Deregulated Long Non-Coding RNAs (lncRNA) as Promising Biomarkers in Hidradenitis Suppurativa
Abstract
1. Introduction
2. Materials and Methods
2.1. Study Design
2.2. Hidradenitis Suppurativa Sample Selection and Statistical Methods
2.3. Statistics and Bioinformtic Analyes
2.4. DNA Preparation and Methylation Analysis
2.5. Heatmap
2.6. Principal Component Analysis
2.7. Protein–Protein Interaction Network and MCODE Analysis
2.8. Protein–Protein Interaction Network and MCODE Analysis
2.9. Ingenuity Pathway Analysis
3. Results
3.1. Identification of Dysregulated CpGs in HS
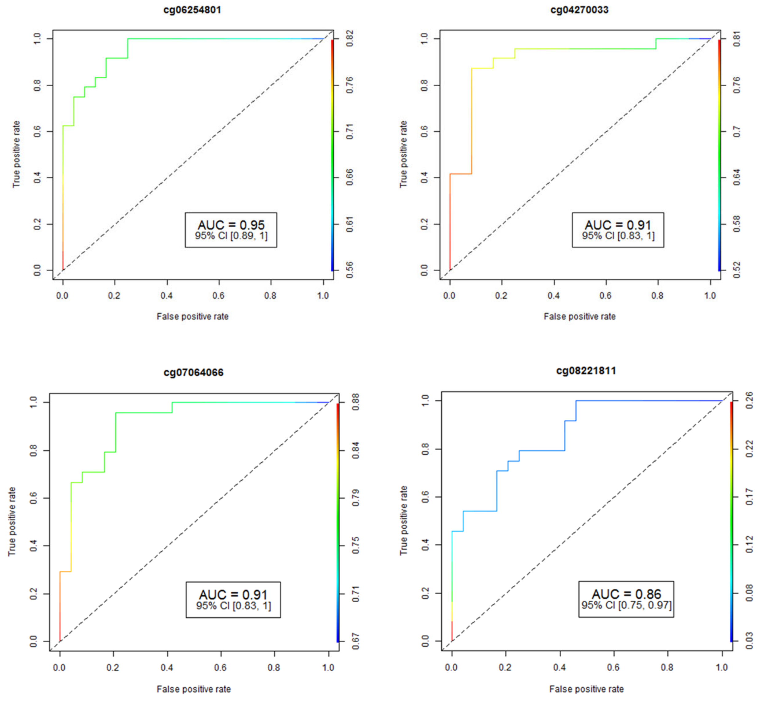
3.2. Validation
3.3. Evaluation of Heatmaps
3.4. PCA
3.5. Protein–Protein Interaction Network and Modular Analysis
3.6. Ingenuity Pathway Analysis
4. Discussion
4.1. PCA3
4.2. DSCR8
4.3. TUG1
4.4. HAR1A
4.5. DLEU2
4.6. HCG9
4.7. CASC2
4.8. FAM66B
4.9. KCNQ1DN
4.10. RFPL1S
4.11. SNHG9
4.12. MESTIT1
4.13. PSORS1C3
4.14. PVT1
4.15. HCP5
4.16. Protein–Protein Interactions
4.17. Identifying Druggable Targets
4.18. Limitations
5. Conclusions
Supplementary Materials
Author Contributions
Funding
Institutional Review Board Statement
Informed Consent Statement
Data Availability Statement
Acknowledgments
Conflicts of Interest
References
- Nguyen, T.V.; Damiani, G.; Orenstein, L.A.V.; Hamzavi, I.; Jemec, G.B. Hidradenitis suppurativa: An update on epidemiology, phenotypes, diagnosis, pathogenesis, comorbidities and quality of life. J. Eur. Acad. Dermatol. Venereol. 2021, 35, 50–61. [Google Scholar] [CrossRef] [PubMed]
- Duchatelet, S.; Miskinyte, S.; Delage, M.; Ungeheuer, M.N.; Lam, T.; Benhadou, F.; Del Marmol, V.; Vossen, A.R.V.; Prens, E.P.; Cogrel, O.; et al. Low Prevalence of GSC Gene Mutations in a Large Cohort of Predominantly Caucasian Patients with Hidradenitis Suppurativa. J. Investig. Dermatol. 2020, 140, 2085–2088.e14. [Google Scholar] [CrossRef] [PubMed]
- Ratnamala, U.; Jain, N.K.; Jhala, D.D.; Prasad, P.V.S.; Saiyed, N.; Nair, S.; Radhakrishna, U. An Updated Mutation Spectrum of the gamma-Secretase Complex: Novel NCSTN Gene Mutation in an Indian Family with Hidradenitis Suppurativa and Acne Conglobata. Indian J. Dermatol. 2023, 68, 141–147. [Google Scholar] [PubMed]
- Radhakrishna, U.; Ratnamala, U.; Jhala, D.D.; Uppala, L.V.; Vedangi, A.; Saiyed, N.; Patel, M.; Vadsaria, N.; Shah, S.R.; Rawal, R.M.; et al. Hidradenitis suppurativa associated telomere-methylome dysregulations in blood. J. Eur. Acad. Dermatol. Venereol. 2023, 38, 393–403. [Google Scholar] [CrossRef] [PubMed]
- Radhakrishna, U.; Ratnamala, U.; Jhala, D.D.; Vadsaria, N.; Patel, M.; Uppala, L.V.; Vedangi, A.; Saiyed, N.; Rawal, R.M.; Damiani, G.; et al. Cytochrome P450 Genes Mediated by DNA Methylation Are Involved in the Resistance to Hidradenitis Suppurativa. J. Investig. Dermatol. 2023, 143, 670–673.e19. [Google Scholar] [CrossRef] [PubMed]
- Radhakrishna, U.; Ratnamala, U.; Jhala, D.D.; Uppala, L.V.; Vedangi, A.; Patel, M.; Vadsaria, N.; Shah, S.; Saiyed, N.; Rawal, R.M.; et al. Hidradenitis suppurativa presents a methylome dysregulation capable to explain the pro-inflammatory microenvironment. Are these DNA methylations potential therapeutic targets? J. Eur. Acad. Dermatol. Venereol. 2023, 37, 2109–2123. [Google Scholar] [CrossRef] [PubMed]
- Frew, J.W.; Hawkes, J.E.; Krueger, J.G. A systematic review and critical evaluation of immunohistochemical associations in hidradenitis suppurativa. F1000Research 2018, 7, 1923. [Google Scholar] [CrossRef] [PubMed]
- Kozera, E.K.; Lowes, M.A.; Hsiao, J.L.; Frew, J.W. Clinical considerations in the management of hidradenitis suppurativa in women. Int. J. Womens Dermatol. 2021, 7, 664–671. [Google Scholar] [CrossRef] [PubMed]
- Frew, J.W.; Marzano, A.V.; Wolk, K.; Join-Lambert, O.; Alavi, A.; Lowes, M.A.; Piguet, V. A Systematic Review of Promising Therapeutic Targets in Hidradenitis Suppurativa: A Critical Evaluation of Mechanistic and Clinical Relevance. J. Investig. Dermatol. 2021, 141, 316–324.e2. [Google Scholar] [CrossRef]
- Orenstein, L.A.V.; Nguyen, T.V.; Damiani, G.; Sayed, C.; Jemec, G.B.E.; Hamzavi, I. Medical and Surgical Management of Hidradenitis Suppurativa: A Review of International Treatment Guidelines and Implementation in General Dermatology Practice. Dermatology 2020, 236, 393–412. [Google Scholar] [CrossRef]
- Gao, N.; Li, Y.; Li, J.; Gao, Z.; Yang, Z.; Li, Y.; Liu, H.; Fan, T. Long Non-Coding RNAs: The Regulatory Mechanisms, Research Strategies, and Future Directions in Cancers. Front. Oncol. 2020, 10, 598817. [Google Scholar] [CrossRef] [PubMed]
- Statello, L.; Guo, C.J.; Chen, L.L.; Huarte, M. Gene regulation by long non-coding RNAs and its biological functions. Nat. Rev. Mol. Cell Biol. 2021, 22, 96–118. [Google Scholar] [CrossRef] [PubMed]
- Hu, G.; Niu, F.; Humburg, B.A.; Liao, K.; Bendi, S.; Callen, S.; Fox, H.S.; Buch, S. Molecular mechanisms of long noncoding RNAs and their role in disease pathogenesis. Oncotarget 2018, 9, 18648–18663. [Google Scholar] [CrossRef]
- De Martino, M.; Esposito, F.; Pallante, P. Long non-coding RNAs regulating multiple proliferative pathways in cancer cell. Transl. Cancer Res. 2021, 10, 3140–3157. [Google Scholar] [CrossRef] [PubMed]
- Morlando, M.; Fatica, A. Alteration of Epigenetic Regulation by Long Noncoding RNAs in Cancer. Int. J. Mol. Sci. 2018, 19, 570. [Google Scholar] [CrossRef] [PubMed]
- Cao, J. The functional role of long non-coding RNAs and epigenetics. Biol. Proced. Online 2014, 16, 11. [Google Scholar] [CrossRef]
- Doxtater, K.; Tripathi, M.K.; Khan, M.M. Recent advances on the role of long non-coding RNAs in Alzheimer’s disease. Neural Regen. Res. 2020, 15, 2253–2254. [Google Scholar] [PubMed]
- Shefler, A.; Patrick, M.T.; Wasikowski, R.; Chen, J.; Sarkar, M.K.; Gudjonsson, J.E.; Tsoi, L.C. Skin-Expressing lncRNAs in Inflammatory Responses. Front. Genet. 2022, 13, 835740. [Google Scholar] [CrossRef] [PubMed]
- Shibasaki, K. Physiological significance of TRPV2 as a mechanosensor, thermosensor and lipid sensor. J. Physiol. Sci. 2016, 66, 359–365. [Google Scholar] [CrossRef]
- Tang, L.; Liang, Y.; Xie, H.; Yang, X.; Zheng, G. Long non-coding RNAs in cutaneous biology and proliferative skin diseases: Advances and perspectives. Cell Prolif. 2020, 53, e12698. [Google Scholar] [CrossRef]
- Wilusz, J.E.; Sunwoo, H.; Spector, D.L. Long noncoding RNAs: Functional surprises from the RNA world. Genes Dev. 2009, 23, 1494–1504. [Google Scholar] [CrossRef] [PubMed]
- Cazzaniga, S.; Naldi, L.; Damiani, G.; Atzori, L.; Patta, F.; Guidarelli, G.; Bettoli, V. Validation of a visual-aided questionnaire for the self-assessment of hidradenitits suppurativa. J. Eur. Acad. Dermatol. Venereol. 2018, 32, 1993–1998. [Google Scholar] [CrossRef] [PubMed]
- Lipsker, D.; Severac, F.; Freysz, M.; Sauleau, E.; Boer, J.; Emtestam, L.; Matusiak, Ł.; Prens, E.; Velter, C.; Lenormand, C.; et al. The ABC of Hidradenitis Suppurativa: A Validated Glossary on how to Name Lesions. Dermatology 2016, 232, 137–142. [Google Scholar] [CrossRef]
- Hurley, H.J. Axillary hyperhidrosis, apocrine bromhidrosis, hidradenitis suppurativa, and familial benign pemphigus: Surgical approach. In Roenigk and Roenigk’s Dermatologic Surgery: Principles and Practice, 2nd ed.; Roenigk, R.K., Roenigk, H.H., Jr., Eds.; Marcel Dekker: New York, NY, USA, 1996; pp. 623–645. [Google Scholar]
- Radhakrishna, U.; Ratnamala, U.; Jhala, D.D.; Vadsaria, N.; Patel, M.; Uppala, L.V.; Vishweswaraiah, S.; Vedangi, A.; Saiyed, N.; Damiani, G.; et al. Methylated miRNAs may serve as potential biomarkers and therapeutic targets for hidradenitis suppurativa. J. Eur. Acad. Dermatol. Venereol. 2022, 36, 2199–2213. [Google Scholar] [CrossRef] [PubMed]
- Damiani, G.; Della Valle, V.; Iannone, M.; Dini, V.; Marzano, A.V. Autoinflammatory Disease Damage Index (ADDI): A possible newborn also in hidradenitis suppurativa daily practice. Ann. Rheum. Dis. 2017, 76, e25. [Google Scholar] [CrossRef]
- van der Zee, H.H.; Jemec, G.B. New insights into the diagnosis of hidradenitis suppurativa: Clinical presentations and phenotypes. J. Am. Acad. Dermatol. 2015, 73, S23–S26. [Google Scholar] [CrossRef]
- Damiani, G.; Mahroum, N.; Pigatto, P.D.M.; Pacifico, A.; Malagoli, P.; Tiodorovic, D.; Conic, R.; Amital, H.; Bragazzi, N.L.; Watad, A.; et al. The Safety and Impact of a Model of Intermittent, Time-Restricted Circadian Fasting (“Ramadan Fasting”) on Hidradenitis Suppurativa: Insights from a Multicenter, Observational, Cross-Over, Pilot, Exploratory Study. Nutrients 2019, 11, 1781. [Google Scholar] [CrossRef]
- Gu, Z. ComplexHeatmap: Making Complex Heatmaps. R Package Version 1.6.0. 2015. Available online: https://githubcom/jokergoo/ComplexHeatmap (accessed on 2 April 2024).
- Herter, E.K.; Xu Landen, N. Non-Coding RNAs: New Players in Skin Wound Healing. Adv. Wound Care 2017, 6, 93–107. [Google Scholar] [CrossRef]
- Wang, Y.; Liu, X.J.; Yao, X.D. Function of PCA3 in prostate tissue and clinical research progress on developing a PCA3 score. Chin. J. Cancer Res. 2014, 26, 493–500. [Google Scholar]
- Lemos, A.E.G.; Matos, A.D.R.; Ferreira, L.B.; Gimba, E.R.P. The long non-coding RNA PCA3: An update of its functions and clinical applications as a biomarker in prostate cancer. Oncotarget 2019, 10, 6589–6603. [Google Scholar] [CrossRef]
- Davey, R.A.; Grossmann, M. Androgen Receptor Structure, Function and Biology: From Bench to Bedside. Clin. Biochem. Rev. 2016, 37, 3–15. [Google Scholar] [PubMed]
- de Wit, N.J.; Weidle, U.H.; Ruiter, D.J.; van Muijen, G.N. Expression profiling of MMA-1a and splice variant MMA-1b: New cancer/testis antigens identified in human melanoma. Int. J. Cancer 2002, 98, 547–553. [Google Scholar] [CrossRef] [PubMed]
- Jung, J.M.; Lee, K.H.; Kim, Y.J.; Chang, S.E.; Lee, M.W.; Choi, J.H.; Won, C.H.; Lee, W.J. Assessment of Overall and Specific Cancer Risks in Patients With Hidradenitis Suppurativa. JAMA Dermatol. 2020, 156, 844–853. [Google Scholar] [CrossRef] [PubMed]
- Denny, G.; Anadkat, M.J. Hidradenitis suppurativa (HS) and Down syndrome (DS): Increased prevalence and a younger age of hidradenitis symptom onset. J. Am. Acad. Dermatol. 2016, 75, 632–634. [Google Scholar] [CrossRef] [PubMed]
- Garg, A.; Strunk, A.; Midura, M.; Papagermanos, V.; Pomerantz, H. Prevalence of hidradenitis suppurativa among patients with Down syndrome: A population-based cross-sectional analysis. Br. J. Dermatol. 2018, 178, 697–703. [Google Scholar] [CrossRef] [PubMed]
- Poizeau, F.; Sbidian, E.; Mircher, C.; Rebillat, A.S.; Chosidow, O.; Wolkenstein, P.; Ravel, A.; Hotz, C. Prevalence and Description of Hidradenitis Suppurativa in Down Syndrome: A Cross-sectional Study of 783 Subjects. Acta Derm. Venereol. 2019, 99, 351–352. [Google Scholar] [CrossRef] [PubMed]
- Kaakati, R.N.; Tanaka, J.; Liu, B.; Ward, R.; Macleod, A.S.; Green, C.L.; Jaleel, T. Atopic dermatitis is associated with hidradenitis suppurativa diagnosis: A single institution retrospective cohort study. JAAD Int. 2021, 4, 18–24. [Google Scholar] [CrossRef] [PubMed]
- Nousbeck, J.; McAleer, M.A.; Irvine, A.D. Peripheral Blood Gene Expression Profile of Infants with Atopic Dermatitis. JID Innov. 2023, 3, 100165. [Google Scholar] [CrossRef] [PubMed]
- Zhang, J.; Kay, M.K.; Park, M.H.; Meruvu, S.; Powell, C.; Choudhury, M. LncRNA DLEU2 regulates sirtuins and mitochondrial respiratory chain complex IV: A novel pathway in obesity and offspring’s health. Int. J. Obes. 2022, 46, 969–976. [Google Scholar] [CrossRef]
- Kaminsky, Z.; Tochigi, M.; Jia, P.; Pal, M.; Mill, J.; Kwan, A.; Ioshikhes, I.; Vincent, J.B.; Kennedy, J.L.; Strauss, J.; et al. A multi-tissue analysis identifies HLA complex group 9 gene methylation differences in bipolar disorder. Mol. Psychiatry 2012, 17, 728–740. [Google Scholar] [CrossRef]
- Tzur Bitan, D.; Berzin, D.; Cohen, A. Hidradenitis Suppurativa and Bipolar Disorders: A Population-Based Study. Dermatology 2020, 236, 298–304. [Google Scholar] [CrossRef] [PubMed]
- Yu, X.; Zheng, H.; Tse, G.; Zhang, L.; Wu, W.K.K. CASC2: An emerging tumour-suppressing long noncoding RNA in human cancers and melanoma. Cell Prolif. 2018, 51, e12506. [Google Scholar] [CrossRef] [PubMed]
- Zhang, Y.; Qian, W.; Feng, F.; Cao, Q.; Li, Y.; Hou, Y.; Zhang, L.; Fan, J. Upregulated lncRNA CASC2 May Inhibit Malignant Melanoma Development Through Regulating miR-18a-5p/RUNX1. Oncol. Res. 2019, 27, 371–377. [Google Scholar] [CrossRef] [PubMed]
- Takemoto, A.; Tanimoto, K.; Mori, S.; Inoue, J.; Fujiwara, N.; Noda, T.; Inazawa, J. Integrative genome-wide analyses reveal the transcriptional aberrations in Japanese esophageal squamous cell carcinoma. Cancer Sci. 2021, 112, 4377–4392. [Google Scholar] [CrossRef]
- Liu, S.; Chen, X.; Huang, K.; Xiong, X.; Shi, Y.; Wang, X.; Pan, X.; Cong, Y.; Sun, Y.; Ge, L.; et al. Long noncoding RNA RFPL1S-202 inhibits ovarian cancer progression by downregulating the IFN-beta/STAT1 signaling. Exp. Cell Res. 2023, 422, 113438. [Google Scholar] [CrossRef] [PubMed]
- Zhang, H.; Qin, D.; Jiang, Z.; Zhang, J. SNHG9/miR-199a-5p/Wnt2 Axis Regulates Cell Growth and Aerobic Glycolysis in Glioblastoma. J. Neuropathol. Exp. Neurol. 2019, 78, 939–948. [Google Scholar] [CrossRef] [PubMed]
- Zhang, B.; Li, C.; Sun, Z. Long non-coding RNA LINC00346, LINC00578, LINC00673, LINC00671, LINC00261, and SNHG9 are novel prognostic markers for pancreatic cancer. Am. J. Transl. Res. 2018, 10, 2648–2658. [Google Scholar]
- Wang, R.; Chen, C.; Kang, W.; Meng, G. SNHG9 was upregulated in NSCLC and associated with DDP-resistance and poor prognosis of NSCLC patients. Am. J. Transl. Res. 2020, 12, 4456–4466. [Google Scholar] [PubMed]
- Nakabayashi, K.; Bentley, L.; Hitchins, M.P.; Mitsuya, K.; Meguro, M.; Minagawa, S.; Bamforth, J.S.; Stanier, P.; Preece, M.; Weksberg, R.; et al. Identification and characterization of an imprinted antisense RNA (MESTIT1) in the human MEST locus on chromosome 7q32. Hum. Mol. Genet. 2002, 11, 1743–1756. [Google Scholar] [CrossRef]
- Meyer, E.; Wollmann, H.A.; Eggermann, T. Searching for genomic variants in the MESTIT1 transcript in Silver-Russell syndrome patients. J. Med. Genet. 2003, 40, e65. [Google Scholar] [CrossRef]
- Linh, N.T.T.; Giang, N.H.; Lien, N.T.K.; Trang, B.K.; Trang, D.T.; Ngoc, N.T.; Nghia, V.X.; My, L.T.; Van Mao, C.; Hoang, N.H.; et al. Association of PSORS1C3, CARD14 and TLR4 genotypes and haplotypes with psoriasis susceptibility. Genet. Mol. Biol. 2022, 45, e20220099. [Google Scholar] [CrossRef] [PubMed]
- Gau, S.Y.; Preclaro, I.A.C.; Wei, J.C.; Lee, C.Y.; Kuan, Y.H.; Hsiao, Y.P.; Juang, S.-E.; Ma, K.S.-K. Risk of psoriasis in people with hidradenitis suppurativa: A systematic review and meta-analysis. Front. Immunol. 2022, 13, 1033844. [Google Scholar] [CrossRef] [PubMed]
- Onagoruwa, O.T.; Pal, G.; Ochu, C.; Ogunwobi, O.O. Oncogenic Role of PVT1 and Therapeutic Implications. Front. Oncol. 2020, 10, 17. [Google Scholar] [CrossRef] [PubMed]
- Wu, H.; Wei, M.; Jiang, X.; Tan, J.; Xu, W.; Fan, X.; Zhang, R.; Ding, C.; Zhao, F.; Shao, X.; et al. lncRNA PVT1 Promotes Tumorigenesis of Colorectal Cancer by Stabilizing miR-16-5p and Interacting with the VEGFA/VEGFR1/AKT Axis. Mol. Ther. Nucleic Acids 2020, 20, 438–450. [Google Scholar] [CrossRef] [PubMed]
- Feng, F.; Qi, Y.; Dong, C.; Yang, C. PVT1 regulates inflammation and cardiac function via the MAPK/NF-kappaB pathway in a sepsis model. Exp. Ther. Med. 2018, 16, 4471–4478. [Google Scholar] [PubMed]
- Tohkin, M.; Kaniwa, N.; Saito, Y.; Sugiyama, E.; Kurose, K.; Nishikawa, J.; Hasegawa, R.; Aihara, M.; Matsunaga, K.; Abe, M.; et al. A whole-genome association study of major determinants for allopurinol-related Stevens-Johnson syndrome and toxic epidermal necrolysis in Japanese patients. Pharmacogenom. J. 2013, 13, 60–69. [Google Scholar] [CrossRef]
- Stern, R.S.; Divito, S.J. Stevens-Johnson Syndrome and Toxic Epidermal Necrolysis: Associations, Outcomes, and Pathobiology-Thirty Years of Progress but Still Much to Be Done. J. Investig. Dermatol. 2017, 137, 1004–1008. [Google Scholar] [CrossRef]
- Morse, D.C.; Chockalingam, R.; Pye, A.; Huen, A. Hidradenitis suppurativa associated with sorafenib initiation. Dermatol. Online J. 2019, 25, AB219. [Google Scholar] [CrossRef]
- Meeks, K.A.C.; Henneman, P.; Venema, A.; Burr, T.; Galbete, C.; Danquah, I.; Schulze, M.B.; Mockenhaupt, F.P.; Owusu-Dabo, E.; Rotimi, C.N.; et al. An epigenome-wide association study in whole blood of measures of adiposity among Ghanaians: The RODAM study. Clin. Epigenet. 2017, 9, 103. [Google Scholar] [CrossRef]
- Fimmel, S.; Zouboulis, C.C. Comorbidities of hidradenitis suppurativa (acne inversa). Dermatoendocrinol 2010, 2, 9–16. [Google Scholar] [CrossRef]
- Zouboulis, C.C.; Desai, N.; Emtestam, L.; Hunger, R.E.; Ioannides, D.; Juhasz, I.; Lapins, J.; Matusiak, L.; Prens, E.P.; Revuz, J.; et al. European S1 guideline for the treatment of hidradenitis suppurativa/acne inversa. J. Eur. Acad. Dermatol. Venereol. 2015, 29, 619–644. [Google Scholar] [CrossRef] [PubMed]
- Zouboulis, V.A.; Zouboulis, K.C.; Zouboulis, C.C. Hidradenitis Suppurativa and Comorbid Disorder Biomarkers, Druggable Genes, New Drugs and Drug Repurposing-A Molecular Meta-Analysis. Pharmaceutics 2021, 14, 44. [Google Scholar] [CrossRef] [PubMed]
- Sun, Q.; Broadaway, K.A.; Edmiston, S.N.; Fajgenbaum, K.; Miller-Fleming, T.; Westerkam, L.L.; Melendez-Gonzalez, M.; Bui, H.; Blum, F.R.; Levitt, B.; et al. Genetic Variants Associated With Hidradenitis Suppurativa. JAMA Dermatol. 2023, 159, 930–938. [Google Scholar] [CrossRef] [PubMed]
- Mintoff, D.; Pace, N.P.; Borg, I. NCSTN In-Frame Deletion in Maltese Patients with Hidradenitis Suppurativa. JAMA Dermatol. 2023, 159, 939–944. [Google Scholar] [CrossRef] [PubMed]
- Der Sarkissian, S.; Hessam, S.; Kirby, J.S.; Lowes, M.A.; Mintoff, D.; Naik, H.B.; Ring, H.C.; Chandran, N.S.; Frew, J.W. Identification of Biomarkers and Critical Evaluation of Biomarker Validation in Hidradenitis Suppurativa: A Systematic Review. JAMA Dermatol. 2022, 158, 300–313. [Google Scholar] [CrossRef]
- Abu Rached, N.; Gambichler, T.; Dietrich, J.W.; Ocker, L.; Seifert, C.; Stockfleth, E.; Bechara, F.G. The Role of Hormones in Hidradenitis Suppurativa: A Systematic Review. Int. J. Mol. Sci. 2022, 23, 15250. [Google Scholar] [CrossRef]





| Target ID | Gene Name | Chromosome Locus | p-Val | FDR p-Val | % Methylation Cases | % Methylation Control | % Methlation Change | AUC | CI_Lower | CI_Upper |
|---|---|---|---|---|---|---|---|---|---|---|
| cg06254801 | PCA3 | 9q21.2 | 1.8576 × 10−8 | 0.01606824 | 64.86 | 73.09 | −8.23 | 0.95 | 0.89 | 1.00 |
| cg07064066 | DSCR8 | 21q22.13 | 1.56 × 10−8 | 0.01346011 | 74.59 | 81.52 | −6.93 | 0.91 | 0.83 | 1.00 |
| cg04270033 | TUG1 | 22q12.2 | 5.48373 × 10−11 | 4.74343 × 10−5 | 67.91 | 76.96 | −9.05 | 0.91 | 0.83 | 1.00 |
| cg08221811 | HAR1A | 20q13.33 | 4.73141 × 10−8 | 0.040926711 | 9.68 | 5.19 | 4.49 | 0.86 | 0.75 | 0.97 |
| cg17948986 | DLEU2 | 13q14.2 | 2.2571 × 10−16 | 1.9524 × 10−10 | 60.64 | 72.88 | −12.24 | 0.85 | 0.74 | 0.96 |
| cg08072458 | HCG9 | 6p22.1 | 7.93312 × 10−11 | 6.86215 × 10−5 | 12.15 | 6.41 | 5.73 | 0.85 | 0.73 | 0.96 |
| cg17374433 | CASC2 | 10q26.11 | 1.80494 × 10−10 | 0.000156127 | 60.88 | 70.62 | −9.73 | 0.84 | 0.73 | 0.96 |
| cg02330432 | FAM66B | 8p23.1 | 4.01146 × 10−8 | 0.034699166 | 9.66 | 5.15 | 4.51 | 0.83 | 0.71 | 0.95 |
| cg10503232 | KCNQ1DN | 11p15.5 | 1.26385 × 10−8 | 0.010932294 | 63.61 | 72.08 | −8.47 | 0.83 | 0.71 | 0.95 |
| cg08653574 | RFPL1S | 22q12.2 | 1.28161 × 10−12 | 1.10859 × 10−6 | 83.55 | 90.05 | −6.50 | 0.80 | 0.68 | 0.93 |
| cg21871735 | SNHG9 | 16p13.3 | 2.2517 × 10−10 | 0.000194772 | 8.97 | 4.00 | 4.96 | 0.80 | 0.68 | 0.93 |
| cg10473158 | MESTIT1 | 7q32.2 | 1.29239 × 10−10 | 0.000111792 | 56.09 | 66.36 | −10.28 | 0.80 | 0.67 | 0.92 |
| cg11040238 | PSORS1C3 | 6p21.33 | 1.14754 × 10−8 | 0.009926202 | 65.37 | 73.65 | −8.29 | 0.79 | 0.66 | 0.92 |
| cg08588859 | PVT1 | 8q24.21 | 2.07709 × 10−10 | 0.000179668 | 90.18 | 94.53 | −4.35 | 0.77 | 0.64 | 0.91 |
| cg08099293 | HCP5 | 6p21.33 | 1.10616 × 10−14 | 9.56827 × 10−9 | 12.88 | 6.10 | 6.78 | 0.75 | 0.62 | 0.89 |
| Cluster ID | Description | Observed Gene Count | Background Gene Count | Strength | FDR | Matching Proteins (Labels) |
|---|---|---|---|---|---|---|
| CL:16888 | Apoptosis—Multiple Species, and TRAIL signaling | 5 | 35 | 1.87 | 5.77 × 10−5 | BAX, CASP3, CASP9, MCL1, BCL2 |
| CL:16889 | Bcl-2 family, and BH3-only proteins associate with BCL-2 members | 3 | 18 | 1.94 | 0.0078 | BAX, MCL1, BCL2 |
| CL:19457 | Extracellular matrix organization | 5 | 180 | 1.16 | 0.0204 | MMP2, TGFB1, FN1, MMP9, COL4A1 |
| CL:16926 | Activation of caspases through apoptosome-mediated cleavage | 2 | 5 | 2.32 | 0.0492 | CASP3, CASP9 |
Disclaimer/Publisher’s Note: The statements, opinions and data contained in all publications are solely those of the individual author(s) and contributor(s) and not of MDPI and/or the editor(s). MDPI and/or the editor(s) disclaim responsibility for any injury to people or property resulting from any ideas, methods, instructions or products referred to in the content. |
© 2024 by the authors. Licensee MDPI, Basel, Switzerland. This article is an open access article distributed under the terms and conditions of the Creative Commons Attribution (CC BY) license (https://creativecommons.org/licenses/by/4.0/).
Share and Cite
Radhakrishna, U.; Ratnamala, U.; Jhala, D.D.; Uppala, L.V.; Vedangi, A.; Saiyed, N.; Patel, M.; Shah, S.R.; Rawal, R.M.; Jemec, G.B.E.; et al. Deregulated Long Non-Coding RNAs (lncRNA) as Promising Biomarkers in Hidradenitis Suppurativa. J. Clin. Med. 2024, 13, 3016. https://doi.org/10.3390/jcm13103016
Radhakrishna U, Ratnamala U, Jhala DD, Uppala LV, Vedangi A, Saiyed N, Patel M, Shah SR, Rawal RM, Jemec GBE, et al. Deregulated Long Non-Coding RNAs (lncRNA) as Promising Biomarkers in Hidradenitis Suppurativa. Journal of Clinical Medicine. 2024; 13(10):3016. https://doi.org/10.3390/jcm13103016
Chicago/Turabian StyleRadhakrishna, Uppala, Uppala Ratnamala, Devendrasinh D. Jhala, Lavanya V. Uppala, Aaren Vedangi, Nazia Saiyed, Maulikkumar Patel, Sushma R. Shah, Rakesh M. Rawal, Gregor B. E. Jemec, and et al. 2024. "Deregulated Long Non-Coding RNAs (lncRNA) as Promising Biomarkers in Hidradenitis Suppurativa" Journal of Clinical Medicine 13, no. 10: 3016. https://doi.org/10.3390/jcm13103016
APA StyleRadhakrishna, U., Ratnamala, U., Jhala, D. D., Uppala, L. V., Vedangi, A., Saiyed, N., Patel, M., Shah, S. R., Rawal, R. M., Jemec, G. B. E., Mazza, T., Mazzoccoli, G., & Damiani, G. (2024). Deregulated Long Non-Coding RNAs (lncRNA) as Promising Biomarkers in Hidradenitis Suppurativa. Journal of Clinical Medicine, 13(10), 3016. https://doi.org/10.3390/jcm13103016

