No Evidence of Chronic Infection in a Metagenomic Sequencing Study of the Keratoconus Corneal Epithelium
Abstract
1. Introduction
2. Materials and Methods
2.1. Sample Preparation
2.2. Metagenomic Next-Generation Sequencing
2.3. Bioinformatics
2.4. Statistical Analysis
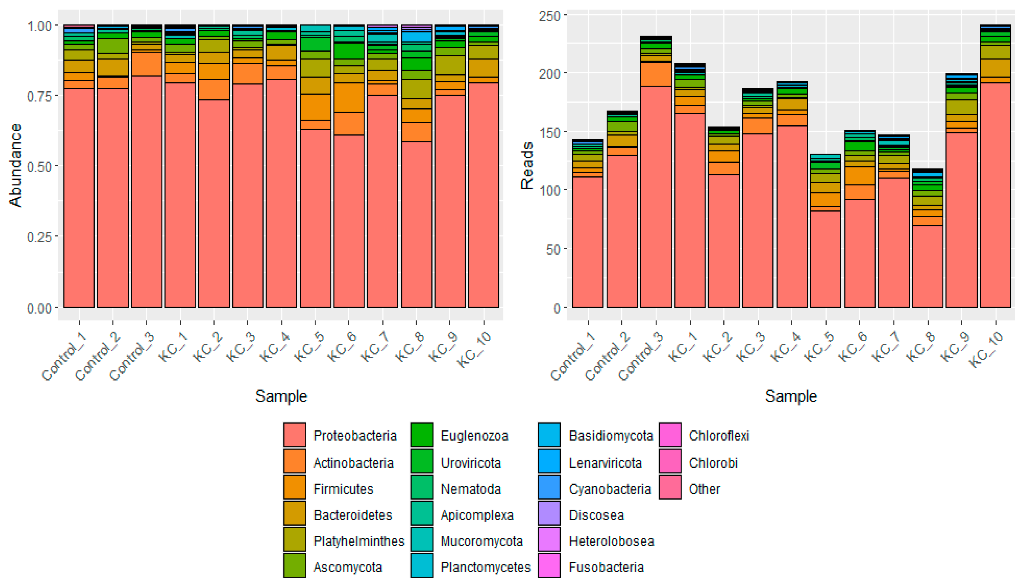
3. Results
4. Discussion
Author Contributions
Funding
Institutional Review Board Statement
Informed Consent Statement
Data Availability Statement
Conflicts of Interest
References
- Gomes, J.A.; Tan, D.; Rapuano, C.J.; Belin, M.W.; Ambrosio, R., Jr.; Guell, J.L.; Malecaze, F.; Nishida, K.; Sangwan, V.S.; Group of Panelists for the Global Delphi Panel of Keratoconus and Ectatic Diseases. Global consensus on keratoconus and ectatic diseases. Cornea 2015, 34, 359–369. [Google Scholar] [CrossRef] [PubMed]
 - D’Oria, F.; Bagaglia, S.A.; Alio Del Barrio, J.L.; Alessio, G.; Alio, J.L.; Mazzotta, C. Refractive surgical correction and treatment of keratoconus. Surv. Ophthalmol. 2024, 69, 122–139. [Google Scholar] [CrossRef] [PubMed]
 - Godefrooij, D.A.; de Wit, G.A.; Uiterwaal, C.S.; Imhof, S.M.; Wisse, R.P. Age-specific Incidence and Prevalence of Keratoconus: A Nationwide Registration Study. Am. J. Ophthalmol. 2017, 175, 169–172. [Google Scholar] [CrossRef] [PubMed]
 - Galvis, V.; Tello, A.; Barrera, R.; Niño, C.A. Inflammation in Keratoconus. Cornea 2015, 34, e22–e23. [Google Scholar] [CrossRef] [PubMed]
 - Ferrari, G.; Rama, P. The keratoconus enigma: A review with emphasis on pathogenesis. Ocul. Surf. 2020, 18, 363–373. [Google Scholar] [CrossRef] [PubMed]
 - Ben-Shaul, O.; Segal, A.; Schwartz, S.; Stein, N.; Hyams, M.; Saliba, W.; Mimouni, M. Factors associated with keratoconus in Israel—A cross-sectional population-based study. Acta Ophthalmol. 2024. [Google Scholar] [CrossRef] [PubMed]
 - Nwachuku, N.; Gerba, C.P. Health risks of enteric viral infections in children. Rev. Environ. Contam. Toxicol. 2006, 186, 1–56. [Google Scholar] [PubMed]
 - Wiegand, R.E.; Deng, Y.; Deng, X.; Lee, A.; Meyer, W.A., 3rd; Letovsky, S.; Charles, M.D.; Gundlapalli, A.V.; MacNeil, A.; Hall, A.J.; et al. Estimated SARS-CoV-2 antibody seroprevalence trends and relationship to reported case prevalence from a repeated, cross-sectional study in the 50 states and the District of Columbia, United States-October 25, 2020-February 26, 2022. Lancet Reg. Health Am. 2023, 18, 100403. [Google Scholar] [CrossRef] [PubMed]
 - Harthan, J.S.; Gelles, J.D.; Block, S.S.; Tullo, W.; Morgenstern, A.S.; Su, B.; Chung, D.; Yu, A.; Greenstein, S.A.; Hersh, P.S.; et al. Prevalence of Keratoconus Based on Scheimpflug Corneal Tomography Metrics in a Pediatric Population from a Chicago-Based School Age Vision Clinic. Eye Contact Lens 2024, 50, 121–125. [Google Scholar] [CrossRef]
 - Musmar, S.; Fitian, H. Infectious Diseases of Children. Fam. Med. 2016, 17, 241–253. [Google Scholar]
 - Wilson, M.E. Geography of infectious diseases. Infect. Dis. 2017, 2, 938–947.e1. [Google Scholar] [CrossRef]
 - Crawford, A.Z.; Zhang, J.; Gokul, A.; McGhee, C.N.J.; Ormonde, S.E. The Enigma of Environmental Factors in Keratoconus. Asia-Pac. J. Ophthalmol. 2020, 9, 549–556. [Google Scholar] [CrossRef] [PubMed]
 - McMahon, T.; Chan, A.; Havlin, S.; Gallos, L.K. Spatial correlations in geographical spreading of COVID-19 in the United States. Sci. Rep. 2022, 12, 699. [Google Scholar] [CrossRef]
 - Rocha-de-Lossada, C.; Mazzotta, C.; Gabrielli, F.; Papa, F.T.; Gómez-Huertas, C.; García-López, C.; Urbinati, F.; Rachwani-Anil, R.; García-Lorente, M.; Sánchez-González, J.M.; et al. Ocular Surface Microbiota in Naïve Keratoconus: A Multicenter Validation Study. J. Clin. Med. 2023, 12, 6354. [Google Scholar] [CrossRef] [PubMed]
 - Tunç, U.; Çelebi, A.C.; Ekren, B.Y.; Yıldırım, Y.; Kepez Yıldız, B.; Okullu, S.Ö.; Sezerman, O.U. Corneal bacterial microbiome in patients with keratoconus using next-generation sequencing-based 16S rRNA gene analysis. Exp. Eye Res. 2023, 228, 109402. [Google Scholar] [CrossRef]
 - Andersson, J.; Vogt, J.K.; Dalgaard, M.D.; Pedersen, O.; Holmgaard, K.; Heegaard, S. Ocular surface microbiota in patients with aqueous tear-deficient dry eye. Ocul. Surf. 2021, 19, 210–217. [Google Scholar] [CrossRef]
 - Andersson, J.; Vogt, J.K.; Dalgaard, M.D.; Pedersen, O.; Holmgaard, K.; Heegaard, S. Ocular surface microbiota in contact lens users and contact-lens-associated bacterial keratitis. Vision 2021, 5, 27. [Google Scholar] [CrossRef]
 - Huang, Y.; Yang, B.; Li, W. Defining the normal core microbiome of conjunctival microbial communities. Clin. Microbiol. Infect. 2016, 22, 643. [Google Scholar] [CrossRef]
 - Zhang, Z.; Zou, X.; Xue, W.; Zhang, P.; Wang, S.; Zou, H. Ocular surface microbiota in diabetic patients with dry eye disease. Investig. Ophthalmol. Vis. Sci. 2021, 62, 13. [Google Scholar] [CrossRef]
 - Katzka, W.; Dong, T.S.; Luu, K.; Lagishetty, V.; Sedighian, F.; Arias-Jayo, N.; Jacobs, J.P.; Hsu, H.Y. The Ocular Microbiome Is Altered by Sampling Modality and Age. Transl. Vis. Sci. Technol. 2021, 10, 24. [Google Scholar] [CrossRef]
 - Simner, P.J.; Miller, H.B.; Breitwieser, F.P.; Pinilla Monsalve, G.; Pardo, C.A.; Salzberg, S.L.; Sears, C.L.; Thomas, D.L.; Eberhart, C.G.; Carroll, K.C. Development and Optimization of Metagenomic Next-Generation Sequencing Methods for Cerebrospinal Fluid Diagnostics. J. Clin. Microbiol. 2018, 56, e00472-18. [Google Scholar] [CrossRef] [PubMed]
 - Breitwieser, F.P.; Baker, D.N.; and Salzberg, S.L. KrakenUniq: Confident and fast metagenomics classification using unique k-mer counts. Genome Biol. 2018, 19, 198. [Google Scholar] [CrossRef] [PubMed]
 - Breitwieser, F.P.; Salzberg, S.L. Pavian: Interactive analysis of metagenomics data for microbiome studies and pathogen identification. Bioinformatics 2020, 36, 1303–1304. [Google Scholar] [CrossRef] [PubMed]
 - Langmead, B.; Salzberg, S.L. Fast gapped-read alignment with Bowtie 2. Nat. Methods 2012, 9, 357–359. [Google Scholar] [CrossRef] [PubMed]
 - Hisatoshi, K.; Shiro, H.; Masahiko, F.; Yoshikazu, S.; Ken, I.; Eiko, F.; Yuka, S.; Tatsuo, S. The Quantitative Detection of Herpes Simplex Virus, Varicella Zoster Virus, and Cytomegalovirus DNAs in Recipient Corneal Buttons. Cornea 2010, 29, 1436–1439. [Google Scholar]
 - Qu, J.; Peng, R.; Xiao, G.; Qu, H.; Yu, T.; Zhang, S.; Hong, J. The incidence and influence of the donor corneas positive for herpesviridae DNA in keratoplasty. Graefe’s Arch. Clin. Exp. Ophthalmol. 2020, 258, 2767–2774. [Google Scholar] [CrossRef] [PubMed]
 - Smith, J.S.; Robinson, N.J. Age-specific prevalence of infection with herpes simplex virus types 2 and 1: A global review. J. Infect. Dis. 2002, 186 (Suppl. S1), S3–S28. [Google Scholar] [CrossRef] [PubMed]
 - Cui, X.; Qiu, J.; Huang, F.; Zhang, C.; Shao, T.; Wang, Y. Herpes Simplex Keratitis as a Complication of Pterygium Surgery. Am. J. Case Rep. 2024, 25, e942401. [Google Scholar] [CrossRef]
 - Tong, L.; Constancias, F.; Hou, A.; Chua, S.L.; Drautz-Moses, D.I.; Schuster, S.C.; Yang, L.; Williams, R.B.H.; Kjelleberg, S. Shotgun metagenomic sequencing analysis of ocular surface microbiome in Singapore residents with mild dry eye. Front. Med. 2022, 9, 1034131. [Google Scholar] [CrossRef]
 


| Patient | Gender | Age (Y) | Ethnicity | Race | 
|---|---|---|---|---|
| Control 1 | M | 21 | Not Hispanic | White | 
| Control 2 | M | 21 | Not Hispanic | White | 
| Control 3 | F | 25 | Not Hispanic | White | 
| KC-1 | M | 19 | Did not disclose | Did not disclose | 
| KC-2 | M | 15 | Not Hispanic | Black | 
| KC-3 | M | 20 | Not Hispanic | Unknown | 
| KC-4 | M | 26 | Not Hispanic | Black | 
| KC-5 | M | 21 | Not Hispanic | Black | 
| KC-6 | F | 21 | Not Hispanic | Asian | 
| KC-7 | M | 18 | Not Hispanic | Unknown | 
| KC-8 | M | 15 | Not Hispanic | White | 
| KC-9 | M | 18 | Not Hispanic | Black | 
| KC-10 | M | 23 | Not Hispanic | White | 
| Sample | Raw Read Count | Classified Reads | Classified % | Unclassified Reads | Unclassified % | Human % | 
|---|---|---|---|---|---|---|
| Control 1 | 26,757,195 | 26,585,004 | 99.4% | 172,191 | 0.6% | 99.3% | 
| Control 2 | 29,630,482 | 29,466,686 | 99.4% | 163,796 | 0.6% | 99.4% | 
| Control 3 | 26,312,069 | 26,198,852 | 99.6% | 113,217 | 0.4% | 99.6% | 
| KC 1 | 30,645,744 | 30,437,780 | 99.3% | 207,964 | 0.7% | 99.3% | 
| KC 2 | 29,073,829 | 28,889,589 | 99.4% | 184,240 | 0.6% | 99.4% | 
| KC 3 | 23,346,495 | 23,212,141 | 99.4% | 134,354 | 0.6% | 99.4% | 
| KC 4 | 32,998,728 | 32,870,823 | 99.6% | 127,905 | 0.4% | 99.6% | 
| KC 5 | 29,986,363 | 29,853,060 | 99.6% | 133,303 | 0.4% | 99.5% | 
| KC 6 | 30,944,636 | 30,815,579 | 99.6% | 129,057 | 0.4% | 99.6% | 
| KC 7 | 42,074,977 | 41,792,526 | 99.3% | 282,451 | 0.7% | 99.3% | 
| KC 8 | 47,616,326 | 47,356,357 | 99.5% | 259,969 | 0.5% | 99.4% | 
| KC 9 | 41,005,109 | 40,781,373 | 99.5% | 223,736 | 0.5% | 99.4% | 
| KC 10 | 40,770,043 | 40,545,853 | 99.5% | 224,190 | 0.5% | 99.4% | 
| NEC | 22,425,709 | 4,752,704 | 21.2% | 17,673,005 | 78.8% | 11.3% | 
| Sample | T.M.R. | M.R. % | Bacteria | Archaea | Viruses | Fungi | 
|---|---|---|---|---|---|---|
| Control 1 | 497 | 0.002% | 130 | 0 | 1 | 3 | 
| Control 2 | 526 | 0.002% | 148 | 0 | 0 | 11 | 
| Control 3 | 567 | 0.002% | 217 | 0 | 1 | 5 | 
| KC 1 | 593 | 0.002% | 191 | 0 | 1 | 9 | 
| KC 2 | 573 | 0.002% | 139 | 0 | 1 | 2 | 
| KC 3 | 496 | 0.002% | 173 | 0 | 0 | 5 | 
| KC 4 | 576 | 0.002% | 181 | 0 | 0 | 5 | 
| KC 5 | 452 | 0.002% | 106 | 0 | 6 | 7 | 
| KC 6 | 503 | 0.002% | 128 | 0 | 1 | 4 | 
| KC 7 | 672 | 0.002% | 125 | 0 | 4 | 8 | 
| KC 8 | 786 | 0.002% | 88 | 0 | 3 | 8 | 
| KC 9 | 790 | 0.002% | 167 | 0 | 4 | 8 | 
| KC 10 | 780 | 0.002% | 217 | 0 | 5 | 3 | 
| NEC | 2,164,853 | 45.550% | 2,145,997 | 502 | 2369 | 4603 | 
Disclaimer/Publisher’s Note: The statements, opinions and data contained in all publications are solely those of the individual author(s) and contributor(s) and not of MDPI and/or the editor(s). MDPI and/or the editor(s) disclaim responsibility for any injury to people or property resulting from any ideas, methods, instructions or products referred to in the content.  | 
© 2024 by the authors. Licensee MDPI, Basel, Switzerland. This article is an open access article distributed under the terms and conditions of the Creative Commons Attribution (CC BY) license (https://creativecommons.org/licenses/by/4.0/).
Share and Cite
Kaur, P.; Moon, L.; Srikumaran, D.; Salzberg, S.L.; Lu, J.; Simner, P.J.; Soiberman, U.S. No Evidence of Chronic Infection in a Metagenomic Sequencing Study of the Keratoconus Corneal Epithelium. J. Clin. Med. 2024, 13, 3399. https://doi.org/10.3390/jcm13123399
Kaur P, Moon L, Srikumaran D, Salzberg SL, Lu J, Simner PJ, Soiberman US. No Evidence of Chronic Infection in a Metagenomic Sequencing Study of the Keratoconus Corneal Epithelium. Journal of Clinical Medicine. 2024; 13(12):3399. https://doi.org/10.3390/jcm13123399
Chicago/Turabian StyleKaur, Pritpal, Loren Moon, Divya Srikumaran, Steven L. Salzberg, Jennifer Lu, Patricia J. Simner, and Uri S. Soiberman. 2024. "No Evidence of Chronic Infection in a Metagenomic Sequencing Study of the Keratoconus Corneal Epithelium" Journal of Clinical Medicine 13, no. 12: 3399. https://doi.org/10.3390/jcm13123399
APA StyleKaur, P., Moon, L., Srikumaran, D., Salzberg, S. L., Lu, J., Simner, P. J., & Soiberman, U. S. (2024). No Evidence of Chronic Infection in a Metagenomic Sequencing Study of the Keratoconus Corneal Epithelium. Journal of Clinical Medicine, 13(12), 3399. https://doi.org/10.3390/jcm13123399
        
                                                
