The Causal Association of Irritable Bowel Syndrome with Multiple Disease Outcomes: A Phenome-Wide Mendelian Randomization Study
Abstract
1. Introduction
2. Methods
2.1. Participants
2.2. Phenome-Wide Association Study
2.3. Mendelian Randomization
2.3.1. Individual-Level MR for Causal Association between IBS with Health Outcomes
2.3.2. Summary-Level MR for Causal Association between IBS with Health Outcomes
2.3.3. Sensitivity Analysis
2.4. Sex-Stratification Analysis
3. Results
3.1. Phenome-Wide Association Analyses
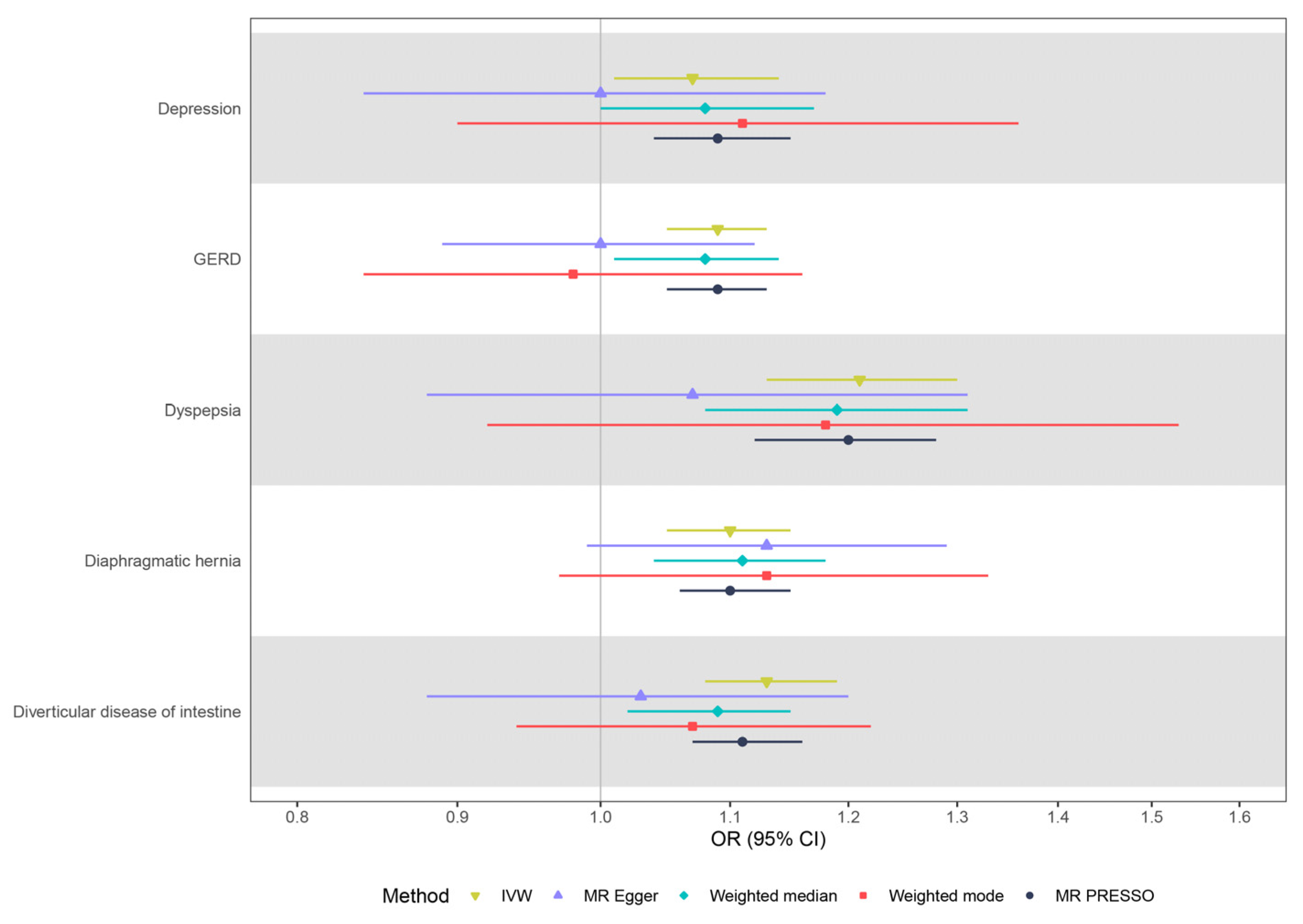
3.2. Mendelian Randomization Analyses
3.3. Sex-Stratified PheWAS and MR Analyses
3.4. Sensitivity Analysis
4. Discussion
Supplementary Materials
Author Contributions
Funding
Institutional Review Board Statement
Informed Consent Statement
Data Availability Statement
Acknowledgments
Conflicts of Interest
References
- Ford, A.C.; Lacy, B.E.; Talley, N.J. Irritable Bowel Syndrome. N. Engl. J. Med. 2017, 376, 2566–2578. [Google Scholar] [CrossRef]
- Chey, W.D.; Kurlander, J.; Eswaran, S. Irritable bowel syndrome: A clinical review. JAMA 2015, 313, 949–958. [Google Scholar] [CrossRef]
- Ford, A.C.; Sperber, A.D.; Corsetti, M.; Camilleri, M. Irritable bowel syndrome. Lancet 2020, 396, 1675–1688. [Google Scholar] [CrossRef]
- Camilleri, M. Diagnosis and Treatment of Irritable Bowel Syndrome: A Review. JAMA 2021, 325, 865–877. [Google Scholar] [CrossRef]
- McPherson, Z.E.; Sørensen, H.T.; Horváth-Puhó, E.; Agar, A.; Coroneo, M.T.; White, A.; Francis, I.C.; Pasquale, L.R.; Kang, J.H.; Pettersson, S.; et al. Irritable bowel syndrome and risk of glaucoma: An analysis of two independent population-based cohort studies. United Eur. Gastroenterol. J. 2021, 9, 1057–1065. [Google Scholar] [CrossRef]
- Lee, S.Y.; Hwang, H.R.; Yi, Y.H.; Kim, J.M.; Kim, Y.J.; Lee, J.G.; Cho, Y.H.; Tak, Y.J.; Lee, S.H.; Park, E.J.; et al. Association between Irritable Bowel Syndrome and Risk of Osteoporosis in Korean Premenopausal Women. Med. Princ. Pract. 2021, 30, 527–534. [Google Scholar] [CrossRef]
- Mertsalmi, T.H.; But, A.; Pekkonen, E.; Scheperjans, F. Irritable Bowel Syndrome and Risk of Parkinson’s Disease in Finland: A Nationwide Registry-Based Cohort Study. J. Park. Dis. 2021, 11, 641–651. [Google Scholar] [CrossRef]
- Zamani, M.; Alizadeh-Tabari, S.; Zamani, V. Systematic review with meta-analysis: The prevalence of anxiety and depression in patients with irritable bowel syndrome. Aliment. Pharmacol. Ther. 2019, 50, 132–143. [Google Scholar] [CrossRef]
- Eijsbouts, C.; Zheng, T.; Kennedy, N.A.; Bonfiglio, F.; Anderson, C.A.; Moutsianas, L.; Holliday, J.; Shi, J.; Shringarpure, S.; Voda, A.I.; et al. Genome-wide analysis of 53,400 people with irritable bowel syndrome highlights shared genetic pathways with mood and anxiety disorders. Nat. Genet. 2021, 53, 1543–1552. [Google Scholar] [CrossRef]
- Chen, J.; Chen, X.; Xie, Y.; Sun, Y.; Wang, X.; Hesketh, T. Irritable bowel syndrome and migraine: Evidence from Mendelian randomization analysis in the UK Biobank. Expert Rev. Gastroenterol. Hepatol. 2021, 15, 1233–1239. [Google Scholar] [CrossRef]
- Freuer, D.; Linseisen, J.; Meisinger, C. Asthma and the risk of gastrointestinal disorders: A Mendelian randomization study. BMC Med. 2022, 20, 82. [Google Scholar] [CrossRef] [PubMed]
- Sun, Y.; Chen, X.; Wang, S.; Deng, M.; Xie, Y.; Wang, X.; Chen, J.; Hesketh, T. Gluten-free Diet Reduces the Risk of Irritable Bowel Syndrome: A Mendelian Randomization Analysis. Front. Genet. 2021, 12, 684535. [Google Scholar] [CrossRef] [PubMed]
- Bao, W.; Qi, L.; Bao, Y.; Wang, S.; Li, W. Alleviating insomnia should decrease the risk of irritable bowel syndrome: Evidence from Mendelian randomization. Front. Pharmacol. 2022, 13, 900788. [Google Scholar] [CrossRef]
- Aziz, I.; Simrén, M. The overlap between irritable bowel syndrome and organic gastrointestinal diseases. Lancet Gastroenterol. Hepatol. 2021, 6, 139–148. [Google Scholar] [CrossRef] [PubMed]
- de Bortoli, N.; Tolone, S.; Frazzoni, M.; Martinucci, I.; Sgherri, G.; Albano, E.; Ceccarelli, L.; Stasi, C.; Bellini, M.; Savarino, V.; et al. Gastroesophageal reflux disease, functional dyspepsia and irritable bowel syndrome: Common overlapping gastrointestinal disorders. Ann. Gastroenterol. 2018, 31, 639–648. [Google Scholar] [CrossRef] [PubMed]
- Bonfiglio, F.; Zheng, T.; Garcia-Etxebarria, K.; Hadizadeh, F.; Bujanda, L.; Bresso, F.; Agreus, L.; Andreasson, A.; Dlugosz, A.; Lindberg, G.; et al. Female-Specific Association Between Variants on Chromosome 9 and Self-Reported Diagnosis of Irritable Bowel Syndrome. Gastroenterology 2018, 155, 168–179. [Google Scholar] [CrossRef]
- Choi, S.W.; Mak, T.S.; O’Reilly, P.F. Tutorial: A guide to performing polygenic risk score analyses. Nat. Protoc. 2020, 15, 2759–2772. [Google Scholar] [CrossRef]
- Jiang, L.; Zheng, Z.; Fang, H.; Yang, J. A generalized linear mixed model association tool for biobank-scale data. Nat. Genet. 2021, 53, 1616–1621. [Google Scholar] [CrossRef]
- Butler, R. The ICD-10 General Equivalence Mappings. Bridging the translation gap from ICD-9. J. AHIMA 2007, 78, 84–85. [Google Scholar]
- Veturi, Y.; Lucas, A.; Bradford, Y.; Hui, D.; Dudek, S.; Theusch, E.; Verma, A.; Miller, J.E.; Kullo, I.; Hakonarson, H.; et al. A unified framework identifies new links between plasma lipids and diseases from electronic medical records across large-scale cohorts. Nat. Genet. 2021, 53, 972–981. [Google Scholar] [CrossRef]
- Verma, A.; Bradford, Y.; Dudek, S.; Lucas, A.M.; Verma, S.S.; Pendergrass, S.A.; Ritchie, M.D. A simulation study investigating power estimates in phenome-wide association studies. BMC Bioinform. 2018, 19, 120. [Google Scholar] [CrossRef] [PubMed]
- Burgess, S.; Thompson, S.G. Avoiding bias from weak instruments in Mendelian randomization studies. Int. J. Epidemiol. 2011, 40, 755–764. [Google Scholar] [CrossRef] [PubMed]
- Burgess, S.; Butterworth, A.; Thompson, S.G. Mendelian randomization analysis with multiple genetic variants using summarized data. Genet. Epidemiol. 2013, 37, 658–665. [Google Scholar] [CrossRef] [PubMed]
- Bowden, J.; Davey Smith, G.; Burgess, S. Mendelian randomization with invalid instruments: Effect estimation and bias detection through Egger regression. Int. J. Epidemiol. 2015, 44, 512–525. [Google Scholar] [CrossRef]
- Hartwig, F.P.; Smith, G.D.; Bowden, J. Robust inference in summary data Mendelian randomization via the zero modal pleiotropy assumption. Int. J. Epidemiol. 2017, 46, 1985–1998. [Google Scholar] [CrossRef]
- Verbanck, M.; Chen, C.Y.; Neale, B.; Do, R. Detection of widespread horizontal pleiotropy in causal relationships inferred from Mendelian randomization between complex traits and diseases. Nat. Genet. 2018, 50, 693–698. [Google Scholar] [CrossRef]
- Burgess, S.; Labrecque, J.A. Mendelian randomization with a binary exposure variable: Interpretation and presentation of causal estimates. Eur. J. Epidemiol. 2018, 33, 947–952. [Google Scholar] [CrossRef]
- Burgess, S. Sample size and power calculations in Mendelian randomization with a single instrumental variable and a binary outcome. Int. J. Epidemiol. 2014, 43, 922–929. [Google Scholar] [CrossRef]
- Nwokediuko, S.C.; Ijoma, U.; Obienu, O. Functional dyspepsia: Subtypes, risk factors, and overlap with irritable bowel syndrome in a population of african patients. Gastroenterol. Res. Pract. 2012, 2012, 562393. [Google Scholar] [CrossRef]
- Nakov, R.; Dimitrova-Yurukova, D.; Snegarova, V.; Uzunova, M.; Lyutakov, I.; Ivanova, M.; Madzharova, K.; Valkov, H.; Hristova, R.; Ivanov, K.; et al. Prevalence of Irritable Bowel Syndrome, Functional Dyspepsia and their Overlap in Bulgaria: A Population-Based Study. J. Gastrointest. Liver Dis. 2020, 29, 329–338. [Google Scholar] [CrossRef]
- Kim, Y.A.; Cho, Y.J.; Kwak, S.G. The Association between Helicobacter pylori Infection and Irritable Bowel Syndrome: A Meta-Analysis. Int. J. Environ. Res. Public Health 2020, 17, 2524. [Google Scholar] [CrossRef] [PubMed]
- Brochard, C.; Ropert, A.; Chambaz, M.; Gouriou, C.; Cardaillac, C.; Grainville, T.; Bouguen, G.; Siproudhis, L. Chronic pelvic pain and rectal prolapse invite consideration of enterocele. Color. Dis. 2020, 22, 325–330. [Google Scholar] [CrossRef] [PubMed]
- Järbrink-Sehgal, M.E.; Andreasson, A.; Talley, N.J.; Agréus, L.; Song, J.Y.; Schmidt, P.T. Symptomatic Diverticulosis Is Characterized by Loose Stools. Clin. Gastroenterol. Hepatol. 2016, 14, 1763–1770.e1. [Google Scholar] [CrossRef] [PubMed]
- Cheung, T.K.; Lam, K.F.; Hu, W.H.; Lam, C.L.; Wong, W.M.; Hui, W.M.; Lai, K.C.; Lam, S.K.; Wong, B.C. Positive association between gastro-oesophageal reflux disease and irritable bowel syndrome in a Chinese population. Aliment. Pharmacol. Ther. 2007, 25, 1099–1104. [Google Scholar] [CrossRef]
- Zerbib, F.; Belhocine, K.; Simon, M.; Capdepont, M.; Mion, F.; des Varannes, S.B.; Galmiche, J.P. Clinical, but not oesophageal pH-impedance, profiles predict response to proton pump inhibitors in gastro-oesophageal reflux disease. Gut 2012, 61, 501–506. [Google Scholar] [CrossRef]
- Lee, H.J.; Lee, S.Y.; Choi, J.E.; Kim, J.H.; Sung, I.K.; Park, H.S.; Jin, C.J. G protein beta3 subunit, interleukin-10, and tumor necrosis factor-alpha gene polymorphisms in Koreans with irritable bowel syndrome. Neurogastroenterol. Motil. 2010, 22, 758–763. [Google Scholar] [CrossRef]
- de Vries, D.R.; ter Linde, J.J.; van Herwaarden, M.A.; Smout, A.J.; Samsom, M. Gastroesophageal reflux disease is associated with the C825T polymorphism in the G-protein beta3 subunit gene (GNB3). Am. J. Gastroenterol. 2009, 104, 281–285. [Google Scholar] [CrossRef]
- Staudacher, H.M.; Mikocka-Walus, A.; Ford, A.C. Common mental disorders in irritable bowel syndrome: Pathophysiology, management, and considerations for future randomised controlled trials. Lancet Gastroenterol. Hepatol. 2021, 6, 401–410. [Google Scholar] [CrossRef]
- Rutsch, A.; Kantsjö, J.B.; Ronchi, F. The Gut-Brain Axis: How Microbiota and Host Inflammasome Influence Brain Physiology and Pathology. Front. Immunol. 2020, 11, 604179. [Google Scholar] [CrossRef]
- So, S.Y.; Savidge, T.C. Sex-Bias in Irritable Bowel Syndrome: Linking Steroids to the Gut-Brain Axis. Front. Endocrinol. 2021, 12, 684096. [Google Scholar] [CrossRef]
- Narayanan, S.P.; Anderson, B.; Bharucha, A.E. Sex- and Gender-Related Differences in Common Functional Gastroenterologic Disorders. Mayo Clin. Proc. 2021, 96, 1071–1089. [Google Scholar] [CrossRef] [PubMed]
- Kovács, D.B.; Szekely, A.; Hubai, A.G.; Palsson, O. Prevalence, epidemiology and associated healthcare burden of Rome IV irritable bowel syndrome and functional dyspepsia in the adult population of Gibraltar. BMJ Open Gastroenterol. 2022, 9, e000979. [Google Scholar] [CrossRef] [PubMed]
- Weaver, K.R.; Boulineaux, C.M.; Robinson, J.M.; Butler, K.; Heitkemper, M.M.; Henderson, W.A. Sex Hormones, BDNF, Leptin, and TGF-β1 in Females With IBS: A Pilot Investigation. Biol. Res. Nurs. 2021, 23, 231–237. [Google Scholar] [CrossRef]
- Mulak, A.; Taché, Y.; Larauche, M. Sex hormones in the modulation of irritable bowel syndrome. World J. Gastroenterol. 2014, 20, 2433–2448. [Google Scholar] [CrossRef]
- Abecasis, G.R.; Auton, A.; Brooks, L.D.; DePristo, M.A.; Durbin, R.M.; Handsaker, R.E.; Kang, H.M.; Marth, G.T.; McVean, G.A. An integrated map of genetic variation from 1,092 human genomes. Nature 2012, 491, 56–65. [Google Scholar] [PubMed]
- Reed, E.; Nunez, S.; Kulp, D.; Qian, J.; Reilly, M.P.; Foulkes, A.S. A guide to genome-wide association analysis and post-analytic interrogation. Stat. Med. 2015, 34, 3769–3792. [Google Scholar] [CrossRef]
- Tang, L.; Li, C.; Chen, W.; Zeng, Y.; Yang, H.; Hu, Y.; Song, H.; Zeng, X.; Li, Q.; Fu, P. Causal Association between Chronic Kidney Disease and Risk of 19 Site-Specific Cancers: A Mendelian Randomization Study. Cancer Epidemiol. Biomark. Prev. 2022, 31, 1233–1242. [Google Scholar] [CrossRef]
- Barbara, G.; Grover, M.; Bercik, P.; Corsetti, M.; Ghoshal, U.C.; Ohman, L.; Rajilić-Stojanović, M. Rome Foundation Working Team Report on Post-Infection Irritable Bowel Syndrome. Gastroenterology 2019, 156, 46–58.e7. [Google Scholar] [CrossRef]
- Akhondi, N.; Memar Montazerin, S.; Soltani, S.; Saneei, P.; Hassanzadeh Keshteli, A.; Esmaillzadeh, A.; Adibi, P. General and abdominal obesity in relation to the prevalence of irritable bowel syndrome. Neurogastroenterol. Motil. 2019, 31, e13549. [Google Scholar] [CrossRef]
- Nilsson, D.; Ohlsson, B. Gastrointestinal Symptoms and Irritable Bowel Syndrome Are Associated with Female Sex and Smoking in the General Population and with Unemployment in Men. Front. Med. 2021, 8, 646658. [Google Scholar] [CrossRef]
- Cozma-Petruţ, A.; Loghin, F.; Miere, D.; Dumitraşcu, D.L. Diet in irritable bowel syndrome: What to recommend, not what to forbid to patients. World J. Gastroenterol. 2017, 23, 3771–3783. [Google Scholar] [CrossRef] [PubMed]
- Hong, E.P.; Park, J.W. Sample size and statistical power calculation in genetic association studies. Genom. Inform. 2012, 10, 117–122. [Google Scholar] [CrossRef] [PubMed]
- Howard, D.M.; Adams, M.J.; Clarke, T.K.; Hafferty, J.D.; Gibson, J.; Shirali, M.; Coleman, J.; Hagenaars, S.P.; Ward, J.; Wigmore, E.M.; et al. Genome-wide meta-analysis of depression identifies 102 independent variants and highlights the importance of the prefrontal brain regions. Nat. Neurosci. 2019, 22, 343–352. [Google Scholar] [CrossRef]
- An, J.; Gharahkhani, P.; Law, M.H.; Ong, J.S.; Han, X.; Olsen, C.M.; Neale, R.E.; Lai, J.; Vaughan, T.L.; Gockel, I.; et al. Gastroesophageal reflux GWAS identifies risk loci that also associate with subsequent severe esophageal diseases. Nat. Commun. 2019, 10, 4219. [Google Scholar] [CrossRef]
- Garcia-Etxebarria, K.; Carbone, F.; Teder-Laving, M.; Pandit, A.; Holvoet, L.; Thijs, V.; Lemmens, R.; Bujanda, L.; Franke, A.; Zöllner, S.; et al. A survey of functional dyspepsia in 361,360 individuals: Phenotypic and genetic cross-disease analyses. Neurogastroenterol. Motil. 2022, 34, e14236. [Google Scholar] [CrossRef] [PubMed]
- Fadista, J.; Skotte, L.; Karjalainen, J.; Abner, E.; Sørensen, E.; Ullum, H.; Werge, T.; iPSYCH Group; Esko, T.; Milani, L.; et al. Comprehensive genome-wide association study of different forms of hernia identifies more than 80 associated loci. Nat. Commun. 2022, 13, 3200. [Google Scholar] [CrossRef]
- Maguire, L.H.; Handelman, S.K.; Du, X.; Chen, Y.; Pers, T.H.; Speliotes, E.K. Genome-wide association analyses identify 39 new susceptibility loci for diverticular disease. Nat. Genet. 2018, 50, 1359–1365. [Google Scholar] [CrossRef]



| Baseline Characteristics | Total (n = 346,352) | IBS (n = 39,963) | No IBS (n = 306,389) | p Value |
|---|---|---|---|---|
| Age at recruitment (years), Mean (SD) | 56.98 (7.88) | 55.88 (7.73) | 57.12 (7.89) | |
| Age at recruitment, n (%) | <0.001 | |||
| <55 years | 125,241 (36.16%) | 16,489 (41.26%) | 108,752 (35.49%) | |
| 55–64 years | 153,097 (44.20%) | 17,695 (44.28%) | 135,402 (44.19%) | |
| ≥65 years | 68,014 (19.64%) | 5779 (14.46%) | 62,235 (20.31%) | |
| Sex | <0.001 | |||
| Male | 161,621 (46.66%) | 11,585 (28.99%) | 156,353 (51.03%) | |
| Female | 184,731 (53.34%) | 28,378 (71.01%) | 150,036 (48.97%) | |
| Townsend quintile | 0.06 | |||
| 1 | 86,491 (24.97%) | 10,163 (25.43%) | 76,328 (24.91%) | |
| 2 | 86,488 (24.97%) | 9800 (24.52%) | 76,688 (25.03%) | |
| 3 | 86,477 (24.97%) | 9979 (24.97%) | 76,498 (24.97%) | |
| 4 | 86,476 (24.97%) | 9967 (24.94%) | 76,509 (24.97%) | |
| Unknown | 420 (0.12%) | 54 (0.14%) | 366 (0.12%) | |
| BMI, Mean (SD) | 27.42 (4.75) | 27.13 (5.02) | 27.45 (4.72) | |
| BMI, n (%) | <0.001 | |||
| Normal (<25 kg/m2) | 113,826 (32.86%) | 15,072 (37.71%) | 98,754 (32.23%) | |
| Overweight (25–30 kg/m2) | 147,662 (42.63%) | 15,492 (38.77%) | 132,170 (43.14%) | |
| Obese (≥30 kg/m2) | 83,765 (24.18%) | 9282 (23.23%) | 74,483 (24.31%) | |
| Unknown | 1099 (0.32%) | 117 (0.29%) | 982 (0.32%) | |
| Smoking status, n (%) | <0.001 | |||
| Never | 188,601 (54.45%) | 22,398 (56.05%) | 166,203 (54.25%) | |
| Previous | 121,858 (35.18%) | 14,098 (35.28%) | 107,760 (35.17%) | |
| Current | 34,709 (10.02%) | 3374 (8.44%) | 31,335 (10.23%) | |
| Unknown | 1184 (0.34%) | 93 (0.23%) | 1091 (0.36%) | |
| Alcohol status, n (%) | <0.001 | |||
| Never | 10,517 (3.04%) | 1286 (3.22%) | 9231 (3.01%) | |
| Previous | 11,844 (3.42%) | 1664 (4.16%) | 10,180 (3.32%) | |
| Current | 323,685 (93.46%) | 36,985 (92.55%) | 286,700 (93.57%) | |
| Unknown | 306 (0.09%) | 28 (0.07%) | 278 (0.09%) |
| Description | PheWAS | |||
|---|---|---|---|---|
| IBS (n) | No IBS (n) | OR (95% CI) | p | |
| Total Population (N = 173,176) | ||||
| Depression | 10,163 | 137,939 | 1.05 (1.03–1.07) | 7.54 × 10−6 |
| GERD | 18,830 | 129,272 | 1.04 (1.02–1.05) | 1.08 × 10−5 |
| Dyspepsia | 6153 | 141,949 | 1.07 (1.04–1.10) | 9.83 × 10−7 |
| Diaphragmatic hernia | 18,516 | 129,586 | 1.04 (1.02–1.05) | 7.89 × 10−6 |
| Diverticular disease of intestine | 22,706 | 125,396 | 1.04 (1.02–1.05) | 1.12 × 10−7 |
| Female (N = 92,172) | ||||
| Depression | 6398 | 73,306 | 1.06 (1.03–1.09) | 8.02 × 10−6 |
| Esophagitis | 2726 | 76,978 | 1.08 (1.04–1.12) | 7.28 × 10−5 |
| GERD | 10,287 | 69,417 | 1.07 (1.05–1.09) | 8.52 × 10−10 |
| Dyspepsia | 3799 | 75,905 | 1.08 (1.04–1.11) | 5.59 × 10−6 |
| Diaphragmatic hernia | 10,278 | 69,426 | 1.04 (1.02–1.07) | 7.06 × 10−5 |
| Male (N = 81,004) | ||||
| Depression | 3765 | 64,633 | 1.03 (1.00–1.07) | 0.06 |
| GERD | 8543 | 59,855 | 0.99 (0.97–1.01) | 0.46 |
| Dyspepsia | 2354 | 66,044 | 1.04 (1.00–1.08) | 0.08 |
| Diaphragmatic hernia | 8238 | 60,160 | 1.01 (0.99–1.04) | 0.32 |
| Diverticular disease of intestine | 10,882 | 57,516 | 1.02 (1.00–1.04) | 0.13 |
Disclaimer/Publisher’s Note: The statements, opinions and data contained in all publications are solely those of the individual author(s) and contributor(s) and not of MDPI and/or the editor(s). MDPI and/or the editor(s) disclaim responsibility for any injury to people or property resulting from any ideas, methods, instructions or products referred to in the content. |
© 2023 by the authors. Licensee MDPI, Basel, Switzerland. This article is an open access article distributed under the terms and conditions of the Creative Commons Attribution (CC BY) license (https://creativecommons.org/licenses/by/4.0/).
Share and Cite
Li, C.; Chen, Y.; Chen, Y.; Ying, Z.; Hu, Y.; Kuang, Y.; Yang, H.; Song, H.; Zeng, X. The Causal Association of Irritable Bowel Syndrome with Multiple Disease Outcomes: A Phenome-Wide Mendelian Randomization Study. J. Clin. Med. 2023, 12, 1106. https://doi.org/10.3390/jcm12031106
Li C, Chen Y, Chen Y, Ying Z, Hu Y, Kuang Y, Yang H, Song H, Zeng X. The Causal Association of Irritable Bowel Syndrome with Multiple Disease Outcomes: A Phenome-Wide Mendelian Randomization Study. Journal of Clinical Medicine. 2023; 12(3):1106. https://doi.org/10.3390/jcm12031106
Chicago/Turabian StyleLi, Chunyang, Yilong Chen, Yi Chen, Zhiye Ying, Yao Hu, Yalan Kuang, Huazhen Yang, Huan Song, and Xiaoxi Zeng. 2023. "The Causal Association of Irritable Bowel Syndrome with Multiple Disease Outcomes: A Phenome-Wide Mendelian Randomization Study" Journal of Clinical Medicine 12, no. 3: 1106. https://doi.org/10.3390/jcm12031106
APA StyleLi, C., Chen, Y., Chen, Y., Ying, Z., Hu, Y., Kuang, Y., Yang, H., Song, H., & Zeng, X. (2023). The Causal Association of Irritable Bowel Syndrome with Multiple Disease Outcomes: A Phenome-Wide Mendelian Randomization Study. Journal of Clinical Medicine, 12(3), 1106. https://doi.org/10.3390/jcm12031106

