Comparison of Mid-Term Outcomes between Microhook ab Interno Trabeculotomy and Goniotomy with the Kahook Dual Blade
Abstract
1. Introduction
2. Materials and Methods
2.1. Patient Selection
2.2. Surgical Technique
2.3. Outcome Measures
2.4. Statistical Analysis
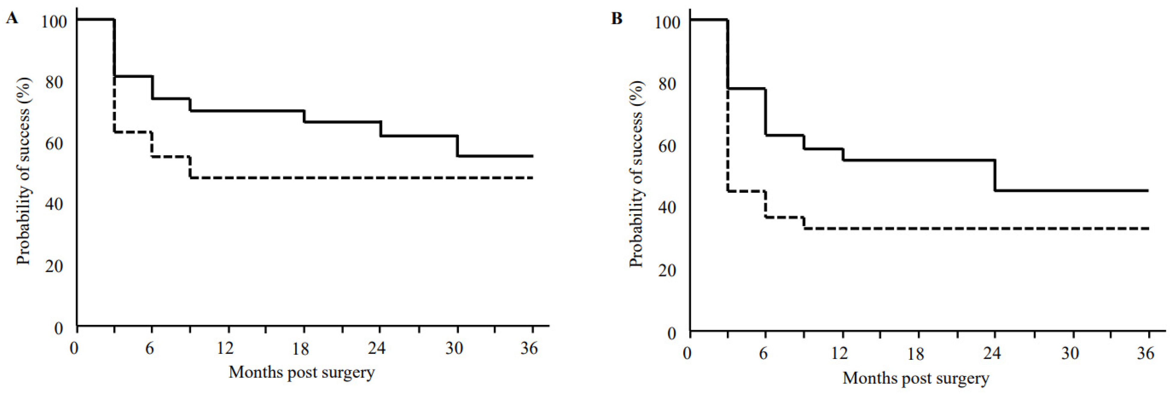
3. Results
4. Discussion
Author Contributions
Funding
Institutional Review Board Statement
Informed Consent Statement
Data Availability Statement
Conflicts of Interest
References
- Tham, Y.C.; Li, X.; Wong, T.Y.; Quigley, H.A.; Aung, T.; Cheng, C.Y. Global prevalence of glaucoma and projections of glaucoma burden through 2040: A systematic review and meta-analysis. Ophthalmology 2014, 121, 2081–2090. [Google Scholar] [CrossRef] [PubMed]
- Quigley, H.A.; Broman, A.T. The number of people with glaucoma worldwide in 2010 and 2020. Br. J. Ophthalmol. 2006, 90, 262–267. [Google Scholar] [CrossRef] [PubMed]
- Chauhan, B.C.; Mikelberg, F.S.; Balaszi, A.G.; LeBlanc, R.P.; Lesk, M.R.; Trope, G.E. Canadian Glaucoma Study Group. Canadian Glaucoma Study: 2. risk factors for the progression of open-angle glaucoma. Arch. Ophthalmol. 2008, 126, 1030–1036. [Google Scholar] [CrossRef] [PubMed]
- Heijl, A.; Leske, M.C.; Bengtsson, B.; Hyman, L.; Bengtsson, B.; Hussein, M.; Early Manifest Glaucoma Trial Group. Reduction of intraocular pressure and glaucoma progression: Results from the Early Manifest Glaucoma Trial. Arch. Ophthalmol. 2002, 120, 1268–1279. [Google Scholar] [CrossRef] [PubMed]
- Francis, B.A.; Singh, K.; Lin, S.C.; Hodapp, E.; Jampel, H.D.; Samples, J.R.; Smith, S.D. Novel glaucoma procedures; a report by the American Academy of Ophthalmology. Ophthalmology 2011, 118, 1466–1480. [Google Scholar] [CrossRef] [PubMed]
- Caprioli, J.; Kim, J.H.; Friedman, D.S.; Kiang, T.; Moster, M.R.; Parrish, R.K., 2nd; Rorer, E.M.; Samuelson, T.; Tarver, M.E.; Singh, K.; et al. Special commentary: Supporting innovation for safe and effective Minimally Invasive Glaucoma Surgery: Summary of a joint meeting of the American Glaucoma Society and the Food and Drug Administration, Washington, DC, February 26, 2014. Ophthalmology 2015, 122, 1795–1801. [Google Scholar] [CrossRef] [PubMed]
- Tanihara, H.; Negi, A.; Akimoto, M.; Terauchi, H.; Okudaira, A.; Kozaki, J.; Takeuchi, A.; Nagata, M. Surgical effects of trabeculotomy ab externo on adult eyes with primary open angle glaucoma and psedoexfoliaion syndrome. Arch. Ophthalmol. 1993, 111, 1653–1661. [Google Scholar] [CrossRef] [PubMed]
- Honjo, M.; Tanihara, H.; Negi, A.; Hangai, M.; Taniguchi, T.; Honda, Y.; Mizoguchi, T.; Matsumura, M.; Nagata, M. Trabeculotomy ab externo, cataract extraction, and intraocular lens implantation: Preliminary report. J. Cataract. Refract. Surg. 1996, 22, 601–606. [Google Scholar] [CrossRef] [PubMed]
- Aoki, R.; Hirooka, K.; Goda, E.; Yuasa, Y.; Okumichi, H.; Onoe, H.; Kiuchi, Y. Comparison of surgical outcomes between microhook ab interno trabeculotomy and goniotomy with the Kahook Dual Blade in combination with phacoemulsification: Retrospective comparative case series. Adv. Ther. 2021, 38, 329–336. [Google Scholar] [CrossRef] [PubMed]
- Tanito, M.; Sano, I.; Ikeda, Y.; Fujihara, E. Short-term results of microhook ab interno trabeculotomy, a novel minimally invasive glaucoma surgery in Japanese eyes: Initial case series. Acta. Ophthalmol. 2017, 95, e354–e360. [Google Scholar] [CrossRef] [PubMed]
- Tanito, M.; Ikeda, Y.; Fujihara, E. Effectiveness and safety of combined cataract surgery and microhook ab interno trabeculotomy in Japanese eyes with glaucoma: Report of an initial case series. Jpn. J. Ophthalmol. 2017, 61, 457–464. [Google Scholar] [CrossRef] [PubMed]
- Seibold, L.K.; Soohoo, J.R.; Ammar, D.A.; Kahook, M.Y. Preclinical investigation of an ab interno trabeculotomy using a novel dual-blade device. Am. J. Ophthalmol. 2013, 155, 524–529. [Google Scholar] [CrossRef] [PubMed]
- SooHoo, J.R.; Seibold, L.K.; Kahook, M.Y. Ab interno trabeculectomy in the adult patient. Middle. East. Afr. J. Ophthalmol. 2015, 22, 25–29. [Google Scholar] [CrossRef] [PubMed]
- Sieck, E.G.; Epstein, R.S.; Kennedy, J.B.; SooHoo, J.R.; Pantcheva, M.B.; Patnaik, J.L.; Wagner, B.D.; Lynch, A.M.; Kahook, M.Y.; Seibold, L.K. Outcomes of Kahook Dual Blade goniotomy with and without phacoemulsification cataract extraction. Ophthalmol. Glaucoma 2018, 1, 75–81. [Google Scholar] [CrossRef] [PubMed]
- Dorairaj, S.K.; Kahook, M.Y.; Williamson, B.K.; Seibold, L.K.; ElMallah, M.K.; Singh, I.P. A multicenter retrospective comparison of goniotomy versus trabecular bypass device implantation in glaucoma patients undergoing cataract extraction. Clin. Ophthalmol. 2018, 12, 791–797. [Google Scholar] [CrossRef] [PubMed]
- Tanito, M.; Sugihara, K.; Tsutsui, A.; Hara, K.; Manabe, K.; Matsuoka, Y. Midterm results of microhook ab interno trabeculotomy in initial 560 eyes with glaucoma. J. Clin. Med. 2021, 10, 814. [Google Scholar] [CrossRef] [PubMed]
- Omoto, T.; Fujishiro, T.; Asano-Shimizu, K.; Sugimoto, K.; Sakata, R.; Murata, H.; Asaoka, R.; Honjo, M.; Aihara, M. Comparison of 12-month surgical outcomes of ab interno trabeculotomy with phacoemulsification between spatula-shaped and dual-blade microhooks. Jpn. J. Ophthalmol. 2021, 65, 402–408. [Google Scholar] [CrossRef] [PubMed]
- Iwasaki, K.; Kakimoto, H.; Orii, Y.; Arimura, S.; Takamura, Y.; Inatani, M. Long-term outcomes of a Kahook Dual Blade procedure combined with phacoemulsification in Japanese patients with open-angle glaucoma. J. Clin. Med. 2022, 11, 1354. [Google Scholar] [CrossRef] [PubMed]
- Okada, N.; Hirooka, K.; Onoe, H.; Murakami, Y.; Okumichi, H.; Kiuchi, Y. Comparison of efficacy between 120° and 180° schlemm’s canal incision microhook ab interno trabeculotomy. J. Clin. Med. 2021, 19, 3181. [Google Scholar] [CrossRef] [PubMed]

| μLOT-Phaco | KDB-Phaco | p Value | |
|---|---|---|---|
| No. patients | 27 | 27 | |
| Age (years) | 71.6 ± 10.5 | 76.0 ± 8.9 | 0.10 |
| Gender (M/F) | 13/14 | 12/15 | 0.78 |
| Type of glaucoma | 0.40 | ||
| POAG | 15 | 18 | |
| Exfoliation glaucoma | 12 | 9 | |
| Preoperative IOP (mmHg) | 21.7 ± 7.4 | 22.7 ± 7.3 | 0.97 |
| No. IOP-lowering medication | 2.9 ± 1.4 | 3.4 ± 1.0 | 0.15 |
| Axial length (mm) | 25.2 ± 2.2 | 25.0 ± 1.5 | 0.61 |
| μLOT-Phaco | KDB-Phaco | ||||||
|---|---|---|---|---|---|---|---|
| IOP (mmHg) | Change from Baseline (%) | p Value * | IOP (mmHg) | Change from Baseline (%) | p Value * | p Value ** | |
| Baseline | 21.7 ± 7.4 (n = 27) | 21.7 ± 7.3 (n = 27) | 0.97 | ||||
| Month 6 | 13.2 ± 2.4 (n = 27) | 32.7 ± 23.4 | <0.01 | 14.9 ± 4.5 (n = 27) | 25.9 ± 27.7 | <0.01 | 0.10 |
| Month 12 | 13.4 ± 3.3 (n = 27) | 34.7 ± 24.9 | <0.01 | 14.5 ± 5.2 (n = 27) | 27.3 ± 32.2 | <0.01 | 0.36 |
| Month 18 | 13.3 ± 3.8 (n = 23) | 36.7 ± 26.6 | <0.01 | 14.2 ± 3.4 (n = 23) | 29.8 ± 25.5 | <0.01 | 0.38 |
| Month 24 | 12.9 ± 2.0 (n-16) | 40.9 ± 20.2 | <0.01 | 13.7 ± 3.1 (n = 19) | 31.7 ± 23.8 | <0.01 | 0.42 |
| Month 30 | 12.6 ± 4.4 (n = 12) | 41.9 ± 29.7 | <0.01 | 13.6 ± 3.6 (n = 17) | 32.1 ± 22.8 | <0.01 | 0.48 |
| Month 36 | 13.8 ± 3.0 (n = 12) | 34.3 ± 26.2 | <0.01 | 15.5 ± 5.2 (n = 14) | 26.4 ± 34.2 | 0.02 | 0.32 |
| μLOT-Phaco | KDB-Phaco | ||||
| Number of Medications | p Value * | Number of Medications | p Value * | p Value ** | |
| Baseline | 2.9 ± 1.4 | 3.4 ± 1.0 | 0.23 | ||
| Month 6 | 1.1 ± 1.3 | <0.01 | 0.7 ± 1.2 | <0.01 | 0.14 |
| Month 12 | 1.3 ± 1.4 | <0.01 | 1.0 ± 1.2 | <0.01 | 0.38 |
| Month 18 | 1.3 ± 1.4 | <0.01 | 1.2 ± 1.3 | <0.01 | 0.78 |
| Month 24 | 1.7 ± 1.6 | <0.01 | 1.5 ± 1.3 | <0.01 | 0.73 |
| Month 30 | 2.3 ± 1.4 | <0.01 | 1.5 ± 1.3 | <0.01 | 0.46 |
| Month 36 | 2.3 ± 1.4 | 0.02 | 2.1 ± 1.3 | <0.01 | 0.75 |
| μLOT-Phaco | KDB-Phaco | p Value | |
|---|---|---|---|
| Hyphema with niveau | 3 (18.5%) | 2 (14.8%) | 0.72 |
| Transient IOP elevation ≥ 30 mmHg | 2 (11.1%) | 2 (2 (22.2%) | 0.27 |
Disclaimer/Publisher’s Note: The statements, opinions and data contained in all publications are solely those of the individual author(s) and contributor(s) and not of MDPI and/or the editor(s). MDPI and/or the editor(s) disclaim responsibility for any injury to people or property resulting from any ideas, methods, instructions or products referred to in the content. |
© 2023 by the authors. Licensee MDPI, Basel, Switzerland. This article is an open access article distributed under the terms and conditions of the Creative Commons Attribution (CC BY) license (https://creativecommons.org/licenses/by/4.0/).
Share and Cite
Okada, N.; Hirooka, K.; Onoe, H.; Okumichi, H.; Kiuchi, Y. Comparison of Mid-Term Outcomes between Microhook ab Interno Trabeculotomy and Goniotomy with the Kahook Dual Blade. J. Clin. Med. 2023, 12, 558. https://doi.org/10.3390/jcm12020558
Okada N, Hirooka K, Onoe H, Okumichi H, Kiuchi Y. Comparison of Mid-Term Outcomes between Microhook ab Interno Trabeculotomy and Goniotomy with the Kahook Dual Blade. Journal of Clinical Medicine. 2023; 12(2):558. https://doi.org/10.3390/jcm12020558
Chicago/Turabian StyleOkada, Naoki, Kazuyuki Hirooka, Hiromitsu Onoe, Hideaki Okumichi, and Yoshiaki Kiuchi. 2023. "Comparison of Mid-Term Outcomes between Microhook ab Interno Trabeculotomy and Goniotomy with the Kahook Dual Blade" Journal of Clinical Medicine 12, no. 2: 558. https://doi.org/10.3390/jcm12020558
APA StyleOkada, N., Hirooka, K., Onoe, H., Okumichi, H., & Kiuchi, Y. (2023). Comparison of Mid-Term Outcomes between Microhook ab Interno Trabeculotomy and Goniotomy with the Kahook Dual Blade. Journal of Clinical Medicine, 12(2), 558. https://doi.org/10.3390/jcm12020558

