Hepatic Resection in Patients with Colo-Rectal Liver Metastases: Surgical Outcomes and Prognostic Factors of Single-Center Experience
Abstract
1. Introduction
2. Materials and Methods
3. Results
3.1. Patient Characteristics
3.2. Factors Associated with DFS and OS
4. Discussion
Limitations
5. Conclusions
Author Contributions
Funding
Institutional Review Board Statement
Informed Consent Statement
Data Availability Statement
Conflicts of Interest
References
- Engstrand, J.; Strömberg, C.; Nilsson, H.; Freedman, J.; Jonas, E. Synchronous and metachronous liver metastases in patients with colorectal cancer-towards a clinically relevant definition. World J. Surg. Oncol. 2019, 17, 228. [Google Scholar] [CrossRef] [PubMed]
- Hackl, C.; Neumann, P.; Gerken, M.; Loss, M.; Klinkhammer-Schalke, M.; Schlitt, H.J. Treatment of colorectal liver metastases in Germany: A ten-year population-based analysis of 5772 cases of primary colorectal adenocarcinoma. BMC Cancer 2014, 14, 810. [Google Scholar] [CrossRef] [PubMed]
- Avella, P.; Vaschetti, R.; Cappuccio, M.; Gambale, F.; DE Meis, L.; Rafanelli, F.; Brunese, M.C.; Guerra, G.; Scacchi, A.; Rocca, A. The role of liver surgery in simultaneous synchronous colorectal liver metastases and colorectal cancer resections: A literature review of 1730 patients underwent open and minimally invasive surgery. Minerva Surg. 2022, 77, 582–590. [Google Scholar] [CrossRef]
- Conticchio, M.; Maggialetti, N.; Rescigno, M.; Brunese, M.C.; Vaschetti, R.; Inchingolo, R.; Calbi, R.; Ferraro, V.; Tedeschi, M.; Fantozzi, M.R.; et al. Hepatocellular Carcinoma with Bile Duct Tumor Thrombus: A Case Report and Literature Review of 890 Patients Affected by Uncommon Primary Liver Tumor Presentation. J. Clin. Med. 2023, 12, 423. [Google Scholar] [CrossRef] [PubMed]
- Manfredi, S.; Lepage, C.; Hatem, C.; Coatmeur, O.; Faivre, J.; Bouvier, A.M. Epidemiology and management of liver metastases from colorectal cancer. Ann. Surg. 2006, 244, 254–259. [Google Scholar] [CrossRef]
- Engstrand, J.; Nilsson, H.; Strömberg, C.; Jonas, E.; Freedman, J. Colorectal cancer liver metastases—A population-based study on incidence, management and survival. BMC Cancer 2018, 18, 78. [Google Scholar] [CrossRef]
- Carbone, F.; Chee, Y.; Rasheed, S.; Cunningham, D.; Bhogal, R.H.; Jiao, L.; Tekkis, P.; Kontovounisios, C. Which surgical strategy for colorectal cancer with synchronous hepatic metastases provides the best outcome? A comparison between primary first, liver first and simultaneous approach. Updates Surg. 2022, 74, 451–465. [Google Scholar] [CrossRef]
- Elferink, M.A.; de Jong, K.P.; Klaase, J.M.; Siemerink, E.J.; de Wilt, J.H. Metachronous metastases from colorectal cancer: A population-based study in North-East Netherlands. Int. J. Colorectal Dis. 2015, 30, 205–212. [Google Scholar] [CrossRef]
- Chong, G.; Cunningham, D. Improving long-term outcomes for patients with liver metastases from colorectal cancer. J. Clin. Oncol. 2005, 23, 9063–9066. [Google Scholar] [CrossRef]
- Wang, H.W.; Jin, K.M.; Li, J.; Wang, K.; Xing, B.C. Postoperative complications predict poor outcomes only in patients with a low modified clinical score after resection of colorectal liver metastases: A retrospective cohort study. Updates Surg. 2022, 74, 1601–1610. [Google Scholar] [CrossRef]
- Rocca, A.; Brunese, M.C.; Santone, A.; Avella, P.; Bianco, P.; Scacchi, A.; Scaglione, M.; Bellifemine, F.; Danzi, R.; Varriano, G.; et al. Early Diagnosis of Liver Metastases from Colorectal Cancer through CT Radiomics and Formal Methods: A Pilot Study. J. Clin. Med. 2021, 11, 31. [Google Scholar] [CrossRef] [PubMed]
- Rocca, A.; Scacchi, A.; Cappuccio, M.; Avella, P.; Bugiantella, W.; De Rosa, M.; Costa, G.; Polistena, A.; Codacci-Pisanelli, M.; Amato, B.; et al. Robotic surgery for colorectal liver metastases resection: A systematic review. Int. J. Med. Robot 2021, 17, e2330. [Google Scholar] [CrossRef] [PubMed]
- House, M.G.; Ito, H.; Gönen, M.; Fong, Y.; Allen, P.J.; DeMatteo, R.P.; Brennan, M.F.; Blumgart, L.H.; Jarnagin, W.R.; D’Angelica, M.I. Survival after hepatic resection for metastatic colorectal cancer: Trends in outcomes for 1600 patients during two decades at a single institution. J. Am. Coll. Surg. 2010, 210, 744–752, 752–745. [Google Scholar] [CrossRef]
- Wang, J.; Li, S.; Liu, Y.; Zhang, C.; Li, H.; Lai, B. Metastatic patterns and survival outcomes in patients with stage IV colon cancer: A population-based analysis. Cancer Med. 2020, 9, 361–373. [Google Scholar] [CrossRef]
- Hallet, J.; Sa Cunha, A.; Adam, R.; Goéré, D.; Bachellier, P.; Azoulay, D.; Ayav, A.; Grégoire, E.; Navarro, F.; Pessaux, P. Factors influencing recurrence following initial hepatectomy for colorectal liver metastases. Br. J. Surg. 2016, 103, 1366–1376. [Google Scholar] [CrossRef] [PubMed]
- Rocca, A.; Porfidia, C.; Russo, R.; Tamburrino, A.; Avella, P.; Vaschetti, R.; Bianco, P.; Calise, F. Neuraxial anesthesia in hepato-pancreatic-bilio surgery: A first western pilot study of 46 patients. Updates Surg. 2023. [Google Scholar] [CrossRef]
- Komici, K.; Cappuccio, M.; Scacchi, A.; Vaschetti, R.; Delli Carpini, G.; Picerno, V.; Avella, P.; Brunese, M.C.; Rengo, G.; Guerra, G.; et al. The Prevalence and the Impact of Frailty in Hepato-Biliary Pancreatic Cancers: A Systematic Review and Meta-Analysis. J. Clin. Med. 2022, 11, 1116. [Google Scholar] [CrossRef]
- Rocca, A.; Calise, F.; Marino, G.; Montagnani, S.; Cinelli, M.; Amato, B.; Guerra, G. Primary giant hepatic neuroendocrine carcinoma: A case report. Int. J. Surg. 2014, 12 (Suppl. 1), S218–S221. [Google Scholar] [CrossRef]
- Masetti, M.; Fallani, G.; Ratti, F.; Ferrero, A.; Giuliante, F.; Cillo, U.; Guglielmi, A.; Ettorre, G.M.; Torzilli, G.; Vincenti, L.; et al. Minimally invasive treatment of colorectal liver metastases: Does robotic surgery provide any technical advantages over laparoscopy? A multicenter analysis from the IGoMILS (Italian Group of Minimally Invasive Liver Surgery) registry. Updates Surg. 2022, 74, 535–545. [Google Scholar] [CrossRef] [PubMed]
- Aldrighetti, L.; Boggi, U.; Falconi, M.; Giuliante, F.; Cipriani, F.; Ratti, F.; Torzilli, G. Perspectives from Italy during the COVID-19 pandemic: Nationwide survey-based focus on minimally invasive HPB surgery. Updates Surg. 2020, 72, 241–247. [Google Scholar] [CrossRef]
- Calise, F.; Giuliani, A.; Sodano, L.; Crolla, E.; Bianco, P.; Rocca, A.; Ceriello, A. Segmentectomy: Is minimally invasive surgery going to change a liver dogma? Updates Surg. 2015, 67, 111–115. [Google Scholar] [CrossRef]
- Ceccarelli, G.; Rocca, A.; De Rosa, M.; Fontani, A.; Ermili, F.; Andolfi, E.; Bugiantella, W.; Levi Sandri, G.B. Minimally invasive robotic-assisted combined colorectal and liver excision surgery: Feasibility, safety and surgical technique in a pilot series. Updates Surg. 2021, 73, 1015–1022. [Google Scholar] [CrossRef]
- Ceccarelli, G.; Andolfi, E.; Fontani, A.; Calise, F.; Rocca, A.; Giuliani, A. Robot-assisted liver surgery in a general surgery unit with a “Referral Centre Hub&Spoke Learning Program”. Early outcomes after our first 70 consecutive patients. Minerva Chir. 2018, 73, 460–468. [Google Scholar] [CrossRef]
- Loffredo, D.; Marvaso, A.; Ceraso, S.; Cinelli, N.; Rocca, A.; Vitale, M.; Rossi, M.; Genovese, E.; Amato, B.; Cinelli, M. Minimal invasive surgery in treatment of liver metastases from colorectal carcinomas: Case studies and survival rates. BMC Surg. 2013, 13 (Suppl. 2), S45. [Google Scholar] [CrossRef] [PubMed]
- Milana, F.; Galvanin, J.; Sommacale, D.; Brustia, R. Left hepatectomy and microwave ablation for bilobar colorectal metastases: Video description of a “complicated” robotic approach. Updates Surg. 2022, 74, 2019–2021. [Google Scholar] [CrossRef] [PubMed]
- Price, T.J.; Beeke, C.; Ullah, S.; Padbury, R.; Maddern, G.; Roder, D.; Townsend, A.R.; Moore, J.; Roy, A.; Tomita, Y.; et al. Does the primary site of colorectal cancer impact outcomes for patients with metastatic disease? Cancer 2015, 121, 830–835. [Google Scholar] [CrossRef]
- Nitsche, U.; Stögbauer, F.; Späth, C.; Haller, B.; Wilhelm, D.; Friess, H.; Bader, F.G. Right Sided Colon Cancer as a Distinct Histopathological Subtype with Reduced Prognosis. Dig. Surg. 2016, 33, 157–163. [Google Scholar] [CrossRef] [PubMed]
- Jess, P.; Hansen, I.O.; Gamborg, M.; Jess, T. A nationwide Danish cohort study challenging the categorisation into right-sided and left-sided colon cancer. BMJ Open 2013, 3, e002608. [Google Scholar] [CrossRef] [PubMed]
- Wang, Z.G.; He, Z.Y.; Chen, Y.Y.; Gao, H.; Du, X.L. Incidence and survival outcomes of secondary liver cancer: A Surveillance Epidemiology and End Results database analysis. Transl. Cancer Res. 2021, 10, 1273–1283. [Google Scholar] [CrossRef]
- Strigalev, M.; Tzedakis, S.; Nassar, A.; Dhote, A.; Gavignet, C.; Gaillard, M.; Marchese, U.; Fuks, D. Intra-operative indocyanine green fluorescence imaging in hepatobiliary surgery: A narrative review of the literature as a useful guide for the surgeon. Updates Surg. 2023, 75, 23–29. [Google Scholar] [CrossRef]
- Gallo, G.; Picciariello, A.; Di Tanna, G.L.; Santoro, G.A.; Perinotti, R.; Aiello, D.; Avanzolini, A.; Balestra, F.; Bianco, F.; Binda, G.A.; et al. E-consensus on telemedicine in colorectal surgery: A RAND/UCLA-modified study. Updates Surg. 2021, 170, 405–411. [Google Scholar]
- Amin, M.; Greene, F.; Edge, S.; Compton, C.; Gerhenwald, J.; Brookland, R.; Meyer, L.; Gress, D.; Byrd, D.; Winchester, D. The Eighth Edition AJCC Cancer Staging Manual: Continuing to build a bridge from a population-based to a more “personalized” approach to cancer staging. CA Cancer J. Clin. 2017, 67, 93–99. [Google Scholar] [CrossRef] [PubMed]
- Owens, W.D.; Felts, J.A.; Spitznagel, E.L., Jr. ASA physical status classifications: A study of consistency of ratings. Anesthesiology 1978, 49, 239–243. [Google Scholar] [CrossRef] [PubMed]
- Strasberg, S.M. Nomenclature of hepatic anatomy and resections: A review of the Brisbane 2000 system. J. Hepatobiliary Pancreat. Surg. 2005, 12, 351–355. [Google Scholar] [CrossRef] [PubMed]
- Dindo, D.; Demartines, N.; Clavien, P.A. Classification of surgical complications: A new proposal with evaluation in a cohort of 6336 patients and results of a survey. Ann. Surg. 2004, 240, 205–213. [Google Scholar] [CrossRef] [PubMed]
- Torre, L.A.; Bray, F.; Siegel, R.L.; Ferlay, J.; Lortet-Tieulent, J.; Jemal, A. Global cancer statistics, 2012. CA Cancer J. Clin. 2015, 65, 87–108. [Google Scholar] [CrossRef]
- Favoriti, P.; Carbone, G.; Greco, M.; Pirozzi, F.; Pirozzi, R.E.; Corcione, F. Worldwide burden of colorectal cancer: A review. Updates Surg. 2016, 68, 7–11. [Google Scholar] [CrossRef] [PubMed]
- Rocca, A.; Cipriani, F.; Belli, G.; Berti, S.; Boggi, U.; Bottino, V.; Cillo, U.; Cescon, M.; Cimino, M.; Corcione, F.; et al. The Italian Consensus on minimally invasive simultaneous resections for synchronous liver metastasis and primary colorectal cancer: A Delphi methodology. Updates Surg. 2021, 73, 1247–1265. [Google Scholar] [CrossRef]
- Sena, G.; Picciariello, A.; Marino, F.; Goglia, M.; Rocca, A.; Meniconi, R.L.; Gallo, G. One-Stage Total Laparoscopic Treatment for Colorectal Cancer With Synchronous Metastasis. Is It Safe and Feasible? Front. Surg. 2021, 8, 752135. [Google Scholar] [CrossRef]
- Ivey, G.D.; Johnston, F.M.; Azad, N.S.; Christenson, E.S.; Lafaro, K.J.; Shubert, C.R. Current Surgical Management Strategies for Colorectal Cancer Liver Metastases. Cancers 2022, 14, 1063. [Google Scholar] [CrossRef]
- Adam, R.; de Gramont, A.; Figueras, J.; Kokudo, N.; Kunstlinger, F.; Loyer, E.; Poston, G.; Rougier, P.; Rubbia-Brandt, L.; Sobrero, A.; et al. Managing synchronous liver metastases from colorectal cancer: A multidisciplinary international consensus. Cancer Treat Rev. 2015, 41, 729–741. [Google Scholar] [CrossRef] [PubMed]
- Ceccarelli, G.; Costa, G.; De Rosa, M.; Codacci Pisanelli, M.; Frezza, B.; De Prizio, M.; Bravi, I.; Scacchi, A.; Gallo, G.; Amato, B.; et al. Minimally Invasive Approach to Gastric GISTs: Analysis of a Multicenter Robotic and Laparoscopic Experience with Literature Review. Cancers 2021, 13, 4351. [Google Scholar] [CrossRef] [PubMed]
- Marte, G.; Scuderi, V.; Rocca, A.; Surfaro, G.; Migliaccio, C.; Ceriello, A. Laparoscopic splenectomy: A single center experience. Unusual cases and expanded inclusion criteria for laparoscopic approach. Updates Surg. 2013, 65, 115–119. [Google Scholar] [CrossRef] [PubMed]
- Martin, J.; Petrillo, A.; Smyth, E.C.; Shaida, N.; Khwaja, S.; Cheow, H.K.; Duckworth, A.; Heister, P.; Praseedom, R.; Jah, A.; et al. Colorectal liver metastases: Current management and future perspectives. World J. Clin. Oncol. 2020, 11, 761–808. [Google Scholar] [CrossRef]
- Gruttadauria, S.; Di Francesco, F.; Miraglia, R. Liver venous deprivation: An interesting approach for regenerative liver surgery. Updates Surg. 2022, 74, 385–386. [Google Scholar] [CrossRef] [PubMed]
- Di Benedetto, F.; Magistri, P.; Guerrini, G.P.; Di Sandro, S. Robotic liver partition and portal vein embolization for staged hepatectomy for perihilar cholangiocarcinoma. Updates Surg. 2022, 74, 773–777. [Google Scholar] [CrossRef]
- Ruzzenente, A.; Alaimo, L.; Conci, S.; De Bellis, M.; Marchese, A.; Ciangherotti, A.; Campagnaro, T.; Guglielmi, A. Hyper accuracy three-dimensional (HA3D™) technology for planning complex liver resections: A preliminary single center experience. Updates Surg. 2022, 75, 105–114. [Google Scholar] [CrossRef]
- Viganò, L.; Procopio, F.; Cimino, M.M.; Donadon, M.; Gatti, A.; Costa, G.; Del Fabbro, D.; Torzilli, G. Is Tumor Detachment from Vascular Structures Equivalent to R0 Resection in Surgery for Colorectal Liver Metastases? An Observational Cohort. Ann. Surg. Oncol. 2016, 23, 1352–1360. [Google Scholar] [CrossRef]
- Van Lienden, K.P.; van den Esschert, J.W.; de Graaf, W.; Bipat, S.; Lameris, J.S.; van Gulik, T.M.; van Delden, O.M. Portal vein embolization before liver resection: A systematic review. Cardiovasc. Intervent Radiol. 2013, 36, 25–34. [Google Scholar] [CrossRef]
- Regimbeau, J.M.; Cosse, C.; Kaiser, G.; Hubert, C.; Laurent, C.; Lapointe, R.; Isoniemi, H.; Adam, R. Feasibility, safety and efficacy of two-stage hepatectomy for bilobar liver metastases of colorectal cancer: A LiverMetSurvey analysis. HPB 2017, 19, 396–405. [Google Scholar] [CrossRef]
- Sandström, P.; Røsok, B.I.; Sparrelid, E.; Larsen, P.N.; Larsson, A.L.; Lindell, G.; Schultz, N.A.; Bjørnbeth, B.A.; Isaksson, B.; Rizell, M.; et al. ALPPS Improves Resectability Compared With Conventional Two-stage Hepatectomy in Patients With Advanced Colorectal Liver Metastasis: Results From a Scandinavian Multicenter Randomized Controlled Trial (LIGRO Trial). Ann. Surg. 2018, 267, 833–840. [Google Scholar] [CrossRef] [PubMed]
- Bednarsch, J.; Czigany, Z.; Sharmeen, S.; van der Kroft, G.; Strnad, P.; Ulmer, T.F.; Isfort, P.; Bruners, P.; Lurje, G.; Neumann, U.P. ALPPS versus two-stage hepatectomy for colorectal liver metastases--a comparative retrospective cohort study. World J. Surg. Oncol. 2020, 18, 140. [Google Scholar] [CrossRef] [PubMed]
- Berardi, G.; Guglielmo, N.; Colasanti, M.; Meniconi, R.L.; Ferretti, S.; Mariano, G.; Usai, S.; Angrisani, M.; Pecoraro, A.; Lucarini, A.; et al. Associating liver partition and portal vein ligation for staged hepatectomy (ALPPS) for advanced hepatocellular carcinoma with macrovascular invasion. Updates Surg. 2022, 74, 927–936. [Google Scholar] [CrossRef] [PubMed]
- Lam, V.W.; Spiro, C.; Laurence, J.M.; Johnston, E.; Hollands, M.J.; Pleass, H.C.; Richardson, A.J. A systematic review of clinical response and survival outcomes of downsizing systemic chemotherapy and rescue liver surgery in patients with initially unresectable colorectal liver metastases. Ann. Surg. Oncol. 2012, 19, 1292–1301. [Google Scholar] [CrossRef] [PubMed]
- Costa, G.; Torzilli, G.; Sorrentino, M.; Donadon, M. Horseshoe hepatectomy: Another step pursuing the concept of parenchyma sparing major hepatectomies. Updates Surg. 2022, 74, 783–787. [Google Scholar] [CrossRef] [PubMed]
- Nordlinger, B.; Sorbye, H.; Glimelius, B.; Poston, G.J.; Schlag, P.M.; Rougier, P.; Bechstein, W.O.; Primrose, J.N.; Walpole, E.T.; Finch-Jones, M.; et al. Perioperative FOLFOX4 chemotherapy and surgery versus surgery alone for resectable liver metastases from colorectal cancer (EORTC 40983): Long-term results of a randomised, controlled, phase 3 trial. Lancet Oncol. 2013, 14, 1208–1215. [Google Scholar] [CrossRef]
- Liu, W.; Zhou, J.G.; Sun, Y.; Zhang, L.; Xing, B.C. The role of neoadjuvant chemotherapy for resectable colorectal liver metastases: A systematic review and meta-analysis. Oncotarget 2016, 7, 37277–37287. [Google Scholar] [CrossRef]
- Fong, Y.; Fortner, J.; Sun, R.L.; Brennan, M.F.; Blumgart, L.H. Clinical score for predicting recurrence after hepatic resection for metastatic colorectal cancer: Analysis of 1001 consecutive cases. Ann. Surg. 1999, 230, 309–318, discussion 318–321. [Google Scholar] [CrossRef]
- Margonis, G.A.; Sasaki, K.; Gholami, S.; Kim, Y.; Andreatos, N.; Rezaee, N.; Deshwar, A.; Buettner, S.; Allen, P.J.; Kingham, T.P.; et al. Genetic And Morphological Evaluation (GAME) score for patients with colorectal liver metastases. Br. J. Surg. 2018, 105, 1210–1220. [Google Scholar] [CrossRef]
- Vera, R.; González-Flores, E.; Rubio, C.; Urbano, J.; Valero Camps, M.; Ciampi-Dopazo, J.J.; Orcajo Rincón, J.; Morillo Macías, V.; Gomez Braco, M.A.; Suarez-Artacho, G. Multidisciplinary management of liver metastases in patients with colorectal cancer: A consensus of SEOM, AEC, SEOR, SERVEI, and SEMNIM. Clin. Transl. Oncol. 2020, 22, 647–662. [Google Scholar] [CrossRef]
- Bartolini, I.; Ringressi, M.N.; Melli, F.; Risaliti, M.; Brugia, M.; Mini, E.; Batignani, G.; Bechi, P.; Boni, L.; Taddei, A. Analysis of Prognostic Factors for Resected Synchronous and Metachronous Liver Metastases from Colorectal Cancer. Gastroenterol. Res. Pract. 2018, 2018, 5353727. [Google Scholar] [CrossRef]
- Pandanaboyana, S.; Bell, R.; White, A.; Pathak, S.; Hidalgo, E.; Lodge, P.; Prasad, R.; Toogood, G. Impact of parenchymal preserving surgery on survival and recurrence after liver resection for colorectal liver metastasis. ANZ J. Surg. 2018, 88, 66–70. [Google Scholar] [CrossRef]
- Moris, D.; Chakedis, J.; Sun, S.H.; Spolverato, G.; Tsilimigras, D.I.; Ntanasis-Stathopoulos, I.; Spartalis, E.; Pawlik, T.M. Management, outcomes, and prognostic factors of ruptured hepatocellular carcinoma: A systematic review. J. Surg. Oncol. 2018, 117, 341–353. [Google Scholar] [CrossRef]
- Hamady, Z.Z.; Lodge, J.P.; Welsh, F.K.; Toogood, G.J.; White, A.; John, T.; Rees, M. One-millimeter cancer-free margin is curative for colorectal liver metastases: A propensity score case-match approach. Ann. Surg. 2014, 259, 543–548. [Google Scholar] [CrossRef] [PubMed]
- Banas, B.; Gwizdak, P.; Zabielska, P.; Kolodziejczyk, P.; Richter, P. Learning Curve for Metastatic Liver Tumor Open Resection in Patients with Primary Colorectal Cancer: Use of the Cumulative Sum Method. Int. J. Environ. Res. Public Health 2022, 19, 1068. [Google Scholar] [CrossRef] [PubMed]
- Fretland, Å.A.; Dagenborg, V.J.; Bjørnelv, G.M.W.; Kazaryan, A.M.; Kristiansen, R.; Fagerland, M.W.; Hausken, J.; Tønnessen, T.I.; Abildgaard, A.; Barkhatov, L.; et al. Laparoscopic Versus Open Resection for Colorectal Liver Metastases: The OSLO-COMET Randomized Controlled Trial. Ann. Surg. 2018, 267, 199–207. [Google Scholar] [CrossRef] [PubMed]
- Robles-Campos, R.; Lopez-Lopez, V.; Brusadin, R.; Lopez-Conesa, A.; Gil-Vazquez, P.J.; Navarro-Barrios, Á.; Parrilla, P. Open versus minimally invasive liver surgery for colorectal liver metastases (LapOpHuva): A prospective randomized controlled trial. Surg. Endosc. 2019, 33, 3926–3936. [Google Scholar] [CrossRef] [PubMed]
- Boudjema, K.; Locher, C.; Sabbagh, C.; Ortega-Deballon, P.; Heyd, B.; Bachellier, P.; Métairie, S.; Paye, F.; Bourlier, P.; Adam, R.; et al. Simultaneous Versus Delayed Resection for Initially Resectable Synchronous Colorectal Cancer Liver Metastases: A Prospective, Open-label, Randomized, Controlled Trial. Ann. Surg. 2021, 273, 49–56. [Google Scholar] [CrossRef]
- Adam, R.; De Gramont, A.; Figueras, J.; Guthrie, A.; Kokudo, N.; Kunstlinger, F.; Loyer, E.; Poston, G.; Rougier, P.; Rubbia-Brandt, L.; et al. The oncosurgery approach to managing liver metastases from colorectal cancer: A multidisciplinary international consensus. Oncologist 2012, 17, 1225–1239. [Google Scholar] [CrossRef]












| Patient’s Features | n |
|---|---|
| Male | 36 |
| Female | 39 |
| Timing of metastases presentation/treatment | |
| Synchronous | 39 |
| Metachoronous | 36 |
| Comorbidities | |
| No | 17 |
| Yes | 58 |
| Site of primary tumor | |
| Right colon | 20 |
| Left colon | 29 |
| Rectum | 22 |
| T stage | |
| 1 | 1 |
| 2 | 18 |
| 3 | 36 |
| 4 | 16 |
| N stage | |
| 0 | 23 |
| 1 | 32 |
| 2 | 16 |
| Grading | |
| 2 | 47 |
| 3 | 24 |
| CEA value | |
| <25 ng/mL | 57 |
| ≥25 ng/mL | 18 |
| CHT before liver surgery | |
| No | 50 |
| Yes | 25 |
| CHT after liver surgery | |
| No | 21 |
| Yes | 54 |
| Surgical Features | n |
|---|---|
| Surgery technique | |
| Open | 69 |
| Laparoscopy | 6 |
| Type of surgery | |
| Parenchyma sparing | 54 |
| Minor | 16 |
| Major | 5 |
| RFA combined surgery | |
| No | 55 |
| Yes | 20 |
| Hepatic lobe involved | |
| Single | 55 |
| Bilobar | 20 |
| Resected lesions | |
| 1 | 32 |
| 2–3 | 24 |
| ≥4 | 19 |
| Margin status | |
| R0 | 60 |
| R1v | 10 |
| R1p | 5 |
| Distance between lesion and margin of resection | |
| R1 | 15 |
| <1 mm | 16 |
| 1 mm < d < 5 mm | 21 |
| ≥5 mm | 23 |
| OS | DFS | ||||||||
|---|---|---|---|---|---|---|---|---|---|
| n | 1 y (%) | 3 y (%) | Median (Months, CI) | p Value | 1 y (%) | 3 y (%) | Median (Months, CI) | p Value | |
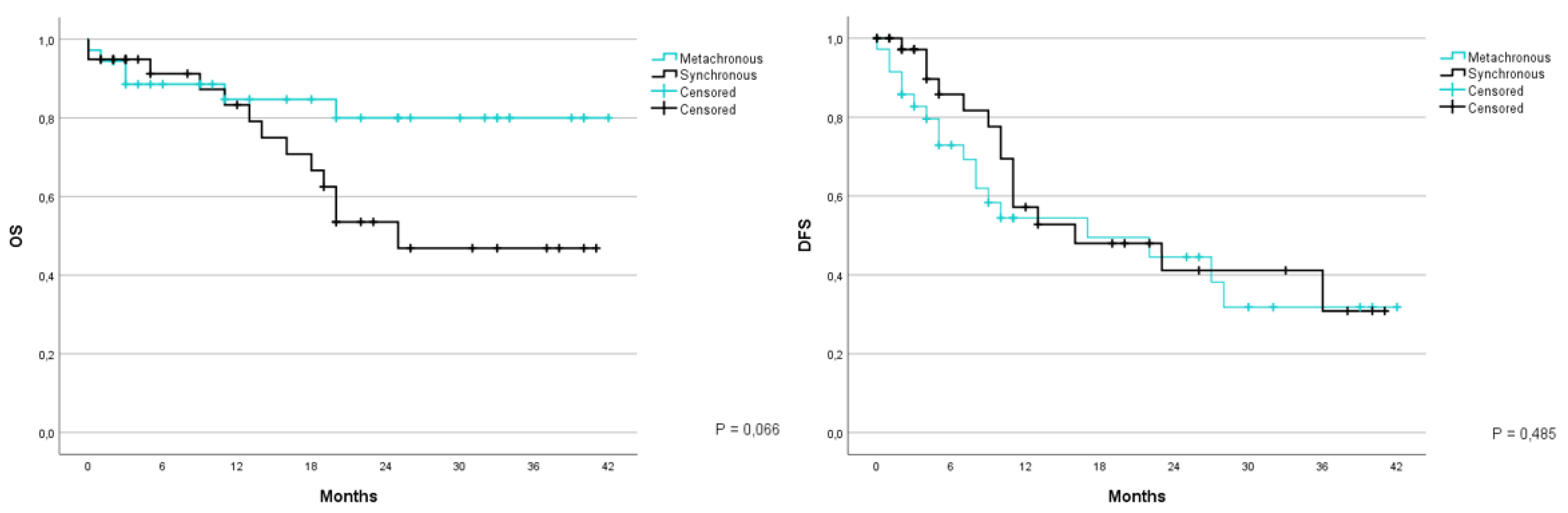
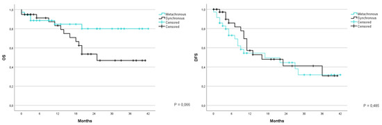
| Timing of metastases presentation/treatment | 0.066 | 0.485 | |||||||
| Synchronous | 39 | 83.3 | 46.9 | 26.9 (21.4–32.5) | 97.1 | 30.8 | 22,6 (3.1–16.5) | ||
| Metachronous | 36 | 84.7 | 80.0 | 35.2 (30.2–40.1) | 54.4 | 31.8 | 21.1 (3.1–14.9) | ||
| Comorbidities | 0.636 | 0.686 | |||||||
| No | 17 | 81.9 | 73.7 | 31.4 (23.9–38.8) | 60.8 | 27.0 | 21.6 (13.3–29.9) | ||
| Yes | 58 | 84.5 | 59.8 | 30.7 (26.1–35.3) | 53.6 | 34.5 | 21.9 (16.8–27.1) | ||
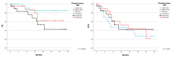
| Site of primary tumor | 0.056 | 0.657 | |||||||
| Right colon | 20 | 83.3 | 42.4 | 25.7 (18.2–33.2) | 61.4 | 42.1 | 22.4 (13.6–31.3) | ||
| Left colon | 29 | 90.5 | 85.2 | 37.5 (32.7–42.2) | 46.7 | 26.7 | 19.6 (12.9–26.3) | ||
| Rectum | 22 | 87.5 | 61.9 | 29.9 (23.5–36.4) | 60.8 | 21.7 | 22.9 (15.8–30.1) | ||
| T stage | 0.054 | 0.696 | |||||||
| 1 | 1 | 100 | 100 | NE | 100 | 100 | NE | ||
| 2 | 18 | 100 | 92.9 | NE | 56.2 | 32.1 | NE | ||
| 3 | 36 | 86.1 | NE | NE | 56.9 | NE | NE | ||
| 4 | 16 | 75.0 | 56.3 | NE | 48.2 | 32.1 | NE | ||
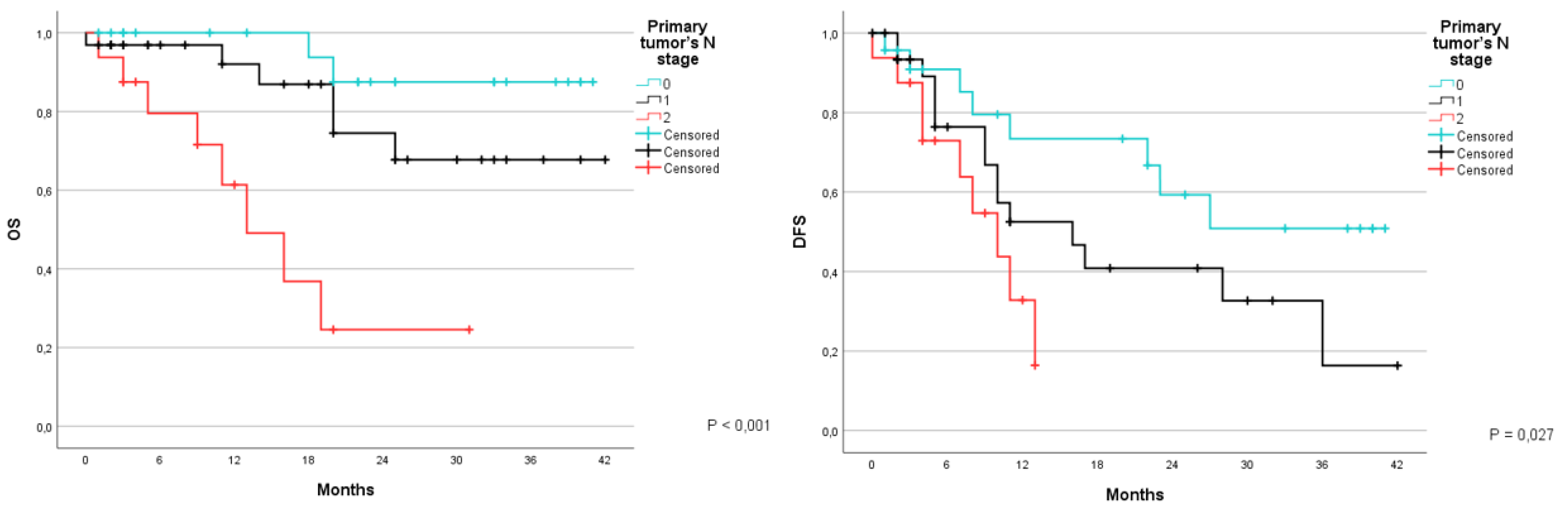
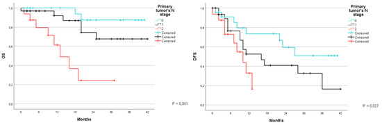
| N stage | <0.001 | 0.027 | |||||||
| 0 | 23 | 100 | 87.5 | 38.3 (34.7–41.8) | 73.4 | 50.8 | 28 (21.1–34.9) | ||
| 1 | 32 | 92.0 | 67.7 | 33.9 (28.4–39.4) | 52.5 | 16.3 | 20.2 (13.9–26.6) | ||
| 2 | 16 | 61.4 | NE | 15.9 (10.1–21.9) | 32.8 | NE | 8.6 (6.3–11) | ||
| Grading | 0.136 | 0.148 | |||||||
| 2 | 47 | 83.5 | 76.5 | 33.7 (29.3–38.2) | 51.4 | 22.4 | 19.8 (14.7–24.9) | ||
| 3 | 24 | 95.8 | 42.6 | 28.1 (21.4–34.8) | 64.4 | 49.1 | 25.9 (17.9–33.9) | ||
| CEA value | <0.001 | 0.103 | |||||||
| <25 ng/mL | 57 | 93.6 | 80.1 | 36.7 (33.1–40.3) | 62.8 | 35.9 | 23.9 (18.7–28.9) | ||
| ≥25 ng/mL | 18 | 57.4 | NE | 13.8 (9.4–18.2) | 50.7 | NE | 13.1 (8.6–17.6) | ||
| CHT before liver surgery | 0.936 | 0.278 | |||||||
| No | 50 | 86.9 | 62.6 | 31.4 (26.3–36.6) | 59.9 | 37.3 | 23.9 (18.1–29.8) | ||
| Yes | 25 | 80.3 | 65.1 | 30.6 (24.6–36.6) | 49.9 | 22.8 | 19.1 (12.6–25.5) | ||
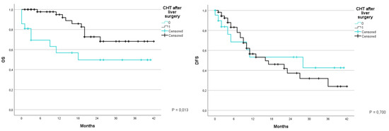
| CHT after liver surgery | 0.013 | 0.700 | |||||||
| No | 21 | 56.8 | 49.7 | 23.3 (14.8–31.8) | 53.2 | 42.6 | 22.9 (13.9–31.9) | ||
| Yes | 54 | 94.9 | 68.2 | 34.1 (29.9–38.2) | 56.5 | 23.9 | 20.9 (15.9–25.9) | ||
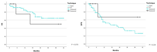
| Surgery technique | 0.570 | 0.228 | |||||||
| Open and converted | 69 | 84.8 | 64.7 | 31.7 (27.7–35.8) | 54.7 | 26.2 | 21 (16.5–25.5) | ||
| Laparoscopy | 6 | 75.0 | 50.0 | 25.3 (10.3–40.2) | 66.7 | 66.7 | 29 (11.4–46.6) | ||
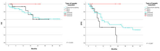
| Type of surgery | 0.433 | 0.067 | |||||||
| Parenchyma sparing | 54 | 79.9 | 61.2 | NE | 57.1 | 33.2 | NE | ||
| Minor | 16 | 93.3 | NE | NE | 39.9 | 0 | NE | ||
| Major | 5 | 100 | NE | NE | 100 | NE | NE | ||
| RFA combined surgery | 0.961 | 0.25 | |||||||
| No | 55 | 81.4 | 64.9 | 30.6 (25.9–35.3) | 60.6 | 39.0 | 23.8 (18.3–29.4) | ||
| Yes | 20 | 89.5 | 58.4 | 30.8 (23.7–37.9) | 47.8 | 16.4 | 18.1 (11.8–24.4) | ||
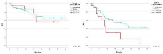
| Hepatic lobe involved | 0.843 | 0.023 | |||||||
| Single | 55 | 83.3 | 65.6 | 31.5 (26.9–36.1) | 64.5 | 42.0 | 24.6 (19.4–29.8) | ||
| Bilobar | 20 | 87.1 | 56.4 | 27.6 (21.2–34.1) | 30.5 | 0 | 13.7 (7.1–20.2) | ||
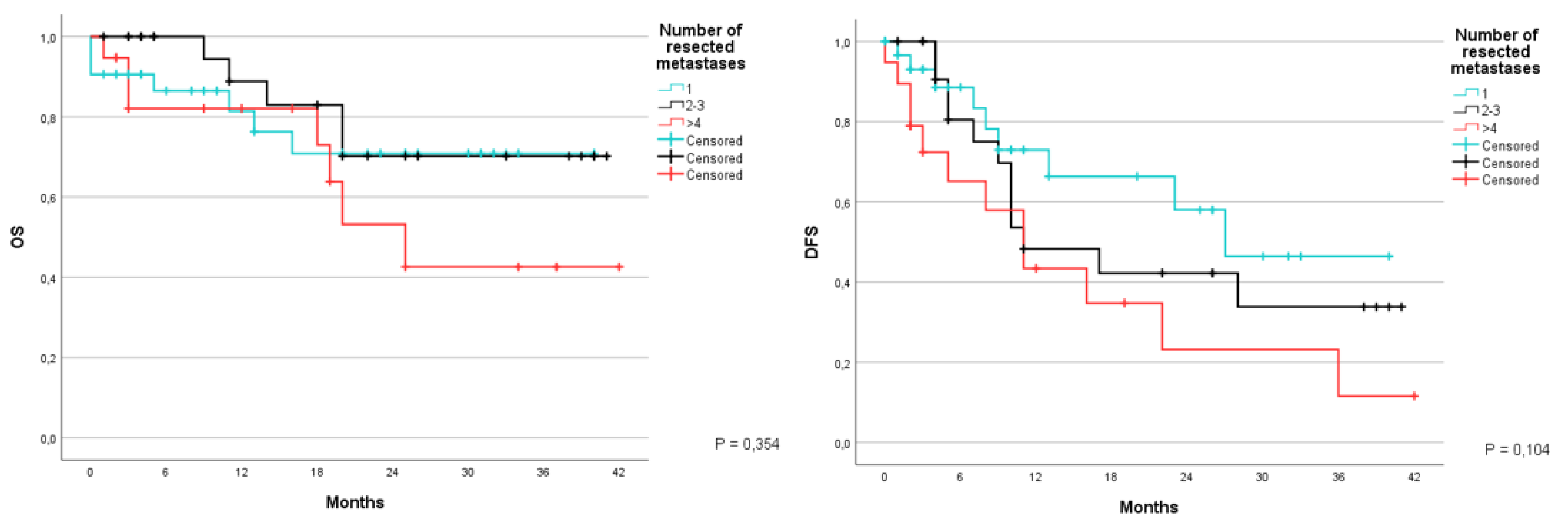
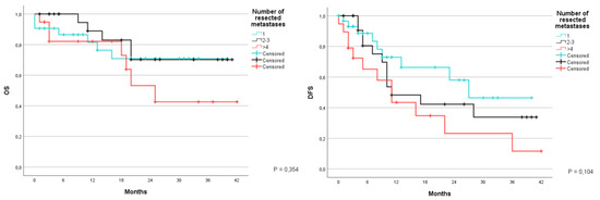
| Resected lesions | 0.354 | 0.104 | |||||||
| 1 | 32 | 86.5 | 70.9 | 30.6 (24.7–36.6) | 72.9 | 46.4 | 25.9 (19.1–32.8) | ||
| 2–3 | 24 | 88.9 | 70.2 | 33.3 (27.5–39) | 48.3 | 33.8 | 21.2 (14.1–28.2) | ||
| ≥4 | 19 | 82.1 | 42.6 | 26.5 (18.3–34.6) | 43.4 | 11.6 | 15.9 (8.4–23.5) | ||
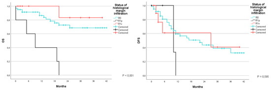
| Margin status | <0.001 | 0.595 | |||||||
| R0 | 60 | 86.4 | 68.5 | 32.7 (28.4–37) | 59.4 | 32.3 | 22.6 (17.7–27.6) | ||
| R1v | 10 | 100 | 83.3 | 36.7 (30.7–42.6) | 61.0 | 40.6 | 23.1 (11–35.2) | ||
| R1p | 5 | 40.0 | 0 | 10.6 (2.9–18.3) | 0 | 0 | 10.3 (9.7–10.9) | ||
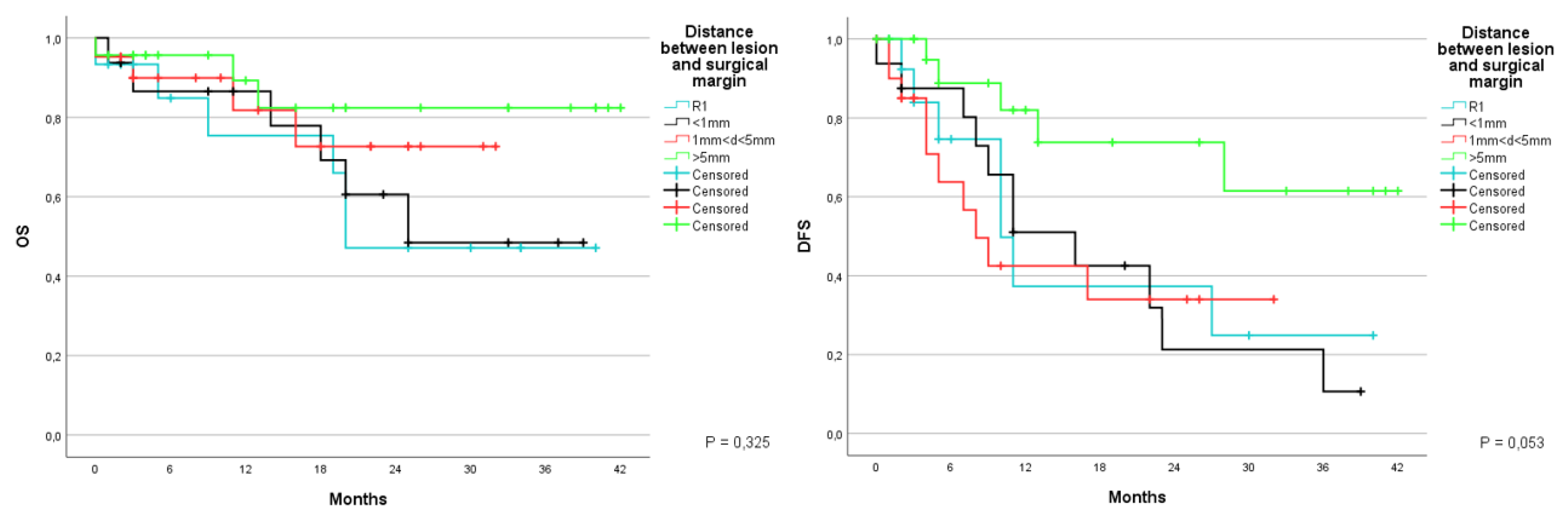
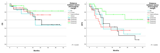
| Distance between lesion and margin of resection | 0.325 | 0.053 | |||||||
| R1 | 15 | 75.4 | 47.1 | 25.7 (17.3–34.1) | 37.3 | 24.9 | 18 (8.7–27.4) | ||
| <1 mm | 16 | 86.5 | 48.5 | 26.7 (19.3–34.2) | 51.0 | 10.6 | 17.6 (10.9–24.3) | ||
| 1 mm < d < 5 mm | 21 | 81.8 | NE | 25.8 (20.4–31.1) | 42.5 | NE | 15.1 (8.7–21.6) | ||
| ≥5 mm | 23 | 89.3 | 82.4 | 36.2 (30.2–42.2) | 82.0 | 61.5 | 31.5 (17.5–26.3) | ||
Disclaimer/Publisher’s Note: The statements, opinions and data contained in all publications are solely those of the individual author(s) and contributor(s) and not of MDPI and/or the editor(s). MDPI and/or the editor(s) disclaim responsibility for any injury to people or property resulting from any ideas, methods, instructions or products referred to in the content. |
© 2023 by the authors. Licensee MDPI, Basel, Switzerland. This article is an open access article distributed under the terms and conditions of the Creative Commons Attribution (CC BY) license (https://creativecommons.org/licenses/by/4.0/).
Share and Cite
Pagani, M.; De Vincenti, R.; Cecchi, C.; Apollinari, A.; Pesi, B.; Leo, F.; Giannessi, S.; Fedi, M. Hepatic Resection in Patients with Colo-Rectal Liver Metastases: Surgical Outcomes and Prognostic Factors of Single-Center Experience. J. Clin. Med. 2023, 12, 2170. https://doi.org/10.3390/jcm12062170
Pagani M, De Vincenti R, Cecchi C, Apollinari A, Pesi B, Leo F, Giannessi S, Fedi M. Hepatic Resection in Patients with Colo-Rectal Liver Metastases: Surgical Outcomes and Prognostic Factors of Single-Center Experience. Journal of Clinical Medicine. 2023; 12(6):2170. https://doi.org/10.3390/jcm12062170
Chicago/Turabian StylePagani, Matteo, Rosita De Vincenti, Carolina Cecchi, Alice Apollinari, Benedetta Pesi, Francesca Leo, Sandro Giannessi, and Massimo Fedi. 2023. "Hepatic Resection in Patients with Colo-Rectal Liver Metastases: Surgical Outcomes and Prognostic Factors of Single-Center Experience" Journal of Clinical Medicine 12, no. 6: 2170. https://doi.org/10.3390/jcm12062170
APA StylePagani, M., De Vincenti, R., Cecchi, C., Apollinari, A., Pesi, B., Leo, F., Giannessi, S., & Fedi, M. (2023). Hepatic Resection in Patients with Colo-Rectal Liver Metastases: Surgical Outcomes and Prognostic Factors of Single-Center Experience. Journal of Clinical Medicine, 12(6), 2170. https://doi.org/10.3390/jcm12062170

