Pregnancy Outcomes in Women with PCOS: Follow-Up Study of a Randomized Controlled Three-Component Lifestyle Intervention
Abstract
1. Introduction
2. Materials and Methods
2.1. Trial Design
2.2. Participants
2.3. Three-Component Lifestyle Intervention (LSI) and Control Group (CAU)
2.4. Clinical and Endocrine Assessments
2.5. Outcome Measures
2.6. Statistical Methods
3. Results
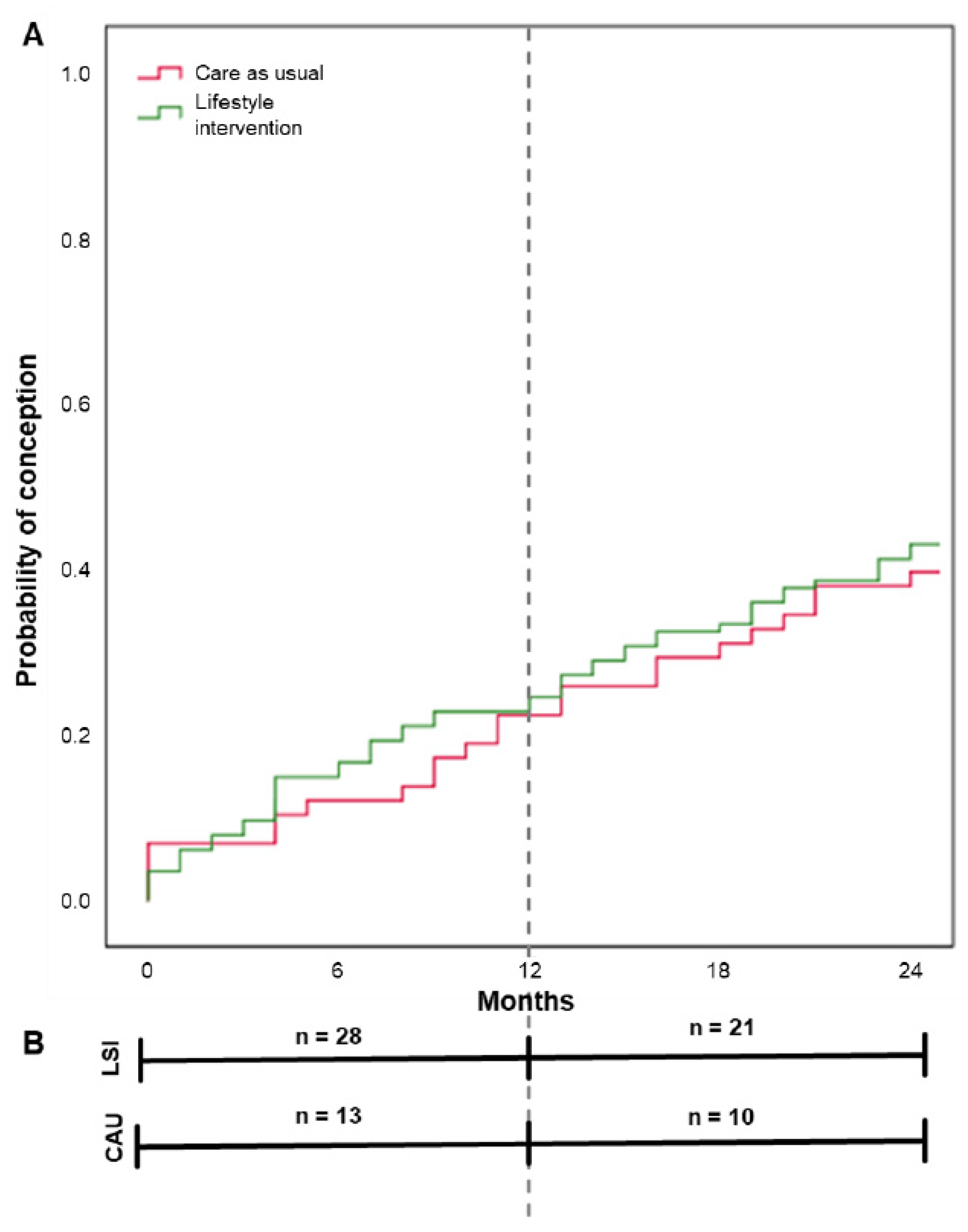
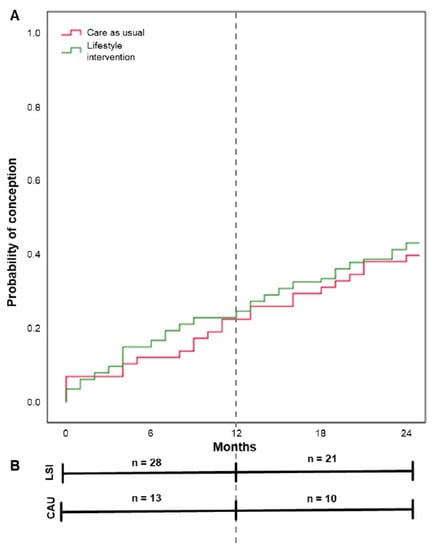
3.1. Conception Resulting in Live Birth
3.2. Pregnancy and Neonatal Complications
3.3. Prediction of Conception
3.4. Drop-Out Rate during Study Intervention Period
4. Discussion
5. Conclusions
Author Contributions
Funding
Institutional Review Board Statement
Informed Consent Statement
Data Availability Statement
Acknowledgments
Conflicts of Interest
References
- Teede, H.J.; Misso, M.L.; Costello, M.F.; Dokras, A.; Laven, J.; Moran, L.; Piltonen, T.; Norman, R.J.; International, P.N. Recommendations from the international evidence-based guideline for the assessment and management of polycystic ovary syndrome. Fertil. Steril. 2018, 110, 364–379. [Google Scholar] [CrossRef]
- The Rotterdam ESHRE/ASRM-Sponsored PCOS Consensus Workshop Group. Revised 2003 consensus on diagnostic criteria and long-term health risks related to polycystic ovary syndrome. Fertil. Steril. 2004, 81, 19–25. [Google Scholar] [CrossRef]
- Lim, S.S.; Davies, M.J.; Norman, R.J.; Moran, L.J. Overweight, obesity and central obesity in women with polycystic ovary syndrome: A systematic review and meta-analysis. Hum. Reprod. Update 2012, 18, 618–637. [Google Scholar] [CrossRef] [PubMed]
- Lizneva, D.; Suturina, L.; Walker, W.; Brakta, S.; Gavrilova-Jordan, L.; Azziz, R. Criteria, prevalence, and phenotypes of polycystic ovary syndrome. Fertil. Steril. 2016, 106, 6–15. [Google Scholar] [CrossRef] [PubMed]
- Lim, S.S.; Norman, R.J.; Davies, M.J.; Moran, L.J. The effect of obesity on polycystic ovary syndrome: A systematic review and meta-analysis. Obes. Rev. 2013, 14, 95–109. [Google Scholar] [CrossRef] [PubMed]
- Glueck, C.J.; Goldenberg, N. Characteristics of obesity in polycystic ovary syndrome: Etiology, treatment, and genetics. Metabolism 2019, 92, 108–120. [Google Scholar] [CrossRef]
- Azziz, R.; Carmina, E.; Chen, Z.; Dunaif, A.; Laven, J.S.; Legro, R.S.; Lizneva, D.; Natterson-Horowtiz, B.; Teede, H.J.; Yildiz, B.O. Polycystic ovary syndrome. Nat. Rev. Dis. Primers 2016, 2, 16057. [Google Scholar] [CrossRef]
- Silvestris, E.; de Pergola, G.; Rosania, R.; Loverro, G. Obesity as disruptor of the female fertility. Reprod. Biol. Endocrinol. 2018, 16, 22. [Google Scholar] [CrossRef]
- Rittenberg, V.; Seshadri, S.; Sunkara, S.K.; Sobaleva, S.; Oteng-Ntim, E.; El-Toukhy, T. Effect of body mass index on IVF treatment outcome: An updated systematic review and meta-analysis. Reprod. Biomed. Online 2011, 23, 421–439. [Google Scholar] [CrossRef]
- Imani, B.; Eijkemans, M.J.; te Velde, E.R.; Habbema, J.D.; Fauser, B.C. A nomogram to predict the probability of live birth after clomiphene citrate induction of ovulation in normogonadotropic oligoamenorrheic infertility. Fertil. Steril. 2002, 77, 91–97. [Google Scholar] [CrossRef]
- Boomsma, C.M.; Eijkemans, M.J.; Hughes, E.G.; Visser, G.H.; Fauser, B.C.; Macklon, N.S. A meta-analysis of pregnancy outcomes in women with polycystic ovary syndrome. Hum. Reprod. Update 2006, 12, 673–683. [Google Scholar] [CrossRef] [PubMed]
- Bahri Khomami, M.; Joham, A.E.; Boyle, J.A.; Piltonen, T.; Silagy, M.; Arora, C.; Misso, M.L.; Teede, H.J.; Moran, L.J. Increased maternal pregnancy complications in polycystic ovary syndrome appear to be independent of obesity-A systematic review, meta-analysis, and meta-regression. Obes. Rev. 2019, 20, 659–674. [Google Scholar] [CrossRef] [PubMed]
- Qin, J.Z.; Pang, L.H.; Li, M.J.; Fan, X.J.; Huang, R.D.; Chen, H.Y. Obstetric complications in women with polycystic ovary syndrome: A systematic review and meta-analysis. Reprod. Biol. Endocrinol. 2013, 11, 56. [Google Scholar] [CrossRef]
- Palomba, S.; de Wilde, M.A.; Falbo, A.; Koster, M.P.; La Sala, G.B.; Fauser, B.C. Pregnancy complications in women with polycystic ovary syndrome. Hum. Reprod. Update 2015, 21, 575–592. [Google Scholar] [CrossRef] [PubMed]
- de Wilde, M.A.; Lamain-de Ruiter, M.; Veltman-Verhulst, S.M.; Kwee, A.; Laven, J.S.; Lambalk, C.B.; Eijkemans, M.J.C.; Franx, A.; Fauser, B.; Koster, M.P.H. Increased rates of complications in singleton pregnancies of women previously diagnosed with polycystic ovary syndrome predominantly in the hyperandrogenic phenotype. Fertil. Steril. 2017, 108, 333–340. [Google Scholar] [CrossRef] [PubMed]
- Hoeger, K.M.; Kochman, L.; Wixom, N.; Craig, K.; Miller, R.K.; Guzick, D.S. A randomized, 48-week, placebo-controlled trial of intensive lifestyle modification and/or metformin therapy in overweight women with polycystic ovary syndrome: A pilot study. Fertil. Steril. 2004, 82, 421–429. [Google Scholar] [CrossRef] [PubMed]
- Jedel, E.; Labrie, F.; Oden, A.; Holm, G.; Nilsson, L.; Janson, P.O.; Lind, A.K.; Ohlsson, C.; Stener-Victorin, E. Impact of electro-acupuncture and physical exercise on hyperandrogenism and oligo/amenorrhea in women with polycystic ovary syndrome: A randomized controlled trial. Am. J. Physiol. Endocrinol. Metab. 2011, 300, E37–E45. [Google Scholar] [CrossRef]
- Lim, S.S.; Hutchison, S.K.; Van Ryswyk, E.; Norman, R.J.; Teede, H.J.; Moran, L.J. Lifestyle changes in women with polycystic ovary syndrome. Cochrane Database Syst. Rev. 2019, 3, CD007506. [Google Scholar] [CrossRef]
- Jiskoot, G.; Timman, R.; Beerthuizen, A.; Dietz de Loos, A.; Busschbach, J.; Laven, J. Weight Reduction Through a Cognitive Behavioral Therapy Lifestyle Intervention in PCOS: The Primary Outcome of a Randomized Controlled Trial. Obesity 2020, 28, 2134–2141. [Google Scholar] [CrossRef]
- Jiskoot, G.; Benneheij, S.H.; Beerthuizen, A.; de Niet, J.E.; de Klerk, C.; Timman, R.; Busschbach, J.J.; Laven, J.S. A three-component cognitive behavioural lifestyle program for preconceptional weight-loss in women with polycystic ovary syndrome (PCOS): A protocol for a randomized controlled trial. Reprod. Health 2017, 14, 34. [Google Scholar] [CrossRef]
- Brink, E.; van Rossum, C.; Postma-Smeets, A.; Stafleu, A.; Wolvers, D.; van Dooren, C.; Toxopeus, I.; Buurma-Rethans, E.; Geurts, M.; Ocke, M. Development of healthy and sustainable food-based dietary guidelines for the Netherlands. Public Health Nutr. 2019, 22, 2419–2435. [Google Scholar] [CrossRef] [PubMed]
- Global Recommendations on Physical Activity for Health; World Health Organization: Geneva, Switzerland, 2010.
- Meray, N.; Reitsma, J.B.; Ravelli, A.C.; Bonsel, G.J. Probabilistic record linkage is a valid and transparent tool to combine databases without a patient identification number. J. Clin. Epidemiol. 2007, 60, 883–891. [Google Scholar] [CrossRef] [PubMed]
- Jiskoot, G.; Dietz de Loos, A.; Beerthuizen, A.; Timman, R.; Busschbach, J.; Laven, J. Long-term effects of a three-component lifestyle intervention on emotional well-being in women with Polycystic Ovary Syndrome (PCOS): A secondary analysis of a randomized controlled trial. PLoS ONE 2020, 15, e0233876. [Google Scholar] [CrossRef] [PubMed]
- Dietz de Loos, A.L.P.; Jiskoot, G.; Timman, R.; Beerthuizen, A.; Busschbach, J.J.V.; Laven, J.S.E. Improvements in PCOS characteristics and phenotype severity during a randomized controlled lifestyle intervention. Reprod. Biomed. Online 2021, 43, 298–309. [Google Scholar] [CrossRef]
- Dietz de Loos, A.; Jiskoot, G.; Beerthuizen, A.; Busschbach, J.; Laven, J. Metabolic health during a randomized controlled lifestyle intervention in women with PCOS. Eur. J. Endocrinol. 2021, 186, 53–64. [Google Scholar] [CrossRef]
- Perined. Perinatale Zorg in Nederland Anno 2018: Landelijke Perinatale Cijfers en Duiding; Perined: Utrecht, The Netherlands, 2019. [Google Scholar]
- Teede, H.J.; Bailey, C.; Moran, L.J.; Bahri Khomami, M.; Enticott, J.; Ranasinha, S.; Rogozinska, E.; Skouteris, H.; Boyle, J.A.; Thangaratinam, S.; et al. Association of Antenatal Diet and Physical Activity-Based Interventions With Gestational Weight Gain and Pregnancy Outcomes: A Systematic Review and Meta-analysis. JAMA Intern. Med. 2022, 182, 106–114. [Google Scholar] [CrossRef]
- Legro, R.S.; Dodson, W.C.; Kris-Etherton, P.M.; Kunselman, A.R.; Stetter, C.M.; Williams, N.I.; Gnatuk, C.L.; Estes, S.J.; Fleming, J.; Allison, K.C.; et al. Randomized Controlled Trial of Preconception Interventions in Infertile Women With Polycystic Ovary Syndrome. J. Clin. Endocrinol. Metab. 2015, 100, 4048–4058. [Google Scholar] [CrossRef]
- Legro, R.S.; Dodson, W.C.; Kunselman, A.R.; Stetter, C.M.; Kris-Etherton, P.M.; Williams, N.I.; Gnatuk, C.L.; Estes, S.J.; Allison, K.C.; Sarwer, D.B.; et al. Benefit of Delayed Fertility Therapy With Preconception Weight Loss Over Immediate Therapy in Obese Women With PCOS. J. Clin. Endocrinol. Metab. 2016, 101, 2658–2666. [Google Scholar] [CrossRef]
- Legro, R.S.; Hansen, K.R.; Diamond, M.P.; Steiner, A.Z.; Coutifaris, C.; Cedars, M.I.; Hoeger, K.M.; Usadi, R.; Johnstone, E.B.; Haisenleder, D.J.; et al. Effects of preconception lifestyle intervention in infertile women with obesity: The FIT-PLESE randomized controlled trial. PLoS Med. 2022, 19, e1003883. [Google Scholar] [CrossRef]
- Einarsson, S.; Bergh, C.; Friberg, B.; Pinborg, A.; Klajnbard, A.; Karlstrom, P.O.; Kluge, L.; Larsson, I.; Loft, A.; Mikkelsen-Englund, A.L.; et al. Weight reduction intervention for obese infertile women prior to IVF: A randomized controlled trial. Hum. Reprod. 2017, 32, 1621–1630. [Google Scholar] [CrossRef]
- Mutsaerts, M.A.; van Oers, A.M.; Groen, H.; Burggraaff, J.M.; Kuchenbecker, W.K.; Perquin, D.A.; Koks, C.A.; van Golde, R.; Kaaijk, E.M.; Schierbeek, J.M.; et al. Randomized Trial of a Lifestyle Program in Obese Infertile Women. N. Engl. J. Med. 2016, 374, 1942–1953. [Google Scholar] [CrossRef] [PubMed]
- Ovesen, P.; Rasmussen, S.; Kesmodel, U. Effect of prepregnancy maternal overweight and obesity on pregnancy outcome. Obstet. Gynecol. 2011, 118, 305–312. [Google Scholar] [CrossRef]
- Cnattingius, S.; Villamor, E.; Johansson, S.; Edstedt Bonamy, A.K.; Persson, M.; Wikstrom, A.K.; Granath, F. Maternal obesity and risk of preterm delivery. JAMA 2013, 309, 2362–2370. [Google Scholar] [CrossRef] [PubMed]
- Aune, D.; Saugstad, O.D.; Henriksen, T.; Tonstad, S. Maternal body mass index and the risk of fetal death, stillbirth, and infant death: A systematic review and meta-analysis. JAMA 2014, 311, 1536–1546. [Google Scholar] [CrossRef] [PubMed]
- Awoke, M.A.; Earnest, A.; Joham, A.E.; Hodge, A.M.; Teede, H.J.; Brown, W.J.; Moran, L.J. Weight gain and lifestyle factors in women with and without polycystic ovary syndrome. Hum. Reprod. 2021, 37, 129–141. [Google Scholar] [CrossRef]
- Micic, D.D.; Toplak, H.; Micic, D.D.; Polovina, S.P. Reproductive outcomes after bariatric surgery in women. Wien. Klin. Wochenschr. 2022, 134, 56–62. [Google Scholar] [CrossRef]
- Macut, D.; Bjekic-Macut, J.; Rahelic, D.; Doknic, M. Insulin and the polycystic ovary syndrome. Diabetes Res. Clin. Pract. 2017, 130, 163–170. [Google Scholar] [CrossRef]
- Pasquali, R.; Gambineri, A. Insulin sensitizers in polycystic ovary syndrome. Front. Horm. Res. 2013, 40, 83–102. [Google Scholar] [CrossRef]
- Unfer, V.; Nestler, J.E.; Kamenov, Z.A.; Prapas, N.; Facchinetti, F. Effects of Inositol(s) in Women with PCOS: A Systematic Review of Randomized Controlled Trials. Int. J. Endocrinol. 2016, 2016, 1849162. [Google Scholar] [CrossRef]
- Mendoza, N.; Perez, L.; Simoncini, T.; Genazzani, A. Inositol supplementation in women with polycystic ovary syndrome undergoing intracytoplasmic sperm injection: A systematic review and meta-analysis of randomized controlled trials. Reprod. Biomed. Online 2017, 35, 529–535. [Google Scholar] [CrossRef]
- Zheng, X.; Lin, D.; Zhang, Y.; Lin, Y.; Song, J.; Li, S.; Sun, Y. Inositol supplement improves clinical pregnancy rate in infertile women undergoing ovulation induction for ICSI or IVF-ET. Medicine 2017, 96, e8842. [Google Scholar] [CrossRef] [PubMed]
- Pundir, J.; Psaroudakis, D.; Savnur, P.; Bhide, P.; Sabatini, L.; Teede, H.; Coomarasamy, A.; Thangaratinam, S. Inositol treatment of anovulation in women with polycystic ovary syndrome: A meta-analysis of randomised trials. BJOG 2018, 125, 299–308. [Google Scholar] [CrossRef] [PubMed]
- Lagana, A.S.; Garzon, S.; Casarin, J.; Franchi, M.; Ghezzi, F. Inositol in Polycystic Ovary Syndrome: Restoring Fertility through a Pathophysiology-Based Approach. Trends Endocrinol. Metab. 2018, 29, 768–780. [Google Scholar] [CrossRef]
- Siamashvili, M.; Davis, S.N. Update on the effects of GLP-1 receptor agonists for the treatment of polycystic ovary syndrome. Expert. Rev. Clin. Pharmacol. 2021, 14, 1081–1089. [Google Scholar] [CrossRef]
- Rausch, M.E.; Legro, R.S.; Barnhart, H.X.; Schlaff, W.D.; Carr, B.R.; Diamond, M.P.; Carson, S.A.; Steinkampf, M.P.; McGovern, P.G.; Cataldo, N.A.; et al. Predictors of pregnancy in women with polycystic ovary syndrome. J. Clin. Endocrinol. Metab. 2009, 94, 3458–3466. [Google Scholar] [CrossRef] [PubMed]
- Kuang, H.; Jin, S.; Hansen, K.R.; Diamond, M.P.; Coutifaris, C.; Casson, P.; Christman, G.; Alvero, R.; Huang, H.; Bates, G.W.; et al. Identification and replication of prediction models for ovulation, pregnancy and live birth in infertile women with polycystic ovary syndrome. Hum. Reprod. 2015, 30, 2222–2233. [Google Scholar] [CrossRef] [PubMed]
- Mulders, A.G.; Eijkemans, M.J.; Imani, B.; Fauser, B.C. Prediction of chances for success or complications in gonadotrophin ovulation induction in normogonadotrophic anovulatory infertility. Reprod. Biomed. Online 2003, 7, 170–178. [Google Scholar] [CrossRef]
- Mulders, A.G.; Laven, J.S.; Eijkemans, M.J.; Hughes, E.G.; Fauser, B.C. Patient predictors for outcome of gonadotrophin ovulation induction in women with normogonadotrophic anovulatory infertility: A meta-analysis. Hum. Reprod. Update 2003, 9, 429–449. [Google Scholar] [CrossRef]
- Nyboe Andersen, A.; Balen, A.H.; Platteau, P.; Pettersson, G.; Arce, J.C. Prestimulation parameters predicting live birth in anovulatory WHO Group II patients undergoing ovulation induction with gonadotrophins. Hum. Reprod. 2010, 25, 1988–1995. [Google Scholar] [CrossRef]
- Steegers-Theunissen, R.; Hoek, A.; Groen, H.; Bos, A.; van den Dool, G.; Schoonenberg, M.; Smeenk, J.; Creutzberg, E.; Vecht, L.; Starmans, L.; et al. Pre-Conception Interventions for Subfertile Couples Undergoing Assisted Reproductive Technology Treatment: Modeling Analysis. JMIR Mhealth Uhealth 2020, 8, e19570. [Google Scholar] [CrossRef]




| Lifestyle Intervention (SMS+ and SMS−) n = 123 | Care as Usual n = 60 | |
|---|---|---|
| n (%) | n (%) | |
| Nulliparous | 94 (77.7) | 44 (75.9) |
| Smoking | 24 (19.7) | 14 (23.7) |
| Alcohol consumption | 27 (22.1) | 19 (32.2) |
| Ethnicity | ||
| Northern European | 52 (42.6) | 24 (40.0) |
| Mediterranean | 18 (14.8) | 12 (20.0) |
| Hindustani | 15 (12.3) | 6 (10.0) |
| African | 27 (22.1) | 17 (28.3) |
| Asian | 6 (4.9) | 0 (0.0) |
| Other | 4 (3.3) | 1 (1.7) |
| Education | ||
| Low | 10 (8.3) | 8 (14.3) |
| Intermediate | 67 (55.4) | 35 (62.5) |
| High | 44 (36.4) | 13 (23.2) |
| PCOS characteristics | ||
| OD | 118 (96.7) | 57 (95.0) |
| HA | 97 (80.2) | 47 (78.3) |
| PCOM | 118 (98.3) | 59 (98.3) |
| Phenotype classification | ||
| A (OD + HA + PCOM) | 89 (74.8) | 43 (71.7) |
| B (OD + HA) | 2 (1.7) | 1 (1.7) |
| C (HA + PCOM) | 4 (3.4) | 3 (5.0) |
| D (OD + PCOM) | 24 (20.2) | 13 (21.7) |
| Median (IQR) | ||
| Age (year) | 29 (26–32) | 28 (26–32) |
| Weight (kg) | 92 (83–105) | 84 (79–97) |
| BMI (kg/m²) | 33.6 (30.8–36.6) | 30.6 (29.3–34.3) |
| Waist (cm) | 101 (93–107) | 96 (89–109) |
| Age of menarche (year) | 12 (12–14) | 12 (11–13) |
| Time attempting to conceive (months) | 24 (15–38) | 23 (14–35) |
| Lifestyle Intervention (SMS+ and SMS−) | Care as Usual | Total | ||
|---|---|---|---|---|
| n (%) | n (%) | p | n (%) | |
| Conception resulting in live birth | 49/123 (39.8) | 23/60 (38.3) | 0.845 | 72/183 (39.3) |
| Stillbirth (ante partum) | - | - | - | 3/75 (4.0) |
| Mode of conception | ||||
| Spontaneous | 27/49 (55.1) | 15/23 (65.2) | 42/72 (58.3) | |
| After ART | 16/49 (32.7) | 7/23 (30.4) | 23/72 (31.9) | |
| Unknown | 6/49 (12.2) | 1/23 (4.3) | 0.521 | 7/72 (9.7) |
| Method of delivery | ||||
| Vaginal birth | 25/49 (51.0) | 11/23 (47.8) | 36/72 (50.0) | |
| Instrument-assisted/caesarean section | 22/49 (44.9) | 12/23 (52.2) | 34/72 (47.2) | |
| Unknown | 2/49 (4.1) | 0/23 (0.0) | 0.564 | 2/72 (2.8) |
| Pregnancy complications | ||||
| (gestational) diabetes | 4/49 (8.2) | 5/23 (21.7) | 0.133 | 9/72 (12.5) |
| Hypertensive disorders | 4/49 (8.2) | 3/23 (13.0) | 0.673 | 7/72 (9.7) |
| Preterm birth | 6/49 (12.2) | 4/23 (17.4) | 0.716 | 10/72 (13.9) |
| Adverse postpartum outcomes | ||||
| Hemorrhage | - | - | - | 5/72 (6.9) |
| Adverse neonatal outcomes | ||||
| Apgar score < 7 after 5 min | - | - | - | 3/72 (4.2) |
| NICU admission | 3/49 (6.1) | 3/23 (13.0) | 0.376 | 6/72 (8.3) |
| Small for gestational age | 6/49 (12.2) | 4/23 (17.4) | 0.716 | 10/72 (13.9) |
| Large for gestational age | 5/49 (10.6) | 4/23 (17.4) | 0.452 | 9/72 (12.5) |
| Congenital abnormalities | - | - | - | 5/72 (6.9) |
| Median (IQR) | Median (IQR) | |||
| Birth weight (grams) | 3350 (2915–3760) | 3260 (2790–3870) | 0.668 | |
| Birth weight (percentile) | 64 (24–83) | 69 (22–86) | 0.817 | |
| Gestational age at delivery (days) | 276 (264–283) | 276 (267–283) | 0.633 | |
| Apgar 5 min | 10 (9–10) | 10 (9–10) | 0.734 |
| Univariate Model | OR (95% CI) | p-Value |
|---|---|---|
| Age | 0.939 (0.875–1.007) | 0.078 |
| Body mass index | 0.877 (0.776–0.991) | 0.035 |
| Modified Ferriman–Gallwey score | 0.959 (0.901–1.021) | 0.191 |
| Waist circumference | 0.967 (0.930–1.006) | 0.094 |
| Time attempting to conceive | 0.984 (0.971–0.997) | 0.014 |
| Androstenedione | 0.906 (0.805–1.021) | 0.105 |
| Free androgen index | 0.919 (0.852–0.992) | 0.030 |
| Glucose | 0.564 (0.310–1.023) | 0.060 |
| Insulin | 0.992 (0.986–0.997) | 0.002 |
| Sex hormone-binding globulin | 1.020 (1.000–1.040) | 0.049 |
| Mean ovarian volume | 0.925 (0.846–1.013) | 0.091 |
| Amenorrhea | 0.535 (0.223–1.287) | 0.163 |
| Multivariate model | OR (95% CI) | p-value |
| Time attempting to conceive | 0.984 (0.972–0.997) | 0.017 |
| Insulin | 0.991 (0.986–0.997) | 0.003 |
Disclaimer/Publisher’s Note: The statements, opinions and data contained in all publications are solely those of the individual author(s) and contributor(s) and not of MDPI and/or the editor(s). MDPI and/or the editor(s) disclaim responsibility for any injury to people or property resulting from any ideas, methods, instructions or products referred to in the content. |
© 2023 by the authors. Licensee MDPI, Basel, Switzerland. This article is an open access article distributed under the terms and conditions of the Creative Commons Attribution (CC BY) license (https://creativecommons.org/licenses/by/4.0/).
Share and Cite
Dietz de Loos, A.; Jiskoot, G.; Louwers, Y.; Beerthuizen, A.; Busschbach, J.; Laven, J. Pregnancy Outcomes in Women with PCOS: Follow-Up Study of a Randomized Controlled Three-Component Lifestyle Intervention. J. Clin. Med. 2023, 12, 426. https://doi.org/10.3390/jcm12020426
Dietz de Loos A, Jiskoot G, Louwers Y, Beerthuizen A, Busschbach J, Laven J. Pregnancy Outcomes in Women with PCOS: Follow-Up Study of a Randomized Controlled Three-Component Lifestyle Intervention. Journal of Clinical Medicine. 2023; 12(2):426. https://doi.org/10.3390/jcm12020426
Chicago/Turabian StyleDietz de Loos, Alexandra, Geranne Jiskoot, Yvonne Louwers, Annemerle Beerthuizen, Jan Busschbach, and Joop Laven. 2023. "Pregnancy Outcomes in Women with PCOS: Follow-Up Study of a Randomized Controlled Three-Component Lifestyle Intervention" Journal of Clinical Medicine 12, no. 2: 426. https://doi.org/10.3390/jcm12020426
APA StyleDietz de Loos, A., Jiskoot, G., Louwers, Y., Beerthuizen, A., Busschbach, J., & Laven, J. (2023). Pregnancy Outcomes in Women with PCOS: Follow-Up Study of a Randomized Controlled Three-Component Lifestyle Intervention. Journal of Clinical Medicine, 12(2), 426. https://doi.org/10.3390/jcm12020426
