–0.2) | (−0.4–0.1) | (−0.3–0.1) | (0–0.2) | (−0.4–0.0) | (−0.1–0.1) | (0–0.5) | |
| SMM [kg] | 24.3 ± 3.6 | 24.8 ± 2.7 | 25.1 ± 2 | 25.7 ± 2.8 | 24.2 ± 3.9 | 27 ± 2.8 | 26.2 ± 2.1 | 26.4 ± 2.7 | 
| (22.3–26.3) | (23.3–26.3) | (24–26.2) | (24.1–27.3) | (22–26.5) | (25.5–28.6) | (25–27.3) | (24.8–28.1) | |
| Δ SMM [kg] | 0.6 ± 0.8 | 1.1 ± 0.7 | 1.0 ± 0.6 | 0.8.0 ± 0.6 | −0.5 ± 0.4 | −0.6 ± 0.6 | −0.5 ± 0.5 | −0.6 ± 0.6 | 
| (0.2–1.1) | (0.8–1.5) | (0.7–1.3) | (0.5–1.1) | (−0.7–−0.3) | (−0.9–−0.3) | (−0.8–−0.2) | (−1–−0.2) | |
| SMI [kg/m2] | 8.1 ± 0.8 | 7.7 ± 0.6 | 7.8 ± 0.6 | 8 ± 0.6 | 8.1 ± 1 | 8.5 ± 1.1 | 8.0 ± 0.6 | 8.1 ± 0.7 | 
| (7.6–8.5) | (7.3–8) | (7.5–8.1) | (7.7–8.3) | (7.5–8.7) | (8–9.1) | (7.7–8.4) | (7.6–8.6) | |
| Δ SMI [kg/m2] | 0.2 ± 0.3 | 0.3 ± 0.2 | 0.3 ± 0.2 | 0.2 ± 0.2 | −0.2 ± 0.1 | −0.2 ± 0.2 | −0.2 ± 0.2 | −0.2 ± 0.2 | 
| (0–0.3) | (0.2–0.4) | (0.2–0.4) | (0.1–0.3) | (−0.3–−0.1) | (−0.3–−0.1) | (−0.3–−0.1) | (−0.4–−0.1) | |
| HGS [kg] | 43.2 ± 10.9 | 48.7 ± 8.4 | 46.7 ± 8.2 | 54.3 ± 9.4 | 36.2 ± 7.8 | 45.6 ± 7.9 | 48 ± 5.9 | 51.9 ± 7 | 
| (37.2–49.2) | (44–53.3) | (42.1–51.2) | (49.1–59.5) | (31.7–40.7) | (41.3–49.9) | (44.7–51.3) | (47.5–56.3) | |
| Δ HGS [kg] | −0.5 ± 2.1 | 0.7 ± 2.4 | 2.3 ± 2.7 | 2.5 ± 2.6 | −0.9 ± 3.7 | 0.9 ± 2.8 | 1.6 ± 2.6 | −1.9 ± 2.1 | 
| (−1.7–0.6) | (−0.6–2.1) | (0.8–3.8) | (1.1–4) | (−3.1–1.2) | (−0.6–2.5) | (0.2–3.0) | (−3.3–−0.6) | |
| SU [reps/30 s] | 22.3 ± 5.1 | 24.3 ± 4.2 | 25.3 ± 5.2 | 23.7 ± 5.0 | 23.6 ± 3.4 | 25.4 ± 4.4 | 25.3 ± 4.9 | 22.6 ± 4.8 | 
| (19.5–25.1) | (21.9–26.6) | (22.5–28.2) | (21–26.5) | (21.6–25.5) | (23–27.8) | (22.6–28) | (19.5–25.6) | |
| Δ SU [reps/30 s] | 1.5 ± 2.5 | 3.3 ± 5.1 | 4.1 ± 3.9 | 3.6 ± 4.3 | −0.1 ± 1.6 | 0.3 ± 2.3 | 0.1 ± 4.8 | 1 ± 2.1 | 
| (0.1–2.8) | (0.4–6.1) | (1.9–6.2) | (1.2–6.0) | (−1.0–0.8) | (−1.0–1.6) | (−2.5–2.8) | (−0.4–2.4) | |
| SBJ [cm] | 186.7 ± 28.4 | 197.5 ± 25.7 | 201.9 ± 30.7 | 205.9 ± 27.5 | 188.3 ± 25.3 | 198.3 ± 35.4 | 192.5 ± 18.6 | 202.3 ± 23.3 | 
| (171–202.4) | (183.3–211.8) | (184.9–218.9) | (190.7–221.2) | (173.7–202.9) | (178.7–217.9) | (182.2–202.9) | (187.5–217.2) | |
| Δ SBJ [cm] | 13.6 ± 14.4 | 5.8 ± 10.8 | 8.3 ± 12.9 | 11.3 ± 11.5 | −3.9 ± 8.4 | 2.8 ± 5.9 | 5.3 ± 5.6 | 3.0 ± 9.4 | 
| (5.6–21.6) | (−0.2–11.8) | (1.2–15.5) | (4.9–17.6) | (−8.8–0.9) | (−0.5–6.1) | (2.2–8.4) | (−3.0–9.0) | |
4. Discussion
5. Conclusions
Author Contributions
Funding
Institutional Review Board Statement
Informed Consent Statement
Data Availability Statement
Acknowledgments
Conflicts of Interest
References
- Jebeile, H.; Kelly, A.S.; O’Malley, G.; Baur, L.A. Obesity in children and adolescents: Epidemiology, causes, assessment, and management. Lancet Diabetes Endocrinol. 2022, 10, 351–365. [Google Scholar] [CrossRef] [PubMed]
 - Singh, A.S.; Mulder, C.; Twisk, J.W.; Van Mechelen, W.; Chinapaw, M.J. Tracking of childhood overweight into adulthood: A systematic review of the literature. Obes. Rev. 2008, 9, 474–488. [Google Scholar] [CrossRef] [PubMed]
 - Abdullah, A.; Wolfe, R.; Stoelwinder, J.U.; De Courten, M.; Stevenson, C.; Walls, H.L.; Peeters, A. The number of years lived with obesity and the risk of all-cause and cause-specific mortality. Int. J. Epidemiol. 2011, 40, 985–996. [Google Scholar] [CrossRef] [PubMed]
 - Shaban Mohamed, M.A.; AbouKhatwa, M.M.; Saifullah, A.A.; Hareez Syahmi, M.; Mosaad, M.; Elrggal, M.E.; Dehele, I.S.; Elnaem, M.H. Risk factors, clinical consequences, prevention, and treatment of childhood obesity. Children 2022, 9, 1975. [Google Scholar] [CrossRef] [PubMed]
 - Faigenbaum, A.D.; Ratamess, N.A.; Kang, J.; Bush, J.A.; Rebullido, T.R. May the force be with youth: Foundational strength for lifelong development. Curr. Sports Med. Rep. 2023, 22, 414–422. [Google Scholar] [CrossRef]
 - Duarte Junior, M.A.; Gaya, A.R.; Mello, J.B.; Faigenbaum, A.D.; García-Hermoso, A.; López-Gil, J.F. Meeting muscle-strengthening recommendation is associated with lower adiposity, higher physical fitness and healthier lifestyle in adolescents: The EHDLA study. Acta Paediatr. 2024, 113, 1059–1067. [Google Scholar] [CrossRef]
 - Meng, C.; Yucheng, T.; Shu, L.; Yu, Z. Effects of school-based high-intensity interval training on body composition, cardiorespiratory fitness and cardiometabolic markers in adolescent boys with obesity: A randomized controlled trial. BMC Pediatr. 2022, 22, 112. [Google Scholar] [CrossRef]
 - Liu, Y.; Wadey, C.A.; Barker, A.R.; Williams, C.A. Process evaluation of school-based high-intensity interval training interventions for children and adolescents: A systematic review and meta-analysis of randomized controlled trials. BMC Public Health 2024, 24, 348. [Google Scholar] [CrossRef]
 - Quitério, A.L.D. School physical education: The effectiveness of health-related interventions and recommendations for health-promotion practice. Health Educ. J. 2013, 72, 716–732. [Google Scholar] [CrossRef]
 - Domaradzki, J.; Koźlenia, D.; Popowczak, M. Prevalence of positive effects on body fat percentage, cardiovascular parameters, and cardiorespiratory fitness after 10-week high-intensity interval training in adolescents. Biology 2022, 11, 424. [Google Scholar] [CrossRef]
 - Zhao, M.; Liu, S.; Han, X.; Li, Z.; Liu, B.; Chen, J.; Li, X. School-based comprehensive strength training interventions to improve muscular fitness and perceived physical competence in Chinese male adolescents. BioMed Res. Int. 2022, 2022, 7464815. [Google Scholar] [CrossRef] [PubMed]
 - Costigan, S.A.; Eather, N.; Plotnikoff, R.; Taaffe, D.R.; Lubans, D.R. High-intensity interval training for improving health-related fitness in adolescents: A systematic review and meta-analysis. Br. J. Sports Med. 2015, 49, 1253–1261. [Google Scholar] [CrossRef] [PubMed]
 - Álvarez, C.; Cadore, E.; Gaya, A.R.; Mello, J.B.; Reuter, C.P.; Delgado-Floody, P.; Ramos-Sepúlveda, J.A.; Carrillo, H.A.; Devia, D.G.; Ramírez-Vélez, R. Associations of cardiorespiratory fitness and obesity parameters with blood pressure: Fitness and fatness in youth Latin-American ethnic minority. Ethn. Health 2022, 27, 1058–1074. [Google Scholar] [CrossRef] [PubMed]
 - Feito, Y.; Heinrich, K.M.; Butcher, S.J.; Poston, W.S.C. High-intensity functional training (HIFT): Definition and research implications for improved fitness. Sports 2018, 6, 76. [Google Scholar] [CrossRef] [PubMed]
 - Heinrich, K.M.; Becker, C.; Carlisle, T.; Gilmore, K.; Hauser, J.; Frye, J.; Harms, C. High-intensity functional training improves functional movement and body composition among cancer survivors: A pilot study. Eur. J. Cancer Care 2015, 24, 812–817. [Google Scholar] [CrossRef] [PubMed]
 - Heinrich, K.M.; Spencer, V.; Fehl, N.; Carlos Poston, W.S. Mission essential fitness: Comparison of functional circuit training to traditional Army physical training for active duty military. Mil. Med. 2012, 177, 1125–1130. [Google Scholar] [CrossRef]
 - Murawska-Cialowicz, E.; Wojna, J.; Zuwala-Jagiello, J. Crossfit training changes brain-derived neurotrophic factor and irisin levels at rest, after wingate and progressive tests, and improves aerobic capacity and body composition of young physically active men and women. J. Physiol. Pharmacol. 2015, 66, 811–821. [Google Scholar] [PubMed]
 - Liao, T.; Duhig, S.J.; Du, G.; Luo, B.; Wang, Y.T. The effect of a functional strength training intervention on movement quality and physical fitness in adolescents. Percept. Mot. Ski. 2022, 129, 176–194. [Google Scholar] [CrossRef]
 - Stricker, P.R.; Faigenbaum, A.D.; McCambridge, T.M.; LaBella, C.R.; Brooks, M.A.; Canty, G.; Diamond, A.B.; Hennrikus, W.; Logan, K.; Moffatt, K. Resistance training for children and adolescents. Pediatrics 2020, 145, e20201011. [Google Scholar] [CrossRef]
 - Brisebois, M.; Kamla, J.; Wu, C.-T.; Goins, J. Strategies for implementing high-intensity functional training into high school Physical Education. J. Phys. Educ. Recreat. Danc. 2021, 92, 35–52. [Google Scholar] [CrossRef]
 - Gentil, P.; Lira, C.A.B.d.; Vancini, R.L.; Ramirez-Campillo, R.; Souza, D. High-Intensity Multimodal Training for Young People: It’s Time to Think Inside the Box! Front. Physiol. 2021, 12, 723486. [Google Scholar] [CrossRef] [PubMed]
 - Faigenbaum, A.D.; Lloyd, R.S.; Myer, G.D. Youth resistance training: Past practices, new perspectives, and future directions. Pediatr. Exerc. Sci. 2013, 25, 591–604. [Google Scholar] [CrossRef] [PubMed]
 - Feito, Y.; Hoffstetter, W.; Serafini, P.; Mangine, G. Changes in body composition, bone metabolism, strength, and skill-specific performance resulting from 16-weeks of HIFT. PLoS ONE 2018, 13, e0198324. [Google Scholar] [CrossRef] [PubMed]
 - Malina, R.; Králík, M.; Kozieł, S.M.; Cumming, S.; Konarski, J.; Sousa-E-Silva, P.; Martinho, D.; Figueiredo, A.J.; Coelho-E-Silva, M. Ages at peak height velocity in male soccer players 11-16 years: Relationships with skeletal age and comparisons among longitudinal studies. Biol. Sport 2024, 41, 135–144. [Google Scholar] [CrossRef] [PubMed]
 - Malina, R.M.; Coelho-E-Silva, M.J.; Martinho, D.V.; Sousa-E-Siva, P.; Figueiredo, A.J.; Cumming, S.P.; Kralik, M.; Koziel, S.M. Observed and predicted ages at peak height velocity in soccer players. PLoS ONE 2021, 16, e0254659. [Google Scholar] [CrossRef] [PubMed]
 - Ke, D.; Lu, D.; Cai, G.; Wang, X.; Zhang, J.; Suzuki, K. Chronological and Skeletal Age in Relation to Physical Fitness Performance in Preschool Children. Front. Pediatr. 2021, 9, 641353. [Google Scholar] [CrossRef]
 - Myers, A.M.; Beam, N.W.; Fakhoury, J.D. Resistance training for children and adolescents. Transl. Pediatr. 2017, 6, 137. [Google Scholar] [CrossRef] [PubMed]
 - Cvetković, N.; Stojanović, E.; Stojiljković, N.; Nikolić, D.; Scanlan, A.; Milanović, Z. Exercise training in overweight and obese children: Recreational football and high-intensity interval training provide similar benefits to physical fitness. Scand. J. Med. Sci. Sports 2018, 28, 18–32. [Google Scholar] [CrossRef] [PubMed]
 - Duncombe, S.L.; Stylianou, M.; Price, L.; Walker, J.L.; Barker, A.R. Making a HIIT: Methods for quantifying intensity in high-intensity interval training in schools and validity of session rating of perceived exertion. J. Sports Sci. 2023, 41, 1678–1686. [Google Scholar] [CrossRef]
 - Marfell, M.; Olds, T.; Stewart, A.; Carter, L. International Standards for Anthropometric Assessment; International Society for the Advancement of Kinanthropometry: Potchefstroom, South Africa, 2006. [Google Scholar]
 - McLester, C.N.; Nickerson, B.S.; Kliszczewicz, B.M.; McLester, J.R. Reliability and agreement of various InBody body composition analyzers as compared to dual-energy X-ray absorptiometry in healthy men and women. J. Clin. Densitom. 2020, 23, 443–450. [Google Scholar] [CrossRef]
 - Koch, B.; Miller, A.; Glass, N.A.; Owen, E.; Kirkpatrick, T.; Grossman, R.; Leary, S.M.; Davison, J.; Willey, M.C. Reliability of multifrequency bioelectrical impedance analysis to quantify body composition in patients after musculoskeletal trauma. Iowa Orthop. J. 2022, 42, 75. [Google Scholar] [PubMed]
 - Ortega, F.B.; Ruiz, J.R.; Castillo, M.J.; Sjöström, M. Physical fitness in childhood and adolescence: A powerful marker of health. Int. J. Obes. 2008, 32, 1–11. [Google Scholar] [CrossRef] [PubMed]
 - França, C.; Marques, A.; Ihle, A.; Nuno, J.; Campos, P.; Gonçalves, F.; Martins, J.; Gouveia, É. Associations between muscular strength and vertical jumping performance in adolescent male football players. Hum. Mov. 2023, 24, 94–100. [Google Scholar] [CrossRef]
 - Maestroni, L.; Read, P.; Bishop, C.; Papadopoulos, K.; Suchomel, T.J.; Comfort, P.; Turner, A. The benefits of strength training on musculoskeletal system health: Practical applications for interdisciplinary care. Sports Med. 2020, 50, 1431–1450. [Google Scholar] [CrossRef] [PubMed]
 - Ben-Zeev, T.; Hirsh, T.; Weiss, I.; Gornstein, M.; Okun, E. The effects of high-intensity functional training (HIFT) on spatial learning, visual pattern separation and attention span in adolescents. Front. Behav. Neurosci. 2020, 14, 577390. [Google Scholar] [CrossRef] [PubMed]
 - Ángel Latorre-Román, P.; Berrios-Aguayo, B.; Aragón-Vela, J.; Pantoja-Vallejo, A. Effects of a 10-week active recess program in school setting on physical fitness, school aptitudes, creativity and cognitive flexibility in elementary school children. A randomised-controlled trial. J. Sports Sci. 2021, 39, 1277–1286. [Google Scholar] [CrossRef] [PubMed]
 - Valstad, S.A.; von Heimburg, E.; Welde, B.; van den Tillaar, R. Comparison of long and short high-intensity interval exercise bouts on running performance, physiological and perceptual responses. Sports Med. Int. Open 2018, 2, E20–E27. [Google Scholar] [CrossRef] [PubMed]
 - Wang, X.; Soh, K.G.; Samsudin, S.; Deng, N.; Liu, X.; Zhao, Y.; Akbar, S. Effects of high-intensity functional training on physical fitness and sport-specific performance among the athletes: A systematic review with meta-analysis. PLoS ONE 2023, 18, e0295531. [Google Scholar] [CrossRef] [PubMed]
 - Batacan, R.B.; Duncan, M.J.; Dalbo, V.J.; Tucker, P.S.; Fenning, A.S. Effects of high-intensity interval training on cardiometabolic health: A systematic review and meta-analysis of intervention studies. Br. J. Sports Med. 2017, 51, 494–503. [Google Scholar] [CrossRef] [PubMed]
 - Chang, Y.-H.; Chou, Y.-C.; Chang, Y.-C.; Tan, K.-H.; Wu, M.-H. The Effects of High-Intensity Power Training versus Traditional Resistance Training on Exercise Performance. Int. J. Environ. Res. Public Health 2022, 19, 9400. [Google Scholar] [CrossRef]
 - Gavanda, S.; Isenmann, E.; Geisler, S.; Faigenbaum, A.; Zinner, C. The Effects of High-Intensity Functional Training Compared with Traditional Strength or Endurance Training on Physical Performance in Adolescents: A Randomized Controlled Trial. J. Strength Cond. Res. 2022, 36, 624–632. [Google Scholar] [CrossRef] [PubMed]
 - Engel, F.A.; Wagner, M.O.; Schelhorn, F.; Deubert, F.; Leutzsch, S.; Stolz, A.; Sperlich, B. Classroom-based micro-sessions of functional high-intensity circuit training enhances functional strength but not cardiorespiratory fitness in school children—A feasibility study. Front. Public Health 2019, 7, 291. [Google Scholar] [CrossRef]
 - Agostinis-Sobrinho, C.; Abreu, S.; Moreira, C.; Lopes, L.; García-Hermoso, A.; Ramírez-Vélez, R.; Correa-Bautista, J.E.; Mota, J.; Santos, R. Muscular fitness, adherence to the Southern European Atlantic Diet and cardiometabolic risk factors in adolescents. Nutr. Metab. Cardiovasc. Dis. 2017, 27, 695–702. [Google Scholar] [CrossRef] [PubMed]
 - Abarzúa, J.; Viloff, W.; Bahamondes, J.; Olivera, Y.; Poblete-Aro, C.; Herrera-Valenzuela, T.; Oliva, C.; García-Díaz, D.F. Efectividad de ejercicio físico intervalado de alta intensidad en las mejoras del fitness cardiovascular, muscular y composición corporal en adolescentes: Una revisión. Rev. Médica de Chile 2019, 147, 221–230. [Google Scholar] [CrossRef] [PubMed]
 - Cao, M.; Quan, M.; Zhuang, J. Effect of high-intensity interval training versus moderate-intensity continuous training on cardiorespiratory fitness in children and adolescents: A meta-analysis. Int. J. Environ. Res. Public Health 2019, 16, 1533. [Google Scholar] [CrossRef] [PubMed]
 - Blue, M.N.; Smith-Ryan, A.E.; Trexler, E.T.; Hirsch, K.R. The effects of high intensity interval training on muscle size and quality in overweight and obese adults. J. Sci. Med. Sport 2018, 21, 207–212. [Google Scholar] [CrossRef] [PubMed]
 - Teixeira, R.; de Matos, D.G.; Da Silva, L.; Aidar, F.; Cabral, B.D.A.T. Behaviour of training loads and physical performance during a period of 6 weeks in high-intensity functional training practitioners. Hum. Mov. 2023, 24, 59–69. [Google Scholar] [CrossRef]
 - Zurlo, F.; Larson, K.; Bogardus, C.; Ravussin, E. Skeletal muscle metabolism is a major determinant of resting energy expenditure. J. Clin. Investig. 1990, 86, 1423–1427. [Google Scholar] [CrossRef] [PubMed]
 - Wind, A.E.; Takken, T.; Helders, P.J.; Engelbert, R.H. Is grip strength a predictor for total muscle strength in healthy children, adolescents, and young adults? Eur. J. Pediatr. 2010, 169, 281–287. [Google Scholar] [CrossRef]
 - Peterson, M.D.; Gordon, P.M.; Smeding, S.; Visich, P. Grip strength is associated with longitudinal health maintenance and improvement in adolescents. J. Pediatr. 2018, 202, 226–230. [Google Scholar] [CrossRef]
 - Brisebois, M.F.; Rigby, B.R.; Nichols, D.L. Physiological and fitness adaptations after eight weeks of high-intensity functional training in physically inactive adults. Sports 2018, 6, 146. [Google Scholar] [CrossRef]
 - Crawford, D.A.; Drake, N.B.; Carper, M.J.; DeBlauw, J.; Heinrich, K.M. Are changes in physical work capacity induced by high-intensity functional training related to changes in associated physiologic measures? Sports 2018, 6, 26. [Google Scholar] [CrossRef] [PubMed]
 - Sobrero, G.; Arnett, S.; Schafer, M.; Stone, W.; Tolbert, T.; Salyer-Funk, A.; Crandall, J.; Farley, L.B.; Brown, J.; Lyons, S. A comparison of high intensity functional training and circuit training on health and performance variables in women: A pilot study. Women Sport Phys. Act. J. 2017, 25, 1–10. [Google Scholar] [CrossRef]
 - Sperlich, B.; Wallmann-Sperlich, B.; Zinner, C.; Von Stauffenberg, V.; Losert, H.; Holmberg, H.-C. Functional high-intensity circuit training improves body composition, peak oxygen uptake, strength, and alters certain dimensions of quality of life in overweight women. Front. Physiol. 2017, 8, 172. [Google Scholar] [CrossRef]
 - Eather, N.; Morgan, P.J.; Lubans, D.R. Improving health-related fitness in adolescents: The CrossFit Teens™ randomised controlled trial. J. Sports Sci. 2016, 34, 209–223. [Google Scholar] [CrossRef] [PubMed]
 - Alvarez, C.; Ramírez-Campillo, R.; Ramírez-Vélez, R.; Izquierdo, M. Effects of 6-weeks high-intensity interval training in schoolchildren with insulin resistance: Influence of biological maturation on metabolic, body composition, cardiovascular and performance non-responses. Front. Physiol. 2017, 8, 272247. [Google Scholar] [CrossRef] [PubMed]
 - Gryko, K.; Adamczyk, J.G.; Kopiczko, A.; Calvo, J.L.; Calvo, A.L.; Mikołajec, K. Does predicted age at peak height velocity explain physical performance in U13–15 basketball female players? BMC Sports Sci. Med. Rehabil. 2022, 14, 21. [Google Scholar] [CrossRef]
 - Domaradzki, J.; Koźlenia, D.; Popowczak, M. The Relative Importance of Age at Peak Height Velocity and Fat Mass Index in High-Intensity Interval Training Effect on Cardiorespiratory Fitness in Adolescents: A Randomized Controlled Trial. Children 2022, 9, 1554. [Google Scholar] [CrossRef] [PubMed]
 - Bayraktar, I.; Bayrakdar, A. Normative Values for Evaluation of Children Physical Education Level: According to Chronological Age or Biological Age? Afr. Educ. Res. J. 2020, 8, S26–S36. [Google Scholar]
 - Perri, M.G.; Anton, S.D.; Durning, P.E.; Ketterson, T.U.; Sydeman, S.J.; Berlant, N.E.; Kanasky Jr, W.F.; Newton Jr, R.L.; Limacher, M.C.; Martin, A.D. Adherence to exercise prescriptions: Effects of prescribing moderate versus higher levels of intensity and frequency. Health Psychol. 2002, 21, 452. [Google Scholar] [CrossRef]
 - Batrakoulis, A.; Fatouros, I.G. Psychological Adaptations to High-Intensity Interval Training in Overweight and Obese Adults: A Topical Review. Sports 2022, 10, 64. [Google Scholar] [CrossRef] [PubMed]
 - Batrakoulis, A.; Jamurtas, A.Z.; Metsios, G.S.; Perivoliotis, K.; Liguori, G.; Feito, Y.; Riebe, D.; Thompson, W.R.; Angelopoulos, T.J.; Krustrup, P.; et al. Comparative efficacy of 5 exercise types on cardiometabolic health in overweight and obese adults: A systematic review and network meta-analysis of 81 randomized controlled trials. Circ. Cardiovasc. Qual. Outcomes 2022, 15, e008243. [Google Scholar] [CrossRef] [PubMed]
 


| Statistics | Δ SMM [kg] | Δ SMI [kg/m2] | Δ HGS [kg] | Δ SU [Reps/30 s] | Δ SBJ [cm] | ||||||||||
|---|---|---|---|---|---|---|---|---|---|---|---|---|---|---|---|
| F | p | η2p | F | p | η2p | F | p | η2p | F | p | η2p | F | p | η2p | |
| Condition | 168.38 | 0.01 | 0.61 | 154.13 | <0.01 | 0.59 | 7.2 | 0.01 | 0.06 | 16.9 | <0.01 | 0.14 | 17.1 | <0.01 | 0.14 | 
| Age category | 1.01 | 0.39 | 0.03 | 0.82 | 0.48 | 0.02 | 5.12 | <0.01 | 0.12 | 1.13 | 0.34 | 0.03 | 0.53 | 0.66 | 0.01 | 
| Condition—Age category | 1.07 | 0.37 | 0.03 | 0.72 | 0.54 | 0.02 | 4.2 | 0.01 | 0.10 | 0.56 | 0.65 | 0.02 | 3.19 | 0.03 | 0.08 | 
Disclaimer/Publisher’s Note: The statements, opinions and data contained in all publications are solely those of the individual author(s) and contributor(s) and not of MDPI and/or the editor(s). MDPI and/or the editor(s) disclaim responsibility for any injury to people or property resulting from any ideas, methods, instructions or products referred to in the content.  | 
© 2024 by the authors. Licensee MDPI, Basel, Switzerland. This article is an open access article distributed under the terms and conditions of the Creative Commons Attribution (CC BY) license (https://creativecommons.org/licenses/by/4.0/).
Share and Cite
Koźlenia, D.; Popowczak, M.; Szafraniec, R.; Alvarez, C.; Domaradzki, J. Changes in Muscle Mass and Strength in Adolescents Following High-Intensity Functional Training with Bodyweight Resistance Exercises in Physical Education Lessons. J. Clin. Med. 2024, 13, 3400. https://doi.org/10.3390/jcm13123400
Koźlenia D, Popowczak M, Szafraniec R, Alvarez C, Domaradzki J. Changes in Muscle Mass and Strength in Adolescents Following High-Intensity Functional Training with Bodyweight Resistance Exercises in Physical Education Lessons. Journal of Clinical Medicine. 2024; 13(12):3400. https://doi.org/10.3390/jcm13123400
Chicago/Turabian StyleKoźlenia, Dawid, Marek Popowczak, Rafał Szafraniec, Cristian Alvarez, and Jarosław Domaradzki. 2024. "Changes in Muscle Mass and Strength in Adolescents Following High-Intensity Functional Training with Bodyweight Resistance Exercises in Physical Education Lessons" Journal of Clinical Medicine 13, no. 12: 3400. https://doi.org/10.3390/jcm13123400
APA StyleKoźlenia, D., Popowczak, M., Szafraniec, R., Alvarez, C., & Domaradzki, J. (2024). Changes in Muscle Mass and Strength in Adolescents Following High-Intensity Functional Training with Bodyweight Resistance Exercises in Physical Education Lessons. Journal of Clinical Medicine, 13(12), 3400. https://doi.org/10.3390/jcm13123400
        
