The Effectiveness of Osseodensification Drilling versus the Conventional Surgical Technique on Implant Stability: A Clinical Trial
Abstract
1. Introduction
2. Materials and Methods
2.1. Study Design
2.2. Patient Selection
2.3. Pre-Operative Radiographic Planning
2.4. Presurgical Phase
- -
- To eat a light diet, avoiding fatty, fried, laxative and fermentable foods (milk, cheese, bananas) on the day of surgery.
- -
- Not to wear jewelry or make-up, in the case of women.
- -
- Avoid smoking in the 72 h before and 30 days after surgery, to avoid anesthetic and surgical complications, as well as contributing to better tissue healing.
- -
- Not to take medication based on acetylsalicylic acid (aspirin) in the 4 days before surgery.
- -
- Start antibiotic therapy 48 h before surgery (875 mg of amoxicillin and 125 mg of clavulanic acid) twice daily for 8 days.
2.5. Surgical Phase
2.5.1. Implant Design and Surface Characteristics
2.5.2. Conventional Protocol
2.5.3. Osseodensification Protocol
2.5.4. Evaluation of Implant Stability Parameters
2.6. Postoperative Instructions
- -
- To lie down for the first three days after surgery to stabilize the blood clot, as this is a critical period for a good post-operative result without complications.
- -
- To continue the antibiotic therapy and to take Naproxen (500 mg) twice daily for a 3 day period.
- -
- Paracetamol 1 g 3 times a day for pain control management.
- -
- To use 0.12% chlorhexidine gluconate mouthwash (Bexident® Post Isdin, Barcelona, Spain) thrice daily for two weeks to reduce plaque formation.
- -
- To apply ice to their faces in the first 6 to 8 h after surgery in order to significantly reduce facial edema, while also improving pain control and reducing local vascularization, thus preventing bleeding.
- -
- To prepare a liquid/pasty and cold diet for 8 days.
- -
- To bite on a piece of sterile gauze for 30 min to promote hemostasis.
- -
- Not to spit, which could cause negative pressure in the mouth and dislodge the clot. Drinking liquids through straws is also contraindicated.
- -
- Avoid vigorous mouthwashes.
- -
- Not to smoke during the entire osseointegration process (especially during the first two weeks). Nicotine destroys vitamin C, which is essential for tissue regeneration, delaying the repair of the surgical wound.
- -
- To refrain from physical activity or heavy lifting for three days after surgery.
2.7. Healing Abutment—6 Months
2.8. One Year Follow-Up
2.9. Statistical Analysis
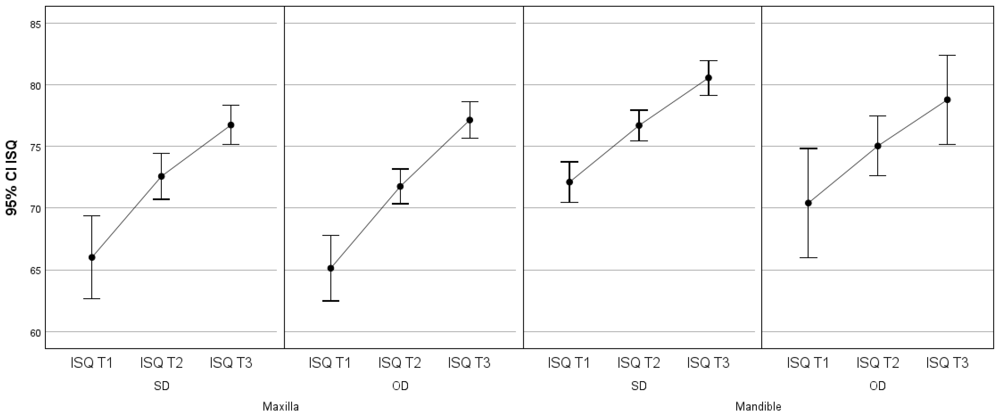
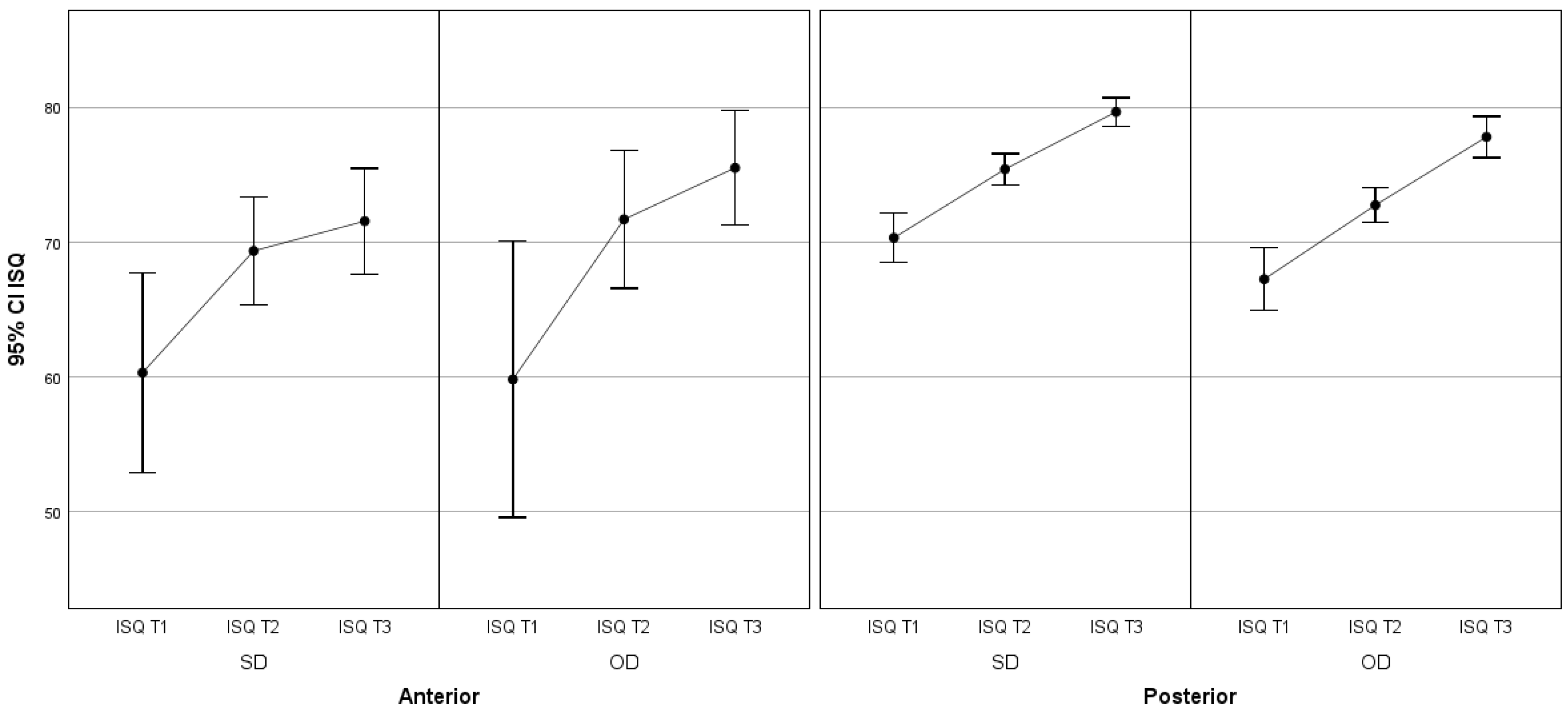
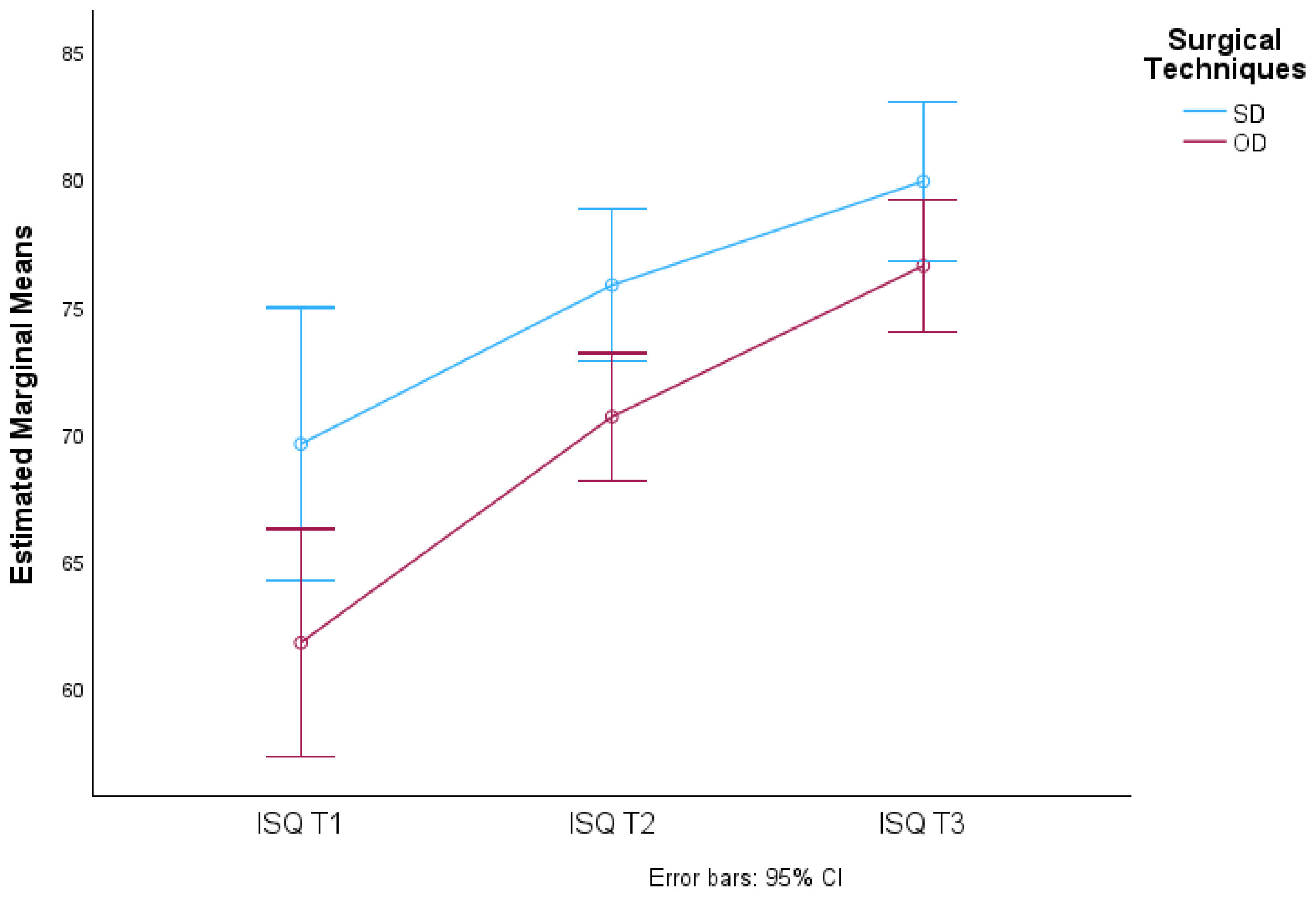
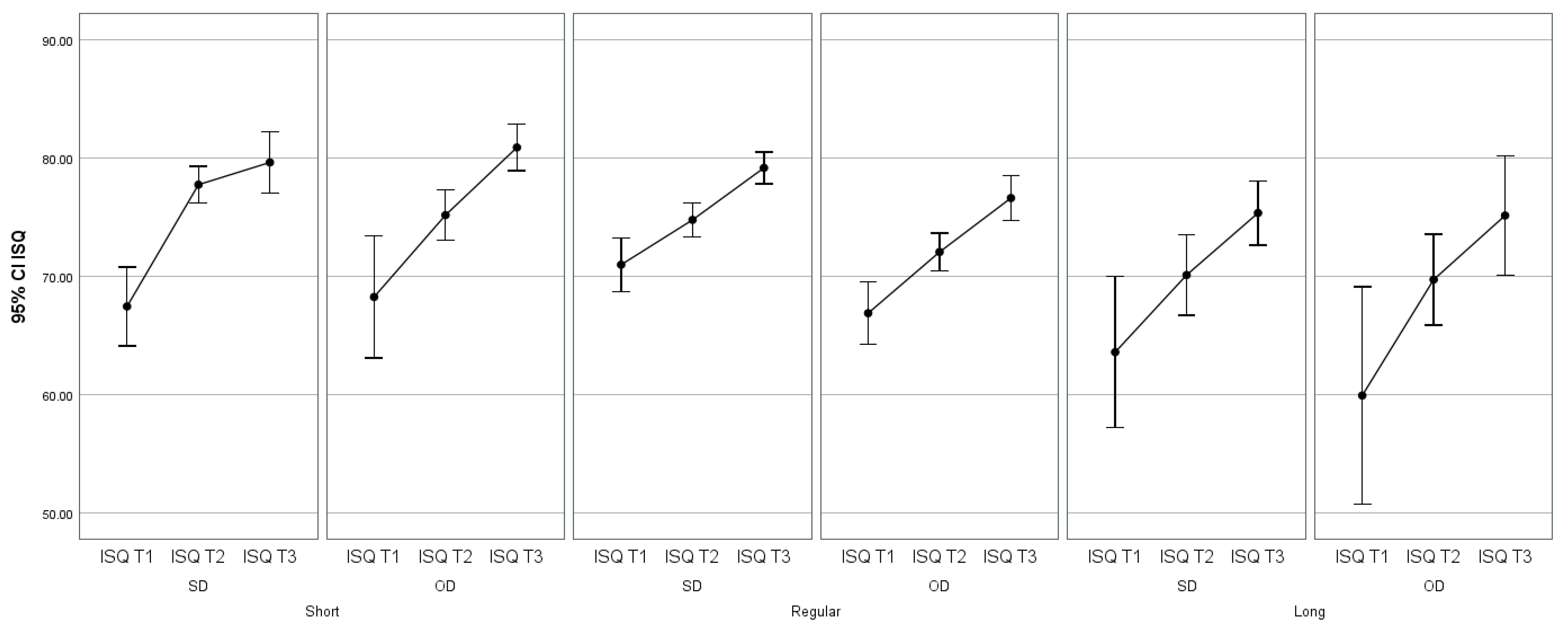
3. Results
4. Discussion
5. Conclusions
Author Contributions
Funding
Institutional Review Board Statement
Informed Consent Statement
Data Availability Statement
Conflicts of Interest
References
- Branemark, P.; Adell, R.; Albrektsson, T.; Lundkvist, U.; Rockler, B. Osseointegrated titanium fixtures in the treatment of edentulousness. Biomaterials 1983, 4, 25–28. [Google Scholar] [CrossRef] [PubMed]
- Witek, L.; Neiva, R.; Alifarag, A.; Shahraki, F.; Sayah, G.; Tovar, N.; Lopez, C.D.; Gil, L.; Coelho, P.G. Absence of Healing Impairment in Osteotomies Prepared via Osseodensification Drilling. Int. J. Periodontics Restor. Dent. 2019, 39, 65–71. [Google Scholar] [CrossRef] [PubMed]
- Jarikian, S.; Jaafo, M.H.; Al-Nerabieah, Z. Clinical evaluation of two techniques for narrow alveolar ridge expansion: Clinical study. Int. J. Dent. Oral Sci. 2021, 8, 1047–1052. [Google Scholar] [CrossRef]
- de Oliveira, P.G.F.P.; Bergamo, E.T.P.; Neiva, R.; Bonfante, E.A.; Witek, L.; Tovar, N.; Coelho, P.G. Osseodensification outperforms conventional implant subtractive instrumentation: A study in sheep. Mater. Sci. Eng. C 2018, 90, 300–307. [Google Scholar] [CrossRef] [PubMed]
- Ottoni, J.M.; Oliveira, Z.F.; Mansini, R.; Cabral, A.M. Correlation between placement torque and survival of single-tooth implants. Int. J. Oral Maxillofac. Implant. 2005, 20, 769–776. [Google Scholar] [PubMed]
- Trisi, P.; Todisco, M.; Consolo, U.; Travaglini, D. High versus low implant insertion torque: A histologic, histomorphometric, and biomechanical study in the sheep mandible. Int. J. Oral Maxillofac. Implant. 2011, 26, 837–849. [Google Scholar] [PubMed]
- Inchingolo, A.D.; Inchingolo, A.M.; Bordea, I.R.; Xhajanka, E.; Romeo, D.M.; Romeo, M.; Zappone, C.M.F.; Malcangi, G.; Scarano, A.; Lorusso, F.; et al. The effectiveness of osseodensification drilling protocol for implant site osteotomy: A systematic review of the literature and meta-analysis. Materials 2021, 14, 1147. [Google Scholar] [CrossRef] [PubMed]
- Bonfante, E.A.; Jimbo, R.; Witek, L.; Tovar, N.; Neiva, R.; Torroni, A.; Coelho, P.G. Biomaterial and biomechanical considerations to prevent risks in implant therapy. Periodontology 2000 2019, 81, 139–151. [Google Scholar] [CrossRef] [PubMed]
- Formiga, M.d.C.; Grzech-Lesniak, K.; Moraschini, V.; Shibli, J.A.; Neiva, R. Effects of Osseodensification on Immediate Implant Placement: Retrospective Analysis of 211 Implants. Materials 2022, 15, 3539. [Google Scholar] [CrossRef] [PubMed]
- Trisi, P.; Berardini, M.; Falco, A.; Podaliri Vulpiani, M. New osseodensification implant site preparation method to increase bone density in low-density bone: In vivo evaluation in sheep. Implant Dent. 2016, 25, 24–31. [Google Scholar] [CrossRef] [PubMed]
- Lahens, B.; Neiva, R.; Tovar, N.; Alifarag, A.M.; Jimbo, R.; Bonfante, E.A.; Bowers, M.M.; Cuppini, M.; Freitas, H.; Witek, L.; et al. Biomechanical and histologic basis of osseodensification drilling for endosteal implant placement in low density bone. An experimental study in sheep. J. Mech. Behav. Biomed. Mater. 2016, 63, 56–65. [Google Scholar] [CrossRef] [PubMed]
- Koutouzis, T.; Huwais, S.; Hasan, F.; Trahan, W.; Waldrop, T.; Neiva, R. Alveolar Ridge Expansion by Osseodensification-Mediated Plastic Deformation and Compaction Autografting: A Multicenter Retrospective Study. Implant Dent. 2019, 28, 349–355. [Google Scholar] [CrossRef] [PubMed]
- Ann, D.; Hofbauer, M.; Huwais, S. Osseodensification Facilitates Ridge Expansion 2nd Case Study. Implant. Pract. 2018, 8. [Google Scholar]
- Dwan, K.; Li, T.; Altman, D.G.; Elbourne, D. CONSORT 2010 statement: Extension to randomised crossover trials. BMJ 2019, 366, 1–16. [Google Scholar] [CrossRef] [PubMed]
- Alifarag, A.M.; Lopez, C.D.; Neiva, R.F.; Tovar, N.; Witek, L.; Coelho, P.G. Atemporal osseointegration: Early biomechanical stability through osseodensification. J. Orthop. Res. 2018, 36, 2516–2523. [Google Scholar] [CrossRef] [PubMed]
- Do Vale Souza, J.P.; De Moraes Melo Neto, C.L.; Piacenza, L.T.; Freitas Da Silva, E.V.; De Melo Moreno, A.L.; Penitente, P.A.; Brunetto, J.L.; Dos Santos, D.M.; Goiato, M.C. Relation between Insertion Torque and Implant Stability Quotient: A Clinical Study. Eur. J. Dent. 2021, 15, 618–623. [Google Scholar] [CrossRef] [PubMed]
- Sarfaraz, H.; Johri, S.; Sucheta, P.; Rao, S. Study to assess the relationship between insertion torque value and implant stability quotient and its influence on timing of functional implant loading. J. Indian. Prosthodont. Soc. 2018, 18, 139–146. [Google Scholar] [CrossRef] [PubMed]
- Stoilov, M.; Shafaghi, R.; Stark, H.; Marder, M.; Kraus, D.; Enkling, N. Influence of Implant Macro-Design, -Length, and -Diameter on Primary Implant Stability Depending on Different Bone Qualities Using Standard Drilling Protocols—An In Vitro Analysis. J. Funct. Biomater. 2023, 14, 469. [Google Scholar] [CrossRef]
- Meredith, N.; Alleyne, D.; Cawley, P. Quantitative determination of the stability of the implant-tissue interface using resonance frequency analysis. Clin. Oral Implant. Res. 1996, 7, 261–267. [Google Scholar] [CrossRef] [PubMed]
- Filho, L.C.M.; Cirano, F.R.; Hayashi, F.; Feng, H.S.; Conte, A.; Dib, L.L.; Casati, M.Z. Assessment of the correlation between insertion torque and resonance frequency analysis of implants placed in bone tissue of different densities. J. Oral Implantol. 2014, 40, 259–262. [Google Scholar] [CrossRef] [PubMed]
- Makary, C.; Rebaudi, A.; Sammartino, G.; Naaman, N. Implant primary stability determined by resonance frequency analysis: Correlation with insertion torque, histologic bone volume, and torsional stability at 6 weeks. Implant Dent. 2012, 21, 474–480. [Google Scholar] [CrossRef] [PubMed]
- Fontes Pereira, J.; Costa, R.; Nunes Vasques, M.; Salazar, F.; Mendes, J.M.; Infante da Câmara, M. Osseodensification: An Alternative to Conventional Osteotomy in Implant Site Preparation: A Systematic Review. J. Clin. Med. 2023, 12, 7046. [Google Scholar] [CrossRef] [PubMed]
- Bergamo, E.T.P.; Zahoui, A.; Barrera, R.B.; Huwais, S.; Coelho, P.G.; Karateew, E.D.; Bonfante, E.A. Osseodensification effect on implants primary and secondary stability: Multicenter controlled clinical trial. Clin. Implant Dent. Relat. Res. 2021, 23, 317–328. [Google Scholar] [CrossRef] [PubMed]
- Büchter, A.; Kleinheinz, J.; Wiesmann, H.P.; Kersken, J.; Nienkemper, M.; Von Weyhrother, H.; Joos, U.; Meyer, U. Biological and biomechanical evaluation of bone remodelling and implant stability after using an osteotome technique. Clin. Oral Implant. Res. 2005, 16, 1–8. [Google Scholar] [CrossRef] [PubMed]
- Zitzmann, N.U.; Schärer, P. Sinus elevation procedures in the resorbed posterior maxilla: Comparison of the crestal and lateral approaches. Oral Surg. Oral Med. Oral Pathol. Oral Radiol. Endod. 1998, 85, 8–17. [Google Scholar] [CrossRef] [PubMed]
- Frost, H.M. A brief review for orthopedic surgeons: Fatigue damage (microdamage) in bone (its determinants and clinical implications). J. Orthop. Sci. 1998, 3, 272–281. [Google Scholar] [CrossRef]
- Heimes, D.; Becker, P.; Pabst, A.; Smeets, R.; Kraus, A.; Hartmann, A.; Sagheb, K.; Kämmerer, P.W. How does dental implant macrogeometry affect primary implant stability? A narrative review. Int. J. Implant Dent. 2023, 9, 1–11. [Google Scholar] [CrossRef] [PubMed]
- Raz, P.; Meir, H.; Levartovsky, S.; Sebaoun, A.; Beitlitum, I. Primary Implant Stability Analysis of Different Dental Implant Connections and Designs—An In Vitro Comparative Study. Materials 2022, 15, 3072. [Google Scholar] [CrossRef] [PubMed]
- Costa, J.A.; Mendes, J.M.; Salazar, F.; Pacheco, J.J.; Rompante, P.; Moreira, J.F.; Mesquita, J.D.; Adubeiro, N.; da Câmara, M.I. Osseodensification vs. Conventional Osteotomy: A Case Series with Cone Beam Computed Tomography. J. Clin. Med. 2024, 13, 1568. [Google Scholar] [CrossRef] [PubMed]
- Yamaguchi, Y.; Shiota, M.; Munakata, M.; Kasugai, S.; Ozeki, M. Effect of implant design on primary stability using torque-time curves in artificial bone. Int. J. Implant Dent. 2015, 1, 1–7. [Google Scholar] [CrossRef] [PubMed]
- Al-Nawas, B.; Groetz, K.A.; Goetz, H.; Duschner, H.; Wagner, W. Comparative histomorphometry and resonance frequency analysis of implants with moderately rough surfaces in a loaded animal model. Clin. Oral Implant. Res. 2008, 19, 1–8. [Google Scholar] [CrossRef] [PubMed]
- Ivanoff, C.J.; Sennerby, L.; Johansson, C.; Rangert, B.; Lekholm, U. Influence of implant diameters on the integration of screw implants: An experimental study in rabbits. Int. J. Oral Maxillofac. Surg. 1997, 26, 141–148. [Google Scholar] [CrossRef] [PubMed]
- Kido, H.; Schulz, E.E.; Kumar, A.; Lozada, J.; Saha, S. Implant diameter and bone density: Effect on initial stability and pull-out resistance. J. Oral Implantol. 1997, 23, 163–169. [Google Scholar] [PubMed]
- Alghamdi, H.S. Methods to improve osseointegration of dental implants in low quality (type-IV) bone: An overview. J. Funct. Biomater. 2018, 9, 7. [Google Scholar] [CrossRef] [PubMed]
- Lekholm, U.; Zarb, G. Patient selection and preparation. In Tissue-Integrated Prostheses: Osseointegration in Clinical Dentistry; Brånemark, P.I., Zarb, G.A., Albrektsson, T., Eds.; Quintessence Publishing Co., Inc.: Chicago, IL, USA, 1985; pp. 199–209. [Google Scholar]
- Norton, M.R.; Gamble, C. Bone classification: An objective scale of bone density using the computerized tomography scan. Clin. Oral Implant. Res. 2001, 12, 79–84. [Google Scholar] [CrossRef] [PubMed]
- Turkyilmaz, I.; Tumer, C.; Ozbek, E.N.; Tözüm, T.F. Relations between the bone density values from computerized tomography, and implant stability parameters: A clinical study of 230 regular platform implants. J. Clin. Periodontol. 2007, 34, 716–722. [Google Scholar] [CrossRef] [PubMed]
- Trisi, P.; Perfetti, G.; Baldoni, E.; Berardi, D.; Colagiovanni, M.; Scogna, G. Implant micromotion is related to peak insertion torque and bone density. Clin. Oral Implant. Res. 2009, 20, 467–471. [Google Scholar] [CrossRef] [PubMed]














| Straumann® BLT | Drilling Sequence | ||||||
|---|---|---|---|---|---|---|---|
| Geometry | Implant Diameter | Type of Bone | Needle Drill Ø 1.6 mm (800 rpm) | Pilot Drill Ø 2.2 mm (800 rpm) | BLT Drill Ø 2.8 mm (600 rpm) | Profile Drill Ø 3.3 mm (300 rpm) | BLT Tap Ø 3.3 mm (15 rpm) |
| Tapered | Ø 3.3 mm | Type I | • | • | • | • | • * |
| Type II | • | • | • | • * | |||
| Type III | • | • | • * | ||||
| Type IV | • | • * | |||||
| Straumann® BLT | Drilling Sequence | |||||||
|---|---|---|---|---|---|---|---|---|
| Geometry | Implant Diameter | Type of Bone | Needle Drill Ø 1.6 mm (800 rpm) | Pilot Drill Ø 2.2 mm (800 rpm) | BLT Drill Ø 2.8 mm (600 rpm) | BLT Drill Ø 3.5 mm (500 rpm) | Profile Drill Ø 4.1 mm (300 rpm) | BLT Tap Ø 4.1 mm (15 rpm) |
| Tapered | Ø 4.1 mm | Type I | • | • | • | • | • | • * |
| Type II | • | • | • | • | • * | |||
| Type III | • | • | • | • * | ||||
| Type IV | • | • | • | • * | ||||
| Straumann® BLT | Drilling Sequence | ||||||||
|---|---|---|---|---|---|---|---|---|---|
| Geometry | Implant Diameter | Type of Bone | Needle Drill Ø 1.6 mm (800 rpm) | Pilot Drill Ø 2.2 mm (800 rpm) | BLT Drill Ø 2.8 mm (600 rpm) | BLT Drill Ø 3.5 mm (500 rpm) | BLT Drill Ø 4.2 mm (400 rpm) | Profile Drill Ø 4.8 mm (300 rpm) | BLT Tap Ø 4.8 mm (15 rpm) |
| Tapered | Ø 4.8 mm | Type I | • | • | • | • | • | • | • * |
| Type II | • | • | • | • | • | • * | |||
| Type III | • | • | • | • | • * | ||||
| Type IV | • | • | • | • * | |||||
| Straumann® | Soft Bone (Type III and IV) | ||||
|---|---|---|---|---|---|
| Geometry | Implant Diameter | Pilot | Bur 1 | Bur 2 | Bur 3 |
| Tapered | Ø 3.3 mm | Pilot drill | VT1828 * (2.3) | — | — |
| Ø 4.1 mm | Pilot drill | VT1525 (2.0) | VT2535 * (3.0) | — | |
| Ø 4.8 mm | Pilot drill | VT1525 (2.0) | VT2535 (3.0) | VT3545 * (4.0) | |
| Gender | n | % | CI 95.0% | |
|---|---|---|---|---|
| LCL | UCL | |||
| F | 55 | 61.1% | 50.8% | 70.7% |
| M | 35 | 38.9% | 29.3% | 49.2% |
| Total | 90 | 100.0% | ||
| Gender | Total | |||
|---|---|---|---|---|
| F | M | |||
| Age | Mean | 47.7 | 50.3 | 48.7 |
| Median | 49.0 | 48.0 | 48.5 | |
| Standard deviation | 12.7 | 11.2 | 12.1 | |
| Minimum | 19.0 | 20.0 | 19.0 | |
| Maximum | 72.0 | 69.0 | 72.0 | |
| Percentile 25 | 37.0 | 44.0 | 42.0 | |
| Percentile 75 | 56.0 | 59.0 | 57.0 | |
| n | % | CI 95.0% | |||
|---|---|---|---|---|---|
| LCL | UCL | ||||
| Smoker | N | 74 | 82.2% | 73.4% | 89.0% |
| Y | 16 | 17.8% | 11.0% | 26.6% | |
| Total | 90 | 100.0% | |||
| Systemic Disease | N | 71 | 78.9% | 69.6% | 86.3% |
| Y | 19 | 21.1% | 13.7% | 30.4% | |
| Total | 90 | 100.0% | |||
| Number of cigarettes/day | 4 | 1 | 6.3% | 0.7% | 25.7% |
| 5 | 1 | 6.3% | 0.7% | 25.7% | |
| 6 | 1 | 6.3% | 0.7% | 25.7% | |
| 10 | 5 | 31.3% | 13.1% | 55.6% | |
| 15 | 2 | 12.5% | 2.7% | 34.4% | |
| 20 | 6 | 37.5% | 17.4% | 61.7% | |
| Total | 16 | 100.0% | |||
| Surgical Techniques | |||||||||||||
|---|---|---|---|---|---|---|---|---|---|---|---|---|---|
| SD | OD | Total | |||||||||||
| n | % | CI 95.0% | n | % | CI 95.0% | n | % | CI 95.0% | |||||
| LCL for % | UCL for % | LCL for % | UCL for % | LCL for % | UCL for % | ||||||||
| Implant diameter (mm) | Narrow | 26 | 16.3% | 11.2% | 22.5% | 25 | 21.2% | 14.6% | 29.2% | 51 | 18.3% | 14.1% | 23.2% |
| Regular | 132 | 82.4% | 76.1% | 87.8% | 90 | 76.3% | 68.0% | 83.2% | 222 | 79.9% | 74.8% | 84.2% | |
| Wide | 2 | 1.3% | 0.3% | 3.9% | 3 | 2.5% | 0.7% | 6.6% | 5 | 1.8% | 0.7% | 3.9% | |
| Total | 160 | 100% | . | . | 118 | 100.0% | . | . | 278 | 100.0% | . | . | |
| Implant length (mm) | 8 | 33 | 20.6% | 14.9% | 27.4% | 30 | 25.4% | 18.2% | 33.8% | 63 | 22.7% | 18.0% | 27.8% |
| 10 | 65 | 40.6% | 33.2% | 48.3% | 51 | 43.2% | 34.5% | 52.2% | 116 | 41.7% | 36.0% | 47.6% | |
| 12 | 37 | 23.1% | 17.1% | 30.1% | 25 | 21.2% | 14.6% | 29.2% | 62 | 22.3% | 17.7% | 27.5% | |
| 14 | 9 | 5.6% | 2.8% | 10.0% | 7 | 5.9% | 2.7% | 11.3% | 16 | 5.8% | 3.5% | 9.0% | |
| 16 | 7 | 4.4% | 2.0% | 8.4% | 3 | 2.5% | 0.7% | 6.6% | 10 | 3.6% | 1.9% | 6.3% | |
| 18 | 9 | 5.6% | 2.8% | 10.0% | 2 | 1.7% | 0.4% | 5.3% | 11 | 4.0% | 2.1% | 6.7% | |
| Total | 160 | 100.0% | . | . | 118 | 100.0% | . | . | 278 | 100.0% | . | . | |
| Arch | Maxilla | 78 | 48.8% | 41.1% | 56.5% | 86 | 72.9% | 64.4% | 80.3% | 164 | 59.0% | 53.1% | 64.7% |
| Mandible | 82 | 51.3% | 43.5% | 58.9% | 32 | 27.1% | 19.7% | 35.6% | 114 | 41.0% | 35.3% | 46.9% | |
| Total | 160 | 100.0% | . | . | 118 | 100.0% | . | . | 278 | 100.0% | . | . | |
| Position | 11 | 1 | 0.6% | 0.1% | 2.9% | 0 | 0.0% | . | . | 1 | 0.4% | 0.0% | 1.7% |
| 12 | 3 | 1.9% | 0.5% | 4.9% | 2 | 1.7% | 0.4% | 5.3% | 5 | 1.8% | 0.7% | 3.9% | |
| 13 | 4 | 2.5% | 0.8% | 5.8% | 2 | 1.7% | 0.4% | 5.3% | 6 | 2.2% | 0.9% | 4.4% | |
| 14 | 15 | 9.4% | 5.6% | 14.6% | 6 | 5.1% | 2.1% | 10.2% | 21 | 7.6% | 4.9% | 11.1% | |
| 15 | 15 | 9.4% | 5.6% | 14.6% | 13 | 11.0% | 6.3% | 17.6% | 28 | 10.1% | 6.9% | 14.0% | |
| 16 | 9 | 5.6% | 2.8% | 10.0% | 14 | 11.9% | 7.0% | 18.6% | 23 | 8.3% | 5.5% | 11.9% | |
| 17 | 3 | 1.9% | 0.5% | 4.9% | 3 | 2.5% | 0.7% | 6.6% | 6 | 2.2% | 0.9% | 4.4% | |
| 21 | 0 | 0.0% | . | . | 1 | 0.8% | 0.1% | 3.9% | 1 | 0.4% | 0.0% | 1.7% | |
| 22 | 5 | 3.1% | 1.2% | 6.7% | 2 | 1.7% | 0.4% | 5.3% | 7 | 2.5% | 1.1% | 4.9% | |
| 23 | 2 | 1.3% | 0.3% | 3.9% | 2 | 1.7% | 0.4% | 5.3% | 4 | 1.4% | 0.5% | 3.4% | |
| 24 | 5 | 3.1% | 1.2% | 6.7% | 12 | 10.2% | 5.7% | 16.6% | 17 | 6.1% | 3.7% | 9.4% | |
| 25 | 11 | 6.9% | 3.7% | 11.6% | 11 | 9.3% | 5.1% | 15.6% | 22 | 7.9% | 5.2% | 11.5% | |
| 26 | 5 | 3.1% | 1.2% | 6.7% | 13 | 11.0% | 6.3% | 17.6% | 18 | 6.5% | 4.0% | 9.8% | |
| 27 | 0 | 0.0% | . | . | 5 | 4.2% | 1.6% | 9.0% | 5 | 1.8% | 0.7% | 3.9% | |
| 32 | 1 | 0.6% | 0.1% | 2.9% | 2 | 1.7% | 0.4% | 5.3% | 3 | 1.1% | 0.3% | 2.9% | |
| 34 | 6 | 3.8% | 1.6% | 7.6% | 1 | 0.8% | 0.1% | 3.9% | 7 | 2.5% | 1.1% | 4.9% | |
| 35 | 3 | 1.9% | 0.5% | 4.9% | 2 | 1.7% | 0.4% | 5.3% | 5 | 1.8% | 0.7% | 3.9% | |
| 36 | 22 | 13.8% | 9.1% | 19.7% | 4 | 3.4% | 1.2% | 7.9% | 26 | 9.4% | 6.3% | 13.2% | |
| 37 | 8 | 5.0% | 2.4% | 9.2% | 3 | 2.5% | 0.7% | 6.6% | 11 | 4.0% | 2.1% | 6.7% | |
| 42 | 3 | 1.9% | 0.5% | 4.9% | 0 | 0.0% | . | . | 3 | 1.1% | 0.3% | 2.9% | |
| 44 | 5 | 3.1% | 1.2% | 6.7% | 2 | 1.7% | 0.4% | 5.3% | 7 | 2.5% | 1.1% | 4.9% | |
| 45 | 7 | 4.4% | 2.0% | 8.4% | 7 | 5.9% | 2.7% | 11.3% | 14 | 5.0% | 2.9% | 8.1% | |
| 46 | 17 | 10.6% | 6.6% | 16.1% | 9 | 7.6% | 3.8% | 13.5% | 26 | 9.4% | 6.3% | 13.2% | |
| 47 | 10 | 6.3% | 3.3% | 10.8% | 2 | 1.7% | 0.4% | 5.3% | 12 | 4.3% | 2.4% | 7.2% | |
| Total | 160 | 100.0% | . | . | 118 | 100.0% | . | . | 278 | 100.0% | . | . | |
| Operated Area | Anterior | 19 | 11.9% | 7.6% | 17.6% | 11 | 9.3% | 5.1% | 15.6% | 30 | 10.8% | 7.6% | 14.8% |
| Posterior | 141 | 88.1% | 82.4% | 92.4% | 107 | 90.7% | 84.4% | 94.9% | 248 | 89.2% | 85.2% | 92.4% | |
| Total | 160 | 100.0% | . | . | 118 | 100.0% | . | . | 278 | 100.0% | . | . | |
| Maxilla ISQ T1 | Mandible ISQ T1 | Anterior ISQ T1 | Posterior ISQ T1 | Narrow ISQ T1 | Regular ISQ T1 | Wide ISQ T1 | Short ISQ T1 | Regular ISQ T1 | Long ISQ T1 | SD ISQ T1 | OD ISQ T1 | Total ISQ | |
|---|---|---|---|---|---|---|---|---|---|---|---|---|---|
| Maxilla IT | r = 0.192 * p = 0.014 | ||||||||||||
| Mandible IT | r = 0.315 * p < 0.001 | ||||||||||||
| Anterior IT | r = −0.003 p = 0.988 | ||||||||||||
| Posterior IT | r = 0.326 * p < 0.001 | ||||||||||||
| Narrow IT | r = 0.195 p = 0.171 | ||||||||||||
| Regular IT | r = 0.242 * p < 0.001 | ||||||||||||
| Wide IT | r = 0.903 * p = 0.036 | ||||||||||||
| Short IT | r = 0.413 * p < 0.001 | ||||||||||||
| Regular IT | r = 0.310 * p < 0.001 | ||||||||||||
| Long IT | r = 0.058 p = 0.734 | ||||||||||||
| SD IT | r = 0.290 * p < 0.001 | ||||||||||||
| OD IT | r = 0.221 * p = 0.016 | ||||||||||||
| Total IT | r = 0.263 * p < 0.001 |
Disclaimer/Publisher’s Note: The statements, opinions and data contained in all publications are solely those of the individual author(s) and contributor(s) and not of MDPI and/or the editor(s). MDPI and/or the editor(s) disclaim responsibility for any injury to people or property resulting from any ideas, methods, instructions or products referred to in the content. |
© 2024 by the authors. Licensee MDPI, Basel, Switzerland. This article is an open access article distributed under the terms and conditions of the Creative Commons Attribution (CC BY) license (https://creativecommons.org/licenses/by/4.0/).
Share and Cite
Fontes Pereira, J.; Costa, R.; Nunes Vasques, M.; Relvas, M.; Braga, A.C.; Salazar, F.; Infante da Câmara, M. The Effectiveness of Osseodensification Drilling versus the Conventional Surgical Technique on Implant Stability: A Clinical Trial. J. Clin. Med. 2024, 13, 2912. https://doi.org/10.3390/jcm13102912
Fontes Pereira J, Costa R, Nunes Vasques M, Relvas M, Braga AC, Salazar F, Infante da Câmara M. The Effectiveness of Osseodensification Drilling versus the Conventional Surgical Technique on Implant Stability: A Clinical Trial. Journal of Clinical Medicine. 2024; 13(10):2912. https://doi.org/10.3390/jcm13102912
Chicago/Turabian StyleFontes Pereira, João, Rosana Costa, Miguel Nunes Vasques, Marta Relvas, Ana Cristina Braga, Filomena Salazar, and Marco Infante da Câmara. 2024. "The Effectiveness of Osseodensification Drilling versus the Conventional Surgical Technique on Implant Stability: A Clinical Trial" Journal of Clinical Medicine 13, no. 10: 2912. https://doi.org/10.3390/jcm13102912
APA StyleFontes Pereira, J., Costa, R., Nunes Vasques, M., Relvas, M., Braga, A. C., Salazar, F., & Infante da Câmara, M. (2024). The Effectiveness of Osseodensification Drilling versus the Conventional Surgical Technique on Implant Stability: A Clinical Trial. Journal of Clinical Medicine, 13(10), 2912. https://doi.org/10.3390/jcm13102912

