Selenoprotein P-1 (SEPP1) as an Early Biomarker of Myocardial Injury in Patients Undergoing Cardiopulmonary Bypass
Abstract
1. Introduction
2. Materials and Methods
2.1. Study Design and Patient Enrollment
2.2. Clinical Data and SEPP1 Measurement
2.3. Statistical Analysis
Statistics
3. Results
3.1. Study Population Characteristics
3.2. Trends in Cardiac Biomarkers and SEPP1 Levels after Cardiac Surgery
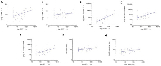
3.3. Correlates of SEPP1 Measured at Different Time Points
4. Discussion
5. Conclusions
Author Contributions
Funding
Institutional Review Board Statement
Informed Consent Statement
Data Availability Statement
Acknowledgments
Conflicts of Interest
References
- Writing Committee Members; Lawton, J.S.; Tamis-Holland, J.E.; Bangalore, S.; Bates, E.R.; Beckie, T.M.; Bischoff, J.M.; Bittl, J.A.; Cohen, M.G.; DiMaio, J.M.; et al. 2021 ACC/AHA/SCAI Guideline for Coronary Artery Revascularization: A Report of the American College of Cardiology/American Heart Association Joint Committee on Clinical Practice Guidelines. J. Am. Coll. Cardiol. 2022, 79, e21–e129, Erratum in J. Am. Coll. Cardiol. 2022, 79, 1547. [Google Scholar] [CrossRef] [PubMed]
- Thygesen, K.; Alpert, J.S.; Jaffe, A.S.; Chaitman, B.R.; Bax, J.J.; Morrow, D.A.; White, H.D.; ESC Scientific Document Group. Fourth universal definition of myocardial infarction (2018). Eur. Heart J. 2019, 40, 237–269. [Google Scholar] [CrossRef] [PubMed]
- Thielmann, M.; Sharma, V.; Al-Attar, N.; Bulluck, H.; Bisleri, G.; Bunge, J.J.H.; Czerny, M.; Ferdinandy, P.; Frey, U.H.; Heusch, G.; et al. ESC Joint Working Groups on Cardiovascular Surgery and the Cellular Biology of the Heart Position Paper: Perioperative myocardial injury and infarction in patients undergoing coronary artery bypass graft surgery. Eur. Heart J. 2017, 38, 2392–2407. [Google Scholar] [CrossRef] [PubMed] [PubMed Central]
- Bolignano, D.; Jiritano, F.; Zicarelli, M.; Pizzini, P.; Cutrupi, S.; Andreucci, M.; Testa, A.; Battaglia, D.; Spoto, B.; Mastroroberto, P.; et al. Selenoprotein P-1 (SEPP1) as an Early Biomarker of Acute Kidney Injury in Patients Undergoing Cardiopulmonary Bypass. Rev. Cardiovasc. Med. 2022, 23, 170. [Google Scholar] [CrossRef]
- Burk, R.F.; Hill, K.E. Selenoprotein P: An extracellular protein with unique physical characteristics and a role in selenium homeostasis. Annu. Rev. Nutr. 2005, 25, 215–235. [Google Scholar] [CrossRef] [PubMed]
- Steinbrenner, H.; Sies, H. Protection against reactive oxygen species by selenoproteins. Biochim. Biophys. Acta 2009, 1790, 1478–1485. [Google Scholar] [CrossRef] [PubMed]
- Kühn-Heid, E.C.; Kühn, E.C.; Ney, J.; Wendt, S.; Seelig, J.; Schwiebert, C.; Minich, W.B.; Stoppe, C.; Schomburg, L. Selenium-Binding Protein 1 Indicates Myocardial Stress and Risk for Adverse Outcome in Cardiac Surgery. Nutrients 2019, 11, 2005. [Google Scholar] [CrossRef] [PubMed]
- Shahian, D.M.; Jacobs, J.P.; Badhwar, V.; Kurlansky, P.A.; Furnary, A.P.; Cleveland, J.C., Jr.; Lobdell, K.W.; Vassileva, C.; Von Ballmoos, M.C.W.; Thourani, V.H.; et al. The Society of Thoracic Surgeons 2018 Adult Cardiac Surgery Risk Models: Part 1-Background, Design Considerations, and Model Development. Ann. Thorac. Surg. 2018, 105, 1411–1418. [Google Scholar] [CrossRef] [PubMed]
- Vukicevic, P.; Klisic, A.; Neskovic, V.; Babic, L.; Mikic, A.; Bogavac-Stanojevic, N.; Matkovic, M.; Milićević, V.; Aleksic, N.; Kotur-Stevuljevic, J. Oxidative Stress in Patients before and after On-Pump and Off-Pump Coronary Artery Bypass Grafting: Relationship with Syntax Score. Oxidative Med. Cell. Longev. 2021, 2021, 3315951. [Google Scholar] [CrossRef] [PubMed]
- Zakkar, M.; Guida, G.; Suleiman, M.S.; Angelini, G.D. Cardiopulmonary bypass and oxidative stress. Oxidative Med. Cell. Longev. 2015, 2015, 189863. [Google Scholar] [CrossRef] [PubMed]
- Kong, A.S.; Lai, K.S.; Hee, C.W.; Loh, J.Y.; Lim, S.H.E.; Sathiya, M. Oxidative Stress Parameters as Biomarkers of Cardiovascular Disease towards the Development and Progression. Antioxidants 2022, 11, 1175. [Google Scholar] [CrossRef] [PubMed] [PubMed Central]
- Tsutsui, H.; Kinugawa, S.; Matsushima, S. Oxidative stress and heart failure. Am. J. Physiol. Heart Circ. Physiol. 2011, 301, H2181–H2190. [Google Scholar] [CrossRef] [PubMed]
- Yilmaz, M.I.; Romano, M.; Basarali, M.K.; Elzagallaai, A.; Karaman, M.; Demir, Z.; Demir, M.F.; Akcay, F.; Seyrek, M.; Haksever, N.; et al. The Effect of Corrected Inflammation, Oxidative Stress and Endothelial Dysfunction on Fmd Levels in Patients with Selected Chronic Diseases: A Quasi-Experimental Study. Sci. Rep. 2020, 10, 9018. [Google Scholar] [CrossRef] [PubMed]
- Sies, H.; Berndt, C.; Jones, D.P. Oxidative Stress. Annu. Rev. Biochem. 2017, 86, 715–748. [Google Scholar] [CrossRef] [PubMed]
- Ramachandra, C.J.A.; Cong, S.; Chan, X.; Yap, E.P.; Yu, F.; Hausenloy, D.J. Oxidative stress in cardiac hypertrophy: From molecular mechanisms to novel therapeutic targets. Free Radic. Biol. Med. 2021, 166, 297–312. [Google Scholar] [CrossRef] [PubMed]
- Mangge, H.; Becker, K.; Fuchs, D.; Gostner, J.M. Antioxidants, inflammation and cardiovascular disease. World J. Cardiol. 2014, 6, 462–477. [Google Scholar] [CrossRef] [PubMed]
- Kühn, E.C.; Slagman, A.; Kühn-Heid, E.C.D.; Seelig, J.; Schwiebert, C.; Minich, W.B.; Stoppe, C.; Möckel, M.; Schomburg, L. Circulating levels of selenium-binding protein 1 (SELENBP1) are associated with risk for major adverse cardiac events and death. J. Trace Elem. Med. Biol. Organ Soc. Miner. Trace Elem. (GMS) 2019, 52, 247–253. [Google Scholar] [CrossRef]


| Patients’ characteristics | |
| Age (yrs) | 65.6 ± 8 |
| Gender (% Male) | 77.8 |
| BMI (kg/m)2 | 27.8 (25.9–30.9) |
| Smoking (%) | 35.5 |
| CV disease (%) | 95.6 |
| Hypertension (%) | 73.3 |
| Diabetes (%) | 60 |
| Diabetes vintage (yrs) | 7.5 (1–12) |
| NYHA class (%1/2/3) | 15.6/64.4/20 |
| Ejection fraction (%) | 50 (45–55) |
| Left atrial volume (mL/m2) | 42.3 ± 8.27 |
| Creatinine (mg/dL) | 0.90 ± 0.19 |
| eGFR CKD-EPI (mL/min/m2) | 91.8 ± 14.3 |
| Hemoglobin (g/dL) | 12.8 ± 1.5 |
| Hematocrit (%) | 38.7 ± 4.7 |
| Total cholesterol (mg/dL) | 142.7 ± 43.1 |
| LDL cholesterol (mg/dL) | 80 (62.2–108.7) |
| Triglycerides (mg/dL) | 102 (86–131) |
| Pre-operative medications | |
| ACEi/ARBs (%) | 91.1 |
| Diuretics (%) | 44.4 |
| Beta-blockers (%) | 82.2 |
| Calcium channel blockers (%) | 15.5 |
| Statins (%) | 84.4 |
| Platelet inhibitors (%) | 28.9 |
| Surgical characteristics | |
| Type of surgery | |
| CABG only (%) | 71.1 |
| CABG plus valve (%) | 15.6 |
| Valve only (%) | 11.1 |
| Other (%) | 2.2 |
| Pre-operative SBP (mmHg) | 130.1 ± 15.7 |
| Pre-operative DBP (mmHg) | 74.6 ± 10.9 |
| STS mortality score | 1.13 (0.70–2.40) |
| Cross-clamp time (min) | 72 (56–104.2) |
| CPB time (min) | 105 (91–137) |
| Biomarkers | |
| CK-MB (UI/L) | 1.6 (1.3–2.4) |
| Hs-cTN (ng/L) | 16 (9.3–26.6) |
| Myoglobin (ng/mL) | 29 (22.5–45.7) |
| SEPP1 (ng/mL) | 69 (39–85) |
| SEPP1 4 h | R | p |
| CK-MB 48 h | 0.598 | <0.0001 |
| CK-MB 72 h | 0.308 | 0.05 |
| Hs-c Troponin 24 h | 0.532 | <0.0001 |
| Hs-c Troponin 48 h | 0.348 | 0.01 |
| Hs-c Troponin 72 h | 0.377 | 0.02 |
| CPB time | 0.389 | 0.008 |
| Cross-clamp time | 0.374 | 0.001 |
| SEPP1 8 h | R | p |
| CK-MB 48 h | 0.460 | 0.01 |
| Hs-c Troponin 24 h | 0.395 | 0.007 |
| CPB time | 0.310 | 0.03 |
Disclaimer/Publisher’s Note: The statements, opinions and data contained in all publications are solely those of the individual author(s) and contributor(s) and not of MDPI and/or the editor(s). MDPI and/or the editor(s) disclaim responsibility for any injury to people or property resulting from any ideas, methods, instructions or products referred to in the content. |
© 2024 by the authors. Licensee MDPI, Basel, Switzerland. This article is an open access article distributed under the terms and conditions of the Creative Commons Attribution (CC BY) license (https://creativecommons.org/licenses/by/4.0/).
Share and Cite
Serraino, G.F.; Bolignano, D.; Jiritano, F.; Coppolino, G.; Napolitano, D.; Zicarelli, M.; Pizzini, P.; Cutrupi, S.; Testa, A.; Spoto, B.; et al. Selenoprotein P-1 (SEPP1) as an Early Biomarker of Myocardial Injury in Patients Undergoing Cardiopulmonary Bypass. J. Clin. Med. 2024, 13, 2943. https://doi.org/10.3390/jcm13102943
Serraino GF, Bolignano D, Jiritano F, Coppolino G, Napolitano D, Zicarelli M, Pizzini P, Cutrupi S, Testa A, Spoto B, et al. Selenoprotein P-1 (SEPP1) as an Early Biomarker of Myocardial Injury in Patients Undergoing Cardiopulmonary Bypass. Journal of Clinical Medicine. 2024; 13(10):2943. https://doi.org/10.3390/jcm13102943
Chicago/Turabian StyleSerraino, Giuseppe Filiberto, Davide Bolignano, Federica Jiritano, Giuseppe Coppolino, Désirée Napolitano, Mariateresa Zicarelli, Patrizia Pizzini, Sebastiano Cutrupi, Alessandra Testa, Belinda Spoto, and et al. 2024. "Selenoprotein P-1 (SEPP1) as an Early Biomarker of Myocardial Injury in Patients Undergoing Cardiopulmonary Bypass" Journal of Clinical Medicine 13, no. 10: 2943. https://doi.org/10.3390/jcm13102943
APA StyleSerraino, G. F., Bolignano, D., Jiritano, F., Coppolino, G., Napolitano, D., Zicarelli, M., Pizzini, P., Cutrupi, S., Testa, A., Spoto, B., Andreucci, M., Mastroroberto, P., & Serra, R. (2024). Selenoprotein P-1 (SEPP1) as an Early Biomarker of Myocardial Injury in Patients Undergoing Cardiopulmonary Bypass. Journal of Clinical Medicine, 13(10), 2943. https://doi.org/10.3390/jcm13102943

