COVID-19 Outcomes in Kidney Transplant Recipients in a German Transplant Center
Abstract
:1. Introduction
2. Materials and Methods
2.1. Data Collection and Extraction
2.2. Analytical Approach
2.3. Statistical Analysis
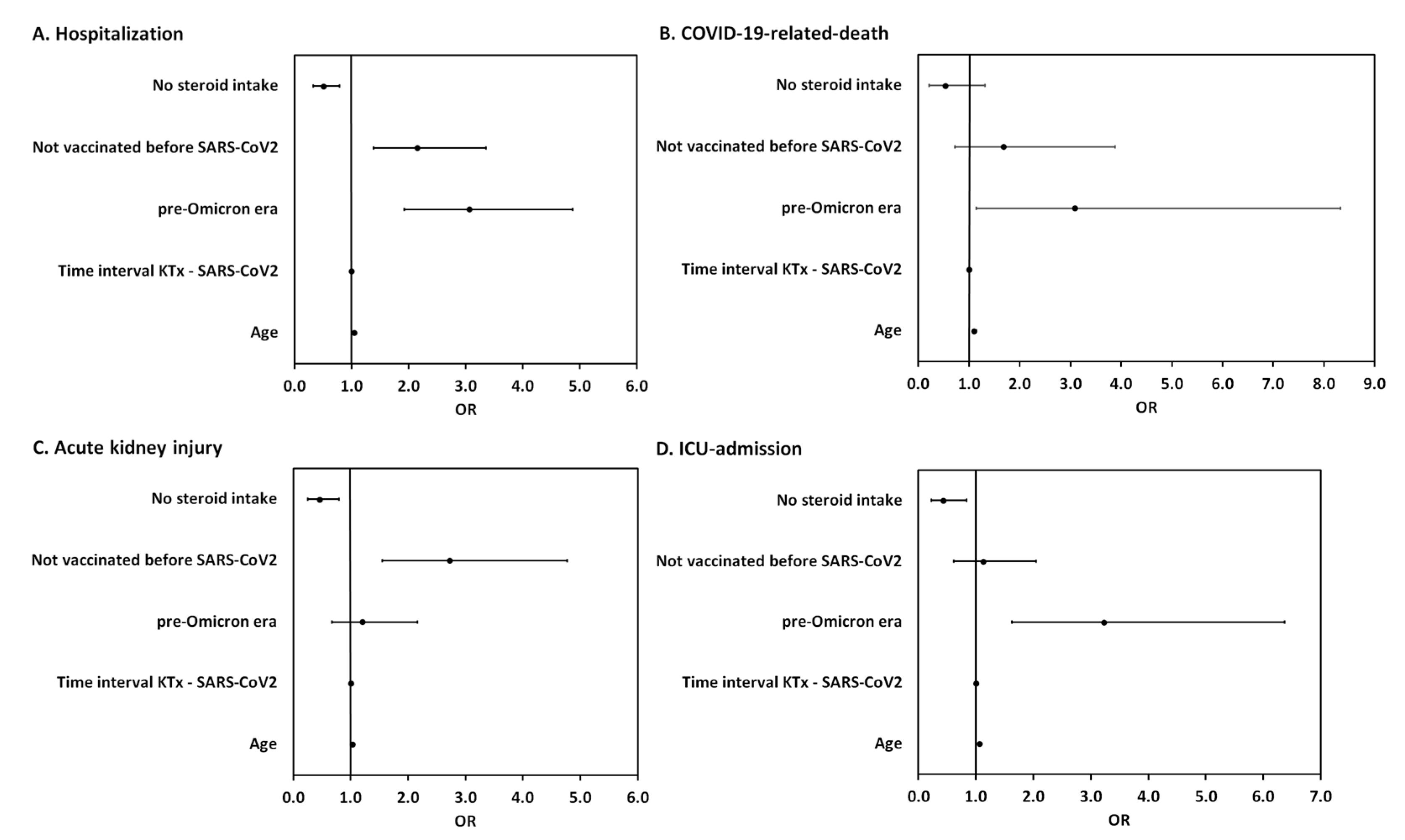
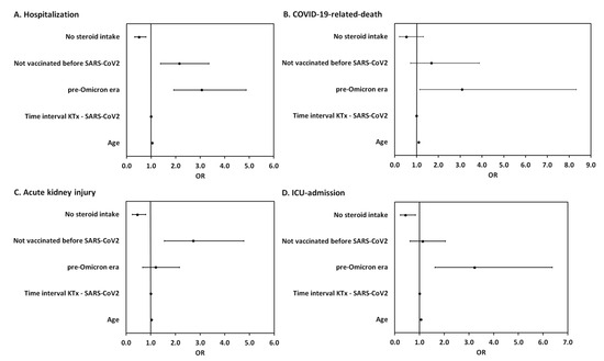
3. Results
4. Discussion
Strengths and Limitations
5. Conclusions
Author Contributions
Funding
Institutional Review Board Statement
Informed Consent Statement
Data Availability Statement
Conflicts of Interest
Appendix A

Appendix A.1. Explanation of the Causal Assumptions
References
- Navari, Y.; Bagheri, A.B.; Rezayat, A.A.; SeyedAlinaghi, S.; Najafi, S.; Barzegary, A.; Asadollahi-Amin, A. Mortality risk factors in kidney-transplanted patients with COVID-19: A systematic review and regression analysis. Health Sci. Rep. 2021, 4, e427. [Google Scholar] [CrossRef]
- Kun, Á.; Hubai, A.G.; Král, A.; Mokos, J.; Mikulecz, B.Á.; Radványi, Á. Do pathogens always evolve to be less virulent? The virulence–transmission trade-off in light of the COVID-19 pandemic. Biol. Futur. 2023, 74, 69–80. [Google Scholar] [CrossRef]
- Mendiola-Pastrana, I.R.; López-Ortiz, E.; Río de la Loza-Zamora, J.G.; González, J.; Gómez-García, A.; López-Ortiz, G. SARS-CoV-2 Variants and Clinical Outcomes: A Systematic Review. Life 2022, 12, 21. [Google Scholar] [CrossRef]
- Shin, D.H.; Smith, D.M.; Choi, J.Y. SARS-CoV-2 Omicron Variant of Concern: Everything You Wanted to Know about Omicron but Were Afraid to Ask. Yonsei Med. J. 2022, 63, 977–983. [Google Scholar] [CrossRef]
- Nyberg, T.; Ferguson, N.M.; Nash, S.G.; Webster, H.H.; Flaxman, S.; Andrews, N.; Thelwall, S. Comparative analysis of the risks of hospitalisation and death associated with SARS-CoV-2 omicron (B.1.1.529) and delta (B.1.617.2) variants in England: A cohort study. Lancet 2022, 399, 1303–1312. [Google Scholar] [CrossRef]
- Ou, J.; Lan, W.; Wu, X.; Zhao, T.; Duan, B.; Yang, P.; Zhang, Q. Tracking SARS-CoV-2 Omicron diverse spike gene mutations identifies multiple inter-variant recombination events. Signal Transduct. Target. Ther. 2022, 7, 9. [Google Scholar] [CrossRef]
- Hui, K.P.; Ho, J.C.; Cheung, M.C.; Ng, K.C.; Ching, R.H.; Lai, K.L.; Chan, M.C. SARS-CoV-2 Omicron variant replication in human bronchus and lung ex vivo. Nature 2022, 603, 715–720. [Google Scholar] [CrossRef]
- Schrezenmeier, E.; Rincon-Arevalo, H.; Jens, A.; Stefanski, A.L.; Hammett, C.; Osmanodja, B.; Budde, K. Temporary antimetabolite treatment hold boosts SARS-CoV-2 vaccination-specific humoral and cellular immunity in kidney transplant recipients. JCI Insight 2022, 7, 11. [Google Scholar] [CrossRef]
- Ferreira, V.H.; Solera, J.T.; Hu, Q.; Hall, V.G.; Arbol, B.G.; Hardy, W.R.; Samson, R.; Marinelli, T.; Ierullo, M.; Virk, A.K.; et al. Homotypic and heterotypic immune responses to Omicron variant in immunocompromised patients in diverse clinical settings. Nat. Commun. 2022, 13, 4489. [Google Scholar] [CrossRef]
- Goffin, E.; Candellier, A.; Vart, P.; Noordzij, M.; Arnol, M.; Covic, A.; Lentini, P.; Malik, S.; Reichert, L.J.; Sever, M.S.; et al. COVID-19-related mortality in kidney transplant and haemodialysis patients: A comparative, prospective registry-based study. Nephrol. Dial. Transplant. 2021, 36, 2094–2105. [Google Scholar] [CrossRef]
- Solera, J.T.; Árbol, B.G.; Alshahrani, A.; Bahinskaya, I.; Marks, N.; Humar, A.; Kumar, D. Impact of Vaccination and Early Monoclonal Antibody Therapy on Coronavirus Disease 2019 (COVID-19) Outcomes in Organ Transplant Recipients During the Omicron Wave. Clin. Infect. Dis. 2022, 75, 2193–2200. [Google Scholar] [CrossRef]
- Kremer, D.; Pieters, T.T.; Verhaar, M.C.; Berger, S.P.; Bakker, S.J.; van Zuilen, A.D.; Joles, J.A.; Vernooij, R.W.; van Balkom, B.W. A systematic review and meta-analysis of COVID-19 in kidney transplant recipients: Lessons to be learned. Am. J. Transplant. 2021, 21, 3936–3945. [Google Scholar] [CrossRef]
- Chen, J.-J.; Kuo, G.; Lee, T.H.; Yang, H.-Y.; Wu, H.H.; Tu, K.-H.; Tian, Y.-C. Incidence of Mortality, Acute Kidney Injury and Graft Loss in Adult Kidney Transplant Recipients with Coronavirus Disease 2019: Systematic Review and Meta-Analysis. J. Clin. Med. 2021, 10, 5162. [Google Scholar] [CrossRef]
- Opsomer, R.; Kuypers, D. COVID-19 and solid organ transplantation: Finding the right balance. Transplant. Rev. 2022, 36, 100710. [Google Scholar] [CrossRef]
- Devresse, A.; De Greef, J.; Yombi, J.C.; Belkhir, L.; Goffin, E.; Kanaan, N. Immunosuppression and SARS-CoV-2 Infection in Kidney Transplant Recipients. Transplant. Direct 2022, 8, 9. [Google Scholar] [CrossRef]
- Nimmo, A.M.; Gardiner, D.M.; Ushiro-Lumb, I.M.; Ravanan, R.M.; Forsythe, J.L.R.M. The Global Impact of COVID-19 on Solid Organ Transplantation: Two Years Into a Pandemic. Transplantation 2022, 106, 1312–1329. [Google Scholar] [CrossRef]
- WHO Coronavirus (COVID-19) Dashboard. Available online: https://covid19.who.int/ (accessed on 25 February 2023).
- Jafari-Oori, M.; Fiorentino, M.; Castellano, G.; Ebadi, A.; Rahimi-Bashar, F.; Guest, P.C.; Vahedian-Azimi, A.; Sahebkar, A. Acute Kidney Injury and COVID-19: A Scoping Review and Meta-Analysis. In Clinical, Biological and Molecular Aspects of COVID-19; Guest, P.C., Ed.; Springer International Publishing Ag: Cham, Switzerland, 2021; pp. 309–324. [Google Scholar] [CrossRef]
- Fiorentino, M.; Bagagli, F.; Deleonardis, A.; Stasi, A.; Franzin, R.; Conserva, F.; Infante, B.; Stallone, G.; Pontrelli, P.; Gesualdo, L. Acute Kidney Injury in Kidney Transplant Patients in Intensive Care Unit: From Pathogenesis to Clinical Management. Biomedicines 2023, 11, 1474. [Google Scholar] [CrossRef]
- Dennler, U.; Geisler, F.; Spinner, C.D. Declining COVID-19 morbidity and case fatality in Germany: The pandemic end? Infection 2022, 50, 1625–1626. [Google Scholar] [CrossRef]
- Cochran, W.C.; Shah, P.; Barker, L.C.; Langlee, J.C.; Freed, K.C.; Boyer, L.C.; Anderson, R.S.; Belden, M.C.; Bannon, J.M.; Kates, O.S.M.; et al. COVID-19 Clinical Outcomes in Solid Organ Transplant Recipients During the Omicron Surge. Transplantation 2022, 106, e346–e347. [Google Scholar] [CrossRef]
- Geetha, D.; Kronbichler, A.; Rutter, M.; Bajpai, D.; Menez, S.; Weissenbacher, A.; Anand, S.; Lin, E.; Carlson, N.; Sozio, S.; et al. Impact of the COVID-19 pandemic on the kidney community: Lessons learned and future directions. Nat. Rev. Nephrol. 2022, 18, 724–737. [Google Scholar] [CrossRef]
- Papadimitriou-Olivgeris, M.; Cipriano, A.; Guggisberg, N.; Kroemer, M.; Tschopp, J.; Manuel, O.; Golshayan, D. Outcome of COVID-19 in Kidney Transplant Recipients Through the SARS-CoV-2 Variants Eras: Role of Anti-SARS-CoV-2 Monoclonal Antibodies. Transpl. Int. 2022, 35, 9. [Google Scholar] [CrossRef] [PubMed]
- Anjan, S.; Khatri, A.; Viotti, J.B.; Cheung, T.; Garcia LA, C.; Simkins, J.; Natori, Y. Is the Omicron variant truly less virulent in solid organ transplant recipients? Transpl. Infect. Dis. 2022, 24, e13923. [Google Scholar] [CrossRef]
- Banjongjit, A.; Lertussavavivat, T.; Paitoonpong, L.; Putcharoen, O.; Vanichanan, J.; Wattanatorn, S.; Tungsanga, K.; Eiam-Ong, S.; Avihingsanon, Y.; Tungsanga, S.; et al. The Predictors for Severe SARS-CoV-2 Omicron (B.1.1.529) and Pre-Omicron Variants Infection Among Kidney Transplant Recipients. Transplantation 2022, 106, e520–e521. [Google Scholar] [CrossRef]
- Wong, G.; Rowlandson, M.; Sabanayagam, D.; Ginn, A.N.; Kable, K.; Sciberras, F.; Kok, J. COVID-19 Infection with the Omicron SARS-CoV-2 Variant in a Cohort of Kidney and Kidney Pancreas Transplant Recipients: Clinical Features, Risk Factors, and Outcomes. Transplantation 2022, 106, 1860–1866. [Google Scholar] [CrossRef] [PubMed]
- Rodríguez-Cubillo, B.; de la Higuera MA, M.; Pérez-Flores, I.; Romero, N.C.; Aiffil, A.S.; Vilela, A.A.; Sanchez-Fructuoso, A.I. Clinical Effectiveness of SARS-CoV-2 Vaccination in Renal Transplant Recipients. Antibody Levels Impact in Pneumonia and Death. Transplantation 2022, 106, E476–E487. [Google Scholar] [CrossRef] [PubMed]
- Schmidt, D.; Osmanodja, B.; Pfefferkorn, M.; Graf, V.; Raschke, D.; Duettmann, W.; Budde, K. TBase—An Integrated Electronic Health Record and Research Database for Kidney Transplant Recipients. Jove-J. Vis. Exp. 2021, e61971. [Google Scholar] [CrossRef]
- Robert-Koch-Institut. Übersicht zu Omikron-Fällen in Deutschland 2022. Available online: https://www.rki.de/DE/Content/InfAZ/N/Neuartiges_Coronavirus/Situationsberichte/Omikron-Faelle/Omikron-Faelle.html (accessed on 21 October 2022).
- Osmanodja, B.; Ronicke, S.; Budde, K.; Jens, A.; Hammett, C.; Koch, N.; Schrezenmeier, E. Serological Response to Three, Four and Five Doses of SARS-CoV-2 Vaccine in Kidney Transplant Re-cipients. J. Clin. Med. 2022, 11, 2565. [Google Scholar] [CrossRef]
- Osmanodja, B.; Mayrdorfer, M.; Halleck, F.; Choi, M.; Budde, K. Undoubtedly, kidney transplant recipients have a higher mortality due to COVID-19 disease compared to the general population. Transpl. Int. 2021, 34, 769–771. [Google Scholar] [CrossRef]
- Veeranki, V.; Prasad, N.; Meyyappan, J.; Bhadauria, D.; Behera, M.R.; Kushwaha, R.; Kaul, A. The adverse effects of high-dose corticosteroid on infectious and non-infectious sequelae in renal transplant recipients with coronavirus disease-19 in India. Transpl. Infect. Dis. 2022, 24, e13908. [Google Scholar] [CrossRef]
- Gérard, A.O.; Barbosa, S.; Anglicheau, D.; Couzi, L.; Hazzan, M.; Thaunat, O.; Blancho, G.; Caillard, S.; Sicard, A.; French SOT COVID Registry. Association between Maintenance Immunosuppressive Regimens and COVID-19 Mortality in Kidney Transplant Recipients. Transplantation 2022, 106, 2063–2067. [Google Scholar] [CrossRef]
- Requião-Moura, L.R.; de Sandes-Freitas, T.V.; Viana, L.A.; Cristelli, M.P.; de Andrade, L.G.M.; Garcia, V.D.; de Oliveira, C.M.C.; Esmeraldo, R.d.M.; Filho, M.A.; Pacheco-Silva, A.; et al. High mortality among kidney transplant recipients diagnosed with coronavirus disease 2019: Results from the Brazilian multicenter cohort study. PLoS ONE 2021, 16, e0254822. [Google Scholar] [CrossRef] [PubMed]
- Levin, M.J.; Ustianowski, A.; De Wit, S.; Launay, O.; Avila, M.; Templeton, A.; Yuan, Y.; Seegobin, S.; Ellery, A.; Levinson, D.J.; et al. Intramuscular AZD7442 (Tixagevimab–Cilgavimab) for Prevention of COVID-19. N. Engl. J. Med. 2022, 386, 2188–2200. [Google Scholar] [CrossRef] [PubMed]
- Flacco, M.E.; Acuti Martellucci, C.; Baccolini, V.; De Vito, C.; Renzi, E.; Villari, P.; Manzoli, L. COVID-19 vaccines reduce the risk of SARS-CoV-2 reinfection and hospitalization: Meta-analysis. Front. Med. 2022, 9, 3313. [Google Scholar] [CrossRef] [PubMed]
- Flacco, M.E.; Acuti Martellucci, C.; Baccolini, V.; De Vito, C.; Renzi, E.; Villari, P.; Manzoli, L. Risk of reinfection and disease after SARS-CoV-2 primary infection: Meta-analysis. Eur. J. Clin. Investig. 2022, 52, e13845. [Google Scholar] [CrossRef]
- Robert-Koch-Institut. Gesamtübersicht der pro Tag ans RKI übermittelten Fälle und Todesfälle. 2022. Available online: https://www.rki.de/DE/Content/InfAZ/N/Neuartiges_Coronavirus/Daten/Fallzahlen_Gesamtuebersicht.html (accessed on 19 October 2022).
- Duettmann, W.; Naik, M.G.; Schmidt, D.; Pfefferkorn, M.; Kurz, M.; Graf, V.; Budde, K. Digital Home-Monitoring of Patients after Kidney Transplantation: The MACCS Platform. Jove-J. Vis. Exp. 2021, e61899. [Google Scholar] [CrossRef]
- Holland, T.L.; Ginde, A.A.; Paredes, R.; Murray, T.A.; Engen, N.; Grandits, G.; Lundgren, J.D. Tixagevimab-cilgavimab for treatment of patients hospitalised with COVID-19: A randomised, dou-ble-blind, phase 3 trial. Lancet Respir. Med. 2022, 10, 972–984. [Google Scholar] [CrossRef]
- Beigel, J.H.; Tomashek, K.M.; Dodd, L.E.; Mehta, A.K.; Zingman, B.S.; Kalil, A.C.; Hohmann, E.; Chu, H.Y.; Luetkemeyer, A.; Kline, S.; et al. Remdesivir for the Treatment of COVID-19—Final Report. N. Engl. J. Med. 2020, 383, 1813–1826. [Google Scholar] [CrossRef]
- Seidel, A.; Jahrsdörfer, B.; Körper, S.; Albers, D.; Maltitz, P.V.; Müller, R.; Schrezenmeier, H. SARS-CoV-2 vaccination of convalescents boosts neutralization capacity against SARS-CoV-2 Delta and Omicron that can be predicted by anti-S antibody concentrations in serological assays. medRxiv 2022. [Google Scholar] [CrossRef]




| KTRs infected with COVID-19, n | 578 |
| Reinfection, n (%) | 25 (4) |
| Males, n (%) | 355 (61) |
| Median age in years (IQR) | 54.17 (19.24–85.57) |
| Median time post-KTx to COVID-19 in months (IQR) | 101 (0–1463) |
| Vaccination before the infection, n (%) | 338 (58) |
| Immunosuppressive therapy at COVID-19 diagnosis | |
| Mycophenolic acid, n (%) | 481 (83) |
| Tacrolimus, n (%) | 379 (66) |
| Cyclosporine, n (%) | 110 (19) |
| Steroids, n (%) | 373 (65) |
| Belatacept, n (%) | 27 (5) |
| mTOR inhibitors, n (%) | 14 (2) |
| Azathioprine, n (%) | 18 (3) |
| Patients with missing data about IS, n (%) | 35 (6) |
| COVID-19 clinical course and management | |
| Acute kidney injury | 103 (18) |
| Hospitalization, n (%) | 208 (36) |
| Median duration in days (IQR) | 11 (1–123) |
| ICU admission, n (%) | 73 (13) |
| COVID-19 outcomes | |
| Death, n (%) 1 | 39 (7) |
| Pre-Omicron 1 | Omicron 2 | p | |
|---|---|---|---|
| KTRs infected with COVID-19, n (%) | 317 (55) | 261 (45) | |
| Reinfection, n (%) | 23 (7) | 2 (1) | |
| Vaccination before the infection, n (%) | 110 (35) | 228 (87) | |
| COVID-19 clinical course and management | |||
| Acute kidney injury | 68 (21) | 35 (13) | 0.022 |
| Hospitalization, n (%) | 154 (49) | 54 (21) | <0.001 |
| Median duration in days (IQR) | 12 (1–123) | 11 (1–103) | <0.001 |
| ICU admission, n (%) | 56 (18) | 17 (7) | <0.001 |
| Death, n (%) 3 | 31 (10) | 8 (3) | 0.001 |
| Not Vaccinated | Vaccinated | p | |
|---|---|---|---|
| Total, n | 240 | 338 | |
| Reinfection, n (%) | 18 (8) | 7 (2) | 0.002 |
| Omicron 3, n(%) | 35 (15) | 226 (67) | <0.001 |
| COVID-19 clinical course and management | |||
| Acute kidney injury | 66 (28) | 37 (11) | <0.001 |
| Hospitalization, n (%) | 128 (53) | 80 (24) | <0.001 |
| Median duration in days (IQR) | 11 (1–123) | 12 (1–123) | <0.001 |
| ICU admission, n (%) | 41 (17) | 32 (9) | 0.008 |
| Death, n (%) 4 | 25 (10) | 14 (4) | 0.003 |
| Pre-Omicron 1 | Omicron 2 | |||
|---|---|---|---|---|
| Vaccinated | Not Vaccinated | Vaccinated | Not Vaccinated | |
| KTRs infected with COVID-19, n (%) 3 | 110 (35) | 207 (65) | 228 (87) | 33 (13) |
| Reinfection, n (%) | 5 (5) | 18 (9) | 2 (1) | 0 (0) |
| COVID-19 outcomes | ||||
| Acute kidney injury | 16 (15) | 52 (25) | 21 (9) | 14 (42) |
| Hospitalization, n (%) | 43 (39) | 111 (54) | 37 (16) | 17 (52) |
| Duration in days (IQR) | 14 (1–123) | 11 (1–123) | 11 (1–86) | 12 (3–103) |
| ICU admission, n (%) | 19 (17) | 37 (18) | 13 (6) | 4 (12) |
| Death, n (%) 4 | 9 (8) | 22 (11) | 5 (2) | 3 (9) |
Disclaimer/Publisher’s Note: The statements, opinions and data contained in all publications are solely those of the individual author(s) and contributor(s) and not of MDPI and/or the editor(s). MDPI and/or the editor(s) disclaim responsibility for any injury to people or property resulting from any ideas, methods, instructions or products referred to in the content. |
© 2023 by the authors. Licensee MDPI, Basel, Switzerland. This article is an open access article distributed under the terms and conditions of the Creative Commons Attribution (CC BY) license (https://creativecommons.org/licenses/by/4.0/).
Share and Cite
Mikhailov, M.; Budde, K.; Halleck, F.; Eleftheriadis, G.; Naik, M.G.; Schrezenmeier, E.; Bachmann, F.; Choi, M.; Duettmann, W.; von Hoerschelmann, E.; et al. COVID-19 Outcomes in Kidney Transplant Recipients in a German Transplant Center. J. Clin. Med. 2023, 12, 6103. https://doi.org/10.3390/jcm12186103
Mikhailov M, Budde K, Halleck F, Eleftheriadis G, Naik MG, Schrezenmeier E, Bachmann F, Choi M, Duettmann W, von Hoerschelmann E, et al. COVID-19 Outcomes in Kidney Transplant Recipients in a German Transplant Center. Journal of Clinical Medicine. 2023; 12(18):6103. https://doi.org/10.3390/jcm12186103
Chicago/Turabian StyleMikhailov, Michael, Klemens Budde, Fabian Halleck, Georgios Eleftheriadis, Marcel G. Naik, Eva Schrezenmeier, Friederike Bachmann, Mira Choi, Wiebke Duettmann, Ellen von Hoerschelmann, and et al. 2023. "COVID-19 Outcomes in Kidney Transplant Recipients in a German Transplant Center" Journal of Clinical Medicine 12, no. 18: 6103. https://doi.org/10.3390/jcm12186103
APA StyleMikhailov, M., Budde, K., Halleck, F., Eleftheriadis, G., Naik, M. G., Schrezenmeier, E., Bachmann, F., Choi, M., Duettmann, W., von Hoerschelmann, E., Koch, N., Liefeldt, L., Lücht, C., Straub-Hohenbleicher, H., Waiser, J., Weber, U., Zukunft, B., & Osmanodja, B. (2023). COVID-19 Outcomes in Kidney Transplant Recipients in a German Transplant Center. Journal of Clinical Medicine, 12(18), 6103. https://doi.org/10.3390/jcm12186103

