PNI-Based Nomograms to Predict Tumor Progression and Survival for Patients with Unresectable Hepatocellular Carcinoma Undergoing Transcatheter Arterial Chemoembolization
Abstract
1. Introduction
2. Materials and Methods
2.1. Patients
2.2. Data Collection and Follow-Up
2.3. Transcatheter Arterial Chemoembolization Procedure
2.4. Statistical Analysis
3. Results
3.1. Patient Characteristics
3.2. Construction of Predictive Models
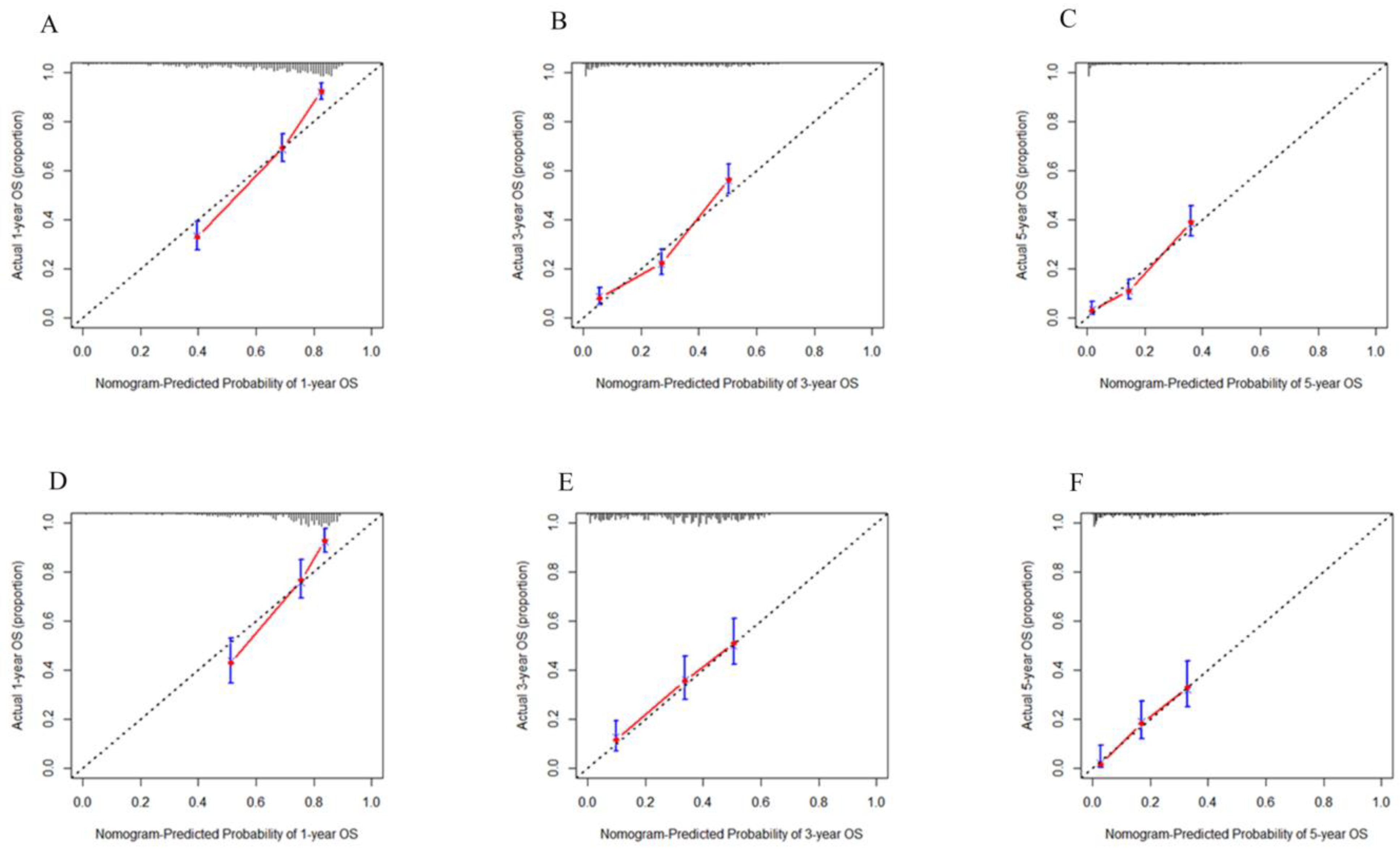
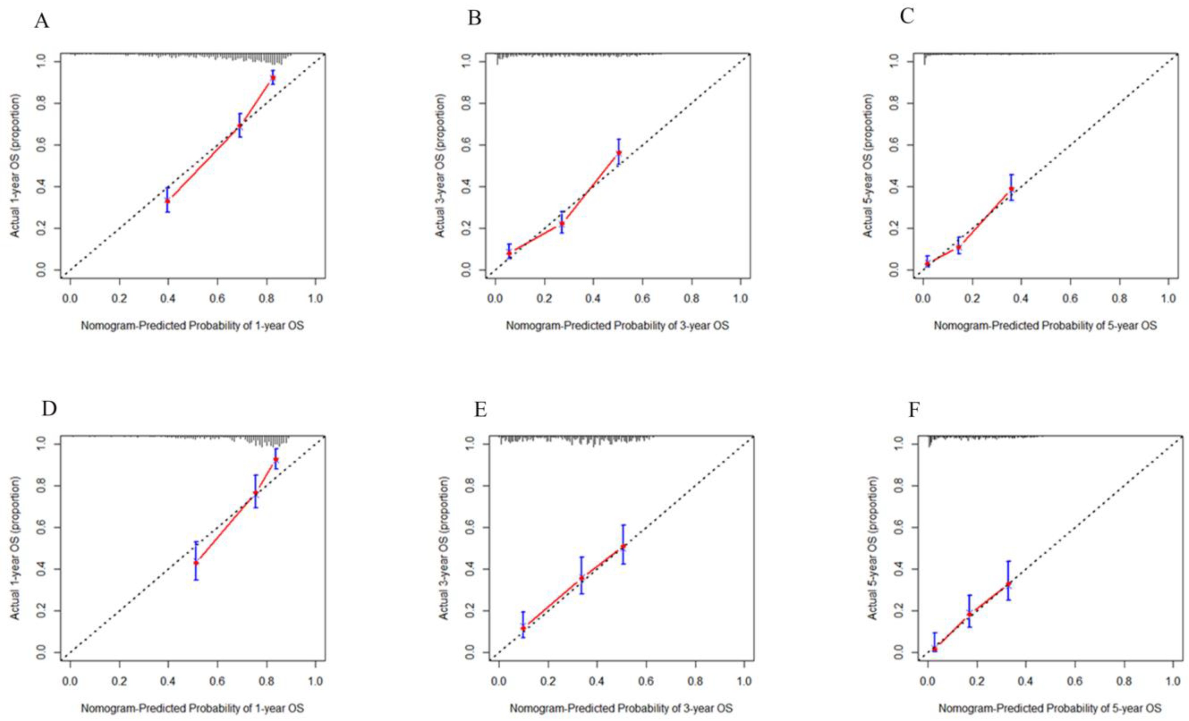
3.3. Predictive Ability of Models
4. Discussion
5. Conclusions
Author Contributions
Funding
Institutional Review Board Statement
Informed Consent Statement
Data Availability Statement
Conflicts of Interest
References
- Bray, F.; Ferlay, J.; Soerjomataram, I.; Siegel, R.L.; Torre, L.A.; Jemal, A. Global cancer statistics 2018: GLOBOCAN estimates of incidence and mortality worldwide for 36 cancers in 185 countries. CA Cancer J. Clin. 2018, 68, 394–424. [Google Scholar] [CrossRef] [PubMed]
- Siegel, R.L.; Miller, K.D.; Jemal, A. Cancer statistics, 2019. CA Cancer J. Clin. 2019, 69, 7–34. [Google Scholar] [CrossRef] [PubMed]
- Llovet, J.M.; Real, M.I.; Montaña, X.; Planas, R.; Coll, S.; Aponte, J.; Ayuso, C.; Sala, M.; Muchart, J.; Solà, R.; et al. Arterial embolisation or chemoembolisation versus symptomatic treatment in patients with unresectable hepatocellular carcinoma: A randomised controlled trial. Lancet 2002, 359, 1734–1739. [Google Scholar] [CrossRef] [PubMed]
- Forner, A.; Reig, M.; Bruix, J. Hepatocellular carcinoma. Lancet 2018, 391, 1301–1314. [Google Scholar] [CrossRef]
- Villanueva, A. Hepatocellular Carcinoma. N. Engl. J. Med. 2019, 380, 1450–1462. [Google Scholar] [CrossRef]
- Lencioni, R.; de Baere, T.; Soulen, M.C.; Rilling, W.S.; Geschwind, J.-F.H. Lipiodol transarterial chemoembolization for hepatocellular carcinoma: A systematic review of efficacy and safety data. Hepatology 2016, 64, 106–116. [Google Scholar] [CrossRef]
- Forner, A.; Reig, M.; de Lope, C.R.; Bruix, J. Current Strategy for Staging and Treatment: The BCLC Update and Future Prospects. Semin. Liver Dis. 2010, 30, 061–074. [Google Scholar] [CrossRef]
- Fujiwara, N.; Friedman, S.L.; Goossens, N.; Hoshida, Y. Risk factors and prevention of hepatocellular carcinoma in the era of precision medicine. J. Hepatol. 2018, 68, 526–549. [Google Scholar] [CrossRef]
- Hiraoka, A.; Michitaka, K.; Kumada, T.; Izumi, N.; Kadoya, M.; Kokudo, N.; Kubo, S.; Matsuyama, Y.; Nakashima, O.; Sakamoto, M.; et al. Prediction of Prognosis of Intermediate-Stage HCC Patients: Validation of the Tumor Marker Score in a Nationwide Database in Japan. Liver Cancer 2019, 8, 403–411. [Google Scholar] [CrossRef]
- Li, S.-P.; Cao, D.; He, J.-H.; Lou, M.-G.; Tu, X.-X.; Li, Y. High platelet count predicts poor prognosis in HCC patients undergoing TACE: A propensity score-matched analysis. Expert Rev. Gastroenterol. Hepatol. 2022, 16, 193–199. [Google Scholar] [CrossRef]
- Onodera, T.; Goseki, N.; Kosaki, G. Prognostic nutritional index in gastrointestinal surgery of malnourished cancer patients. Nihon Geka Gakkai Zasshi 1984, 85, 1001–1005. [Google Scholar] [PubMed]
- Yang, Y.; Gao, P.; Song, Y.; Sun, J.; Chen, X.; Zhao, J.; Ma, B.; Wang, Z. The prognostic nutritional index is a predictive indicator of prognosis and postoperative complications in gastric cancer: A meta-analysis. Eur. J. Surg. Oncol. EJSO 2016, 42, 1176–1182. [Google Scholar] [CrossRef] [PubMed]
- Zhang, C.; Wang, H.; Ning, Z.; Xu, L.; Zhuang, L.; Wang, P.; Meng, Z. Prognostic nutritional index serves as a predicative marker of survival and associates with systemic inflammatory response in metastatic intrahepatic cholangiocarcinoma. OncoTargets Ther. 2016, 9, 6417–6423. [Google Scholar] [CrossRef] [PubMed]
- Feng, J.; Chen, Q.-X. Significance of the prognostic nutritional index in patients with esophageal squamous cell carcinoma. Ther. Clin. Risk Manag. 2013, 10, 1–7. [Google Scholar] [CrossRef]
- Yang, L.; Xia, L.; Wang, Y.; Hong, S.; Chen, H.; Liang, S.; Peng, P.; Chen, Y. Low Prognostic Nutritional Index (PNI) Predicts Unfavorable Distant Metastasis-Free Survival in Nasopharyngeal Carcinoma: A Propensity Score-Matched Analysis. PLoS ONE 2016, 11, e0158853. [Google Scholar] [CrossRef]
- Schütte, K.; Tippelt, B.; Schulz, C.; Röhl, F.-W.; Feneberg, A.; Seidensticker, R.; Arend, J.; Malfertheiner, P. Malnutrition is a prognostic factor in patients with hepatocellular carcinoma (HCC). Clin. Nutr. 2014, 34, 1122–1127. [Google Scholar] [CrossRef]
- Chan, A.; Chan, S.; Wong, G.L.-H.; Wong, V.W.S.; Chong, C.; Lai, P.B.S.; Chan, H.L.Y.; To, K.-F. Prognostic Nutritional Index (PNI) Predicts Tumor Recurrence of Very Early/Early Stage Hepatocellular Carcinoma After Surgical Resection. Ann. Surg. Oncol. 2015, 22, 4138–4148. [Google Scholar] [CrossRef]
- Müller, L.; Hahn, F.; Mähringer-Kunz, A.; Stoehr, F.; Gairing, S.; Foerster, F.; Weinmann, A.; Galle, P.; Mittler, J.; dos Santos, D.P.; et al. Refining Prognosis in Chemoembolization for Hepatocellular Carcinoma: Immunonutrition and Liver Function. Cancers 2021, 13, 3961. [Google Scholar] [CrossRef]
- Raoul, J.-L.; Forner, A.; Bolondi, L.; Cheung, T.T.; Kloeckner, R.; de Baere, T. Updated use of TACE for hepatocellular carcinoma treatment: How and when to use it based on clinical evidence. Cancer Treat. Rev. 2018, 72, 28–36. [Google Scholar] [CrossRef]
- Sun, K.; Chen, S.; Xu, J.; Li, G.; He, Y. The prognostic significance of the prognostic nutritional index in cancer: A systematic review and meta-analysis. J. Cancer Res. Clin. Oncol. 2014, 140, 1537–1549. [Google Scholar] [CrossRef]
- Spinella, R.; Sawhney, R.; Jalan, R. Albumin in chronic liver disease: Structure, functions and therapeutic implications. Hepatol. Int. 2016, 10, 124–132. [Google Scholar] [CrossRef]
- Triolo, M.; Della Corte, C.; Colombo, M. Impact of HBV therapy on the incidence of hepatocellular carcinoma. Liver Int. 2014, 34 (Suppl. 1), 139–145. [Google Scholar] [CrossRef] [PubMed]
- Carr, B.I.; Guerra, V. Serum Albumin Levels in Relation to Tumor Parameters in Hepatocellular Carcinoma Patients. Int. J. Biol. Markers 2017, 32, e391–e396. [Google Scholar] [CrossRef] [PubMed]
- Sanmamed, M.F.; Chen, L. A Paradigm Shift in Cancer Immunotherapy: From Enhancement to Normalization. Cell 2019, 176, 677. [Google Scholar] [CrossRef] [PubMed]
- Man, Y.-G.; Stojadinovic, A.; Mason, J.; Avital, I.; Bilchik, A.; Brücher, B.; Protic, M.; Nissan, A.; Izadjoo, M.; Zhang, X.; et al. Tumor-Infiltrating Immune Cells Promoting Tumor Invasion and Metastasis: Existing Theories. J. Cancer 2013, 4, 84–95. [Google Scholar] [CrossRef]
- Yao, W.; He, J.-C.; Yang, Y.; Wang, J.-M.; Qian, Y.-W.; Yang, T.; Ji, L. The Prognostic Value of Tumor-infiltrating Lymphocytes in Hepatocellular Carcinoma: A Systematic Review and Meta-analysis. Sci. Rep. 2017, 7, 7525. [Google Scholar] [CrossRef]
- Chen, T.-M.; Lin, C.-C.; Huang, P.-T.; Wen, C.-F. Neutrophil-to-lymphocyte ratio associated with mortality in early hepatocellular carcinoma patients after radiofrequency ablation. J. Gastroenterol. Hepatol. 2012, 27, 553–561. [Google Scholar] [CrossRef]
- Zakosek, M.; Bulatovic, D.; Pavlovic, V.; Filipovic, A.; Igic, A.; Galun, D.; Jovanovic, D.; Sisevic, J.; Masulovic, D. Prognostic Nutritional Index (PNI) and Neutrophil to Lymphocyte Ratio (NLR) as Predictors of Short-Term Survival in Patients with Advanced Malignant Biliary Obstruction Treated with Percutaneous Transhepatic Biliary Drainage. J. Clin. Med. 2022, 11, 7055. [Google Scholar] [CrossRef]
- Song, W.-J.; Li, N.-C.; Gao, J.; Xu, Z.-P.; Liu, J.-Y.; Long, Z.; He, L.-Y. The Predictive Significance of Prognostic Nutritional Index and Serum Albumin/Globulin Ratio on the Overall Survival of Penile Cancer Patients Undergoing Penectomy. Curr. Oncol. 2022, 29, 7569–7578. [Google Scholar] [CrossRef]
- Mureșan, A.V.; Hălmaciu, I.; Arbănași, E.M.; Kaller, R.; Arbănași, E.M.; Budișcă, O.A.; Melinte, R.M.; Vunvulea, V.; Filep, R.C.; Mărginean, L.; et al. Prognostic Nutritional Index, Controlling Nutritional Status (CONUT) Score, and Inflammatory Biomarkers as Predictors of Deep Vein Thrombosis, Acute Pulmonary Embolism, and Mortality in COVID-19 Patients. Diagnostics 2022, 12, 2757. [Google Scholar] [CrossRef]
- Kaller, R.; Arbănași, E.M.; Mureșan, A.V.; Voidăzan, S.; Arbănași, E.M.; Horváth, E.; Suciu, B.A.; Hosu, I.; Halmaciu, I.; Brinzaniuc, K.; et al. The Predictive Value of Systemic Inflammatory Markers, the Prognostic Nutritional Index, and Measured Vessels’ Diameters in Arteriovenous Fistula Maturation Failure. Life 2022, 12, 1447. [Google Scholar] [CrossRef]
- Man, Z.; Pang, Q.; Zhou, L.; Wang, Y.; Hu, X.; Yang, S.; Jin, H.; Liu, H. Prognostic significance of preoperative prognostic nutritional index in hepatocellular carcinoma: A meta-analysis. HPB 2018, 20, 888–895. [Google Scholar] [CrossRef]
- Pinato, D.J.; North, B.V.; Sharma, R. A novel, externally validated inflammation-based prognostic algorithm in hepatocellular carcinoma: The prognostic nutritional index (PNI). Br. J. Cancer 2012, 106, 1439–1445. [Google Scholar] [CrossRef]
- Yang, S.-L.; Liu, L.-P.; Ren, J.-W.; Fang, X.; Chen, G.G.; Lai, P.B.S. Preoperative serum α-fetoprotein and prognosis after hepatectomy for hepatocellular carcinoma. Br. J. Surg. 2016, 103, 716–724. [Google Scholar] [CrossRef]
- Watanabe, T.; Tokumoto, Y.; Joko, K.; Michitaka, K.; Horiike, N.; Tanaka, Y.; Tada, F.; Kisaka, Y.; Nakanishi, S.; Yamauchi, K.; et al. AFP and eGFR are related to early and late recurrence of HCC following antiviral therapy. BMC Cancer 2021, 21, 699. [Google Scholar] [CrossRef]
- Mehta, N.; Heimbach, J.; Harnois, D.M.; Sapisochin, G.; Dodge, J.L.; Lee, D.; Burns, J.M.; Sanchez, W.; Greig, P.D.; Grant, D.R.; et al. Validation of a Risk Estimation of Tumor Recurrence After Transplant (RETREAT) Score for Hepatocellular Carcinoma Recurrence After Liver Transplant. JAMA Oncol. 2017, 3, 493–500. [Google Scholar] [CrossRef]
- Wang, L.; Jin, Y.-X.; Ji, Y.-Z.; Mu, Y.; Zhang, S.-C.; Pan, S.-Y. Development and validation of a prediction model for microvascular invasion in hepatocellular carcinoma. World J. Gastroenterol. 2020, 26, 1647–1659. [Google Scholar] [CrossRef]
- Xu, X.-F.; Xing, H.; Han, J.; Li, Z.-L.; Lau, W.-Y.; Zhou, Y.-H.; Gu, W.-M.; Wang, H.; Chen, T.-H.; Zeng, Y.-Y.; et al. Risk Factors, Patterns, and Outcomes of Late Recurrence After Liver Resection for Hepatocellular Carcinoma: A Multicenter Study from China. JAMA Surg. 2019, 154, 209–217. [Google Scholar] [CrossRef]
- Verma, N.K.; Wong, B.H.S.; Poh, Z.S.; Udayakumar, A.; Verma, R.; Goh, R.K.J.; Duggan, S.P.; Shelat, V.G.; Chandy, K.G.; Grigoropoulos, N.F. Obstacles for T-lymphocytes in the tumour microenvironment: Therapeutic challenges, advances and opportunities beyond immune checkpoint. eBioMedicine 2022, 83, 104216. [Google Scholar] [CrossRef]






| Variables | Development Set (n = 785) | Validation Set (n = 336) | p-Value | |
|---|---|---|---|---|
| Age (years) Mean (SD) | 53.54 (11.21) | 55.52 (10.94) | 0.006 | |
| Sex | Male | 701 (89.3%) | 295 (87.8%) | 0.464 |
| Female | 84 (10.7%) | 41 (12.2%) | ||
| Stage of BCLC | B | 483 (61.5%) | 214 (63.7%) | 0.494 |
| C | 302 (38.5%) | 122 (36.3%) | ||
| Background Liver disease | Hepatitis B | 612 (78.0%) | 272 (81.0%) | 0.532 |
| Hepatitis C | 87 (11.1%) | 32 (9.5%) | ||
| Other | 86 (11.0%) | 32 (9.5%) | ||
| Child–Pugh classification | A | 654 (83.3%) | 273 (81.3%) | 0.403 |
| B | 131 (16.7%) | 63 (18.2%) | ||
| Portal vessel invasion | No | 531 (67.6%) | 224 (66.7%) | 0.749 |
| Yes | 254 (32.4%) | 112 (33.3%) | ||
| Extrahepatic metastasis | No | 733 (93.4%) | 322 (95.8%) | 0.109 |
| Yes | 52 (6.6%) | 14 (4.2%) | ||
| Tumor number | Single | 143 (18.2%) | 53 (15.8%) | 0.324 |
| Multiple | 642 (81.8%) | 283 (84.2%) | ||
| AFP level | <400 ng/ml | 486 (61.9%) | 221 (65.8%) | 0.220 |
| ≥400 ng/ml | 299 (38.1%) | 115 (34.2%) | ||
| Longest tumor diameter (mm) median (IQR) | 48 (52) | 41 (52) | 0.040 | |
| ALT (U/L) median (IQR) | 41 (39) | 37 (29) | 0.001 | |
| AST (U/L) median (IQR) | 48 (42) | 46 (39) | 0.168 | |
| TBIL (umol/L) median (IQR) | 15.9 (11.0) | 15.8 (11.8) | 0.857 | |
| ALB (g/L) mean (SD) | 38.4 (5.6) | 37.7 (5.5) | 0.051 | |
| HB (g/L) mean (SD) | 132 (21) | 131 (22) | 0.542 | |
| PLT (109/L) median (IQR) | 111 (95) | 105 (99) | 0.344 | |
| PT (S) median (IQR) | 14.3 (1.7) | 14.4 (1.8) | 0.008 | |
| PNI median (IQR) | 44.25 (8.83) | 44.05 (8.29) | 0.720 | |
| Progression | No | 15 (1.9%) | 3 (0.7%) | 0.214 |
| Yes | 770 (98.1%) | 333 (99.3%) | ||
| TTP (months) median (IQR) | 5.0 (9.0) | 7.9 (13.2) | <0.001 | |
| Status | Survival | 114 (14.5%) | 47 (14.0%) | 0.815 |
| Death | 671 (85.5%) | 289 (86.0%) | ||
| OS (months) median (IQR) | 18.4 (33.9) | 24.1 (32.7) | 0.010 | |
| Variables | Univariate Analysis | Multivariate Analysis | ||
|---|---|---|---|---|
| HR (95%CI) | p-Value | HR (95%CI) | p-Value | |
| Age (years) | 1.000 (0.993, 1.006) | 0.922 | ||
| Sex (female) | 1.120 (0.891, 1.407) | 0.332 | ||
| Stage of BCLC (C) | 2.219 (1.911, 2.576) | <0.001 | ||
| Child–Pugh classification (B) | 1.428 (1.180, 1.728) | <0.001 | 1.195 (0.946, 1.509) | 0.135 |
| Portal vessel invasion (yes) | 2.213 (1.894, 2.586) | <0.001 | 1.592 (1.304, 1.942) | <0.001 |
| Extrahepatic metastasis (yes) | 3.218 (2.415, 4.286) | <0.001 | 2.268 (1.678, 3.066) | <0.001 |
| Tumor number (multiple) | 0.650 (0.540, 0.781) | <0.001 | 1.332 (1.074, 1.653) | 0.009 |
| AFP (≥400 ng/mL) | 1.584 (1.368, 1.834) | <0.001 | 1.246 (1.067, 1.456) | 0.006 |
| Longest tumor diameter (mm) | 1.013 (1.011, 1.015) | <0.001 | 1.010 (1.007, 1.013) | <0.001 |
| ALT (U/L) | 1.001 (1.000, 1.002) | 0.171 | ||
| AST (U/L) | 1.002 (1.001, 1.002) | <0.001 | 1.000 (0.999, 1.001) | 0.859 |
| TBIL (umol/L) | 1.000 (0.997, 1.003) | 0.875 | ||
| ALB (g/L) | 0.964 (0.952, 0.976) | <0.001 | ||
| HB (g/L) | 0.995 (0.991, 0.998) | 0.002 | 0.996 (0.992, 1.000) | 0.079 |
| PLT (109/L) | 1.002 (1.001, 1.003) | <0.001 | 1.000 (0.999, 1.001) | 0.584 |
| PT (S) | 1.008 (0.970, 1.047) | 0.703 | ||
| PNI | 0.966 (0.956, 0.977) | <0.001 | 0.976 (0.962, 0.990) | 0.001 |
| Variables | Univariate Analysis | Multivariate Analysis | ||
|---|---|---|---|---|
| HR (95%CI) | p-Value | HR (95%CI) | p-Value | |
| Age (years) | 0.995 (0.989, 1.002) | 0.192 | ||
| Sex (female) | 1.071 (0.834, 1.375) | 0.590 | ||
| Stage of BCLC (C) | 2.822 (2.410, 3.303) | <0.001 | ||
| Child–Pugh classification (B) | 1.458 (1.193, 1.782) | <0.001 | 1.268 (1.001, 1.604) | 0.049 |
| Portal vessel invasion (yes) | 2.750 (2.337, 3.237) | <0.001 | 1.913 (1.561, 2.345) | <0.001 |
| Extrahepatic metastasis (yes) | 2.965 (2.213, 3.974) | <0.001 | 1.720 (1.268, 2.333) | <0.001 |
| Tumor number (multiple) | 0.562 (0.464, 0.680) | <0.001 | 1.341 (1.071, 1.679) | 0.010 |
| AFP (≥400 ng/mL) | 1.681 (1.440, 1.963) | <0.001 | 1.268 (1.074, 1.498) | 0.005 |
| Longest tumor diameter (mm) | 1.015 (1.013, 1.017) | <0.001 | 1.011 (1.008, 1.013) | <0.001 |
| ALT (U/L) | 1.001 (1.000, 1.002) | 0.154 | ||
| AST (U/L) | 1.002 (1.001, 1.002) | <0.001 | 1.000 (0.999, 1.001) | 0.418 |
| TBIL (umol/L) | 1.001 (0.998, 1.005) | 0.396 | ||
| ALB (g/L) | 0.957 (0.944, 0.970) | <0.001 | ||
| HB (g/L) | 0.994 (0.990, 0.998) | 0.001 | 0.998 (0.993, 1.002) | 0.282 |
| PLT (109/L) | 1.003 (1.002, 1.004) | <0.001 | 1.001 (1.000, 1.002) | 0.030 |
| PT (S) | 1.012 (0.972, 1.054) | 0.548 | ||
| PNI | 0.962 (0.951, 0.973) | <0.001 | 0.969 (0.955, 0.984) | <0.001 |
Disclaimer/Publisher’s Note: The statements, opinions and data contained in all publications are solely those of the individual author(s) and contributor(s) and not of MDPI and/or the editor(s). MDPI and/or the editor(s) disclaim responsibility for any injury to people or property resulting from any ideas, methods, instructions or products referred to in the content. |
© 2023 by the authors. Licensee MDPI, Basel, Switzerland. This article is an open access article distributed under the terms and conditions of the Creative Commons Attribution (CC BY) license (https://creativecommons.org/licenses/by/4.0/).
Share and Cite
Lei, K.; Deng, Z.-F.; Wang, J.-G.; You, K.; Xu, J.; Liu, Z.-J. PNI-Based Nomograms to Predict Tumor Progression and Survival for Patients with Unresectable Hepatocellular Carcinoma Undergoing Transcatheter Arterial Chemoembolization. J. Clin. Med. 2023, 12, 486. https://doi.org/10.3390/jcm12020486
Lei K, Deng Z-F, Wang J-G, You K, Xu J, Liu Z-J. PNI-Based Nomograms to Predict Tumor Progression and Survival for Patients with Unresectable Hepatocellular Carcinoma Undergoing Transcatheter Arterial Chemoembolization. Journal of Clinical Medicine. 2023; 12(2):486. https://doi.org/10.3390/jcm12020486
Chicago/Turabian StyleLei, Kai, Zhuo-Fan Deng, Jia-Guo Wang, Ke You, Jie Xu, and Zuo-Jin Liu. 2023. "PNI-Based Nomograms to Predict Tumor Progression and Survival for Patients with Unresectable Hepatocellular Carcinoma Undergoing Transcatheter Arterial Chemoembolization" Journal of Clinical Medicine 12, no. 2: 486. https://doi.org/10.3390/jcm12020486
APA StyleLei, K., Deng, Z.-F., Wang, J.-G., You, K., Xu, J., & Liu, Z.-J. (2023). PNI-Based Nomograms to Predict Tumor Progression and Survival for Patients with Unresectable Hepatocellular Carcinoma Undergoing Transcatheter Arterial Chemoembolization. Journal of Clinical Medicine, 12(2), 486. https://doi.org/10.3390/jcm12020486

