Evaluation of Two Online Risk Prediction Models for the Mortality Rate of Acute Type A Aortic Dissection Surgery: The German Registry of Acute Aortic Dissection Type A Score and the European System for Cardiac Operative Risk Evaluation II
Abstract
1. Introduction
2. Materials and Methods
2.1. Ethics Statement
2.2. Population and Settings
2.3. Data Collection
2.4. Definitions
2.5. Arch Surgical Approach
2.6. Deep Hypothermia Cardiac Arrest Method
2.7. Statistical Analysis
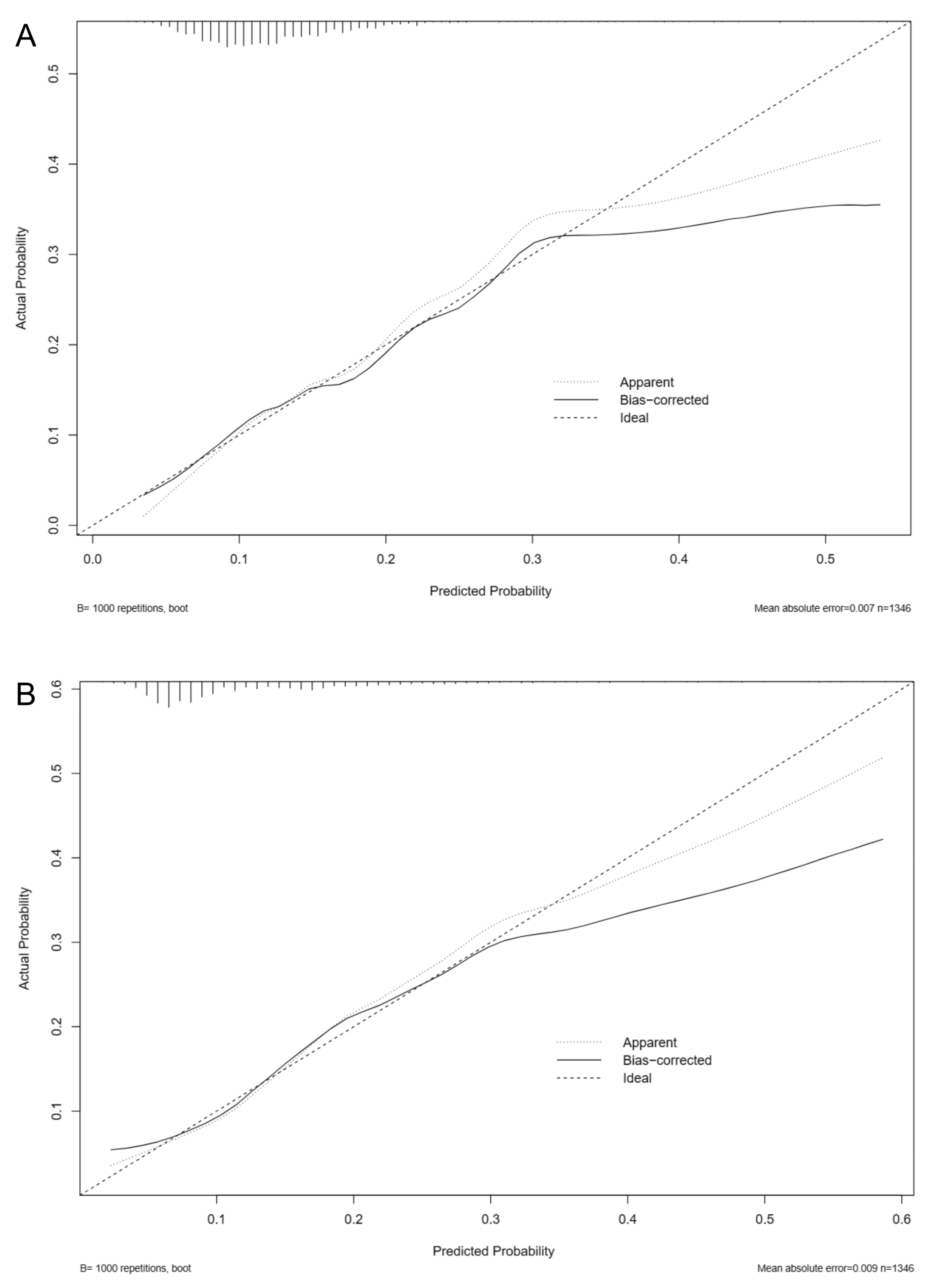
3. Results
4. Discussion
Limitations
5. Conclusions
Author Contributions
Funding
Institutional Review Board Statement
Informed Consent Statement
Data Availability Statement
Conflicts of Interest
References
- Conzelmann, L.O.; Weigang, E.; Mehlhorn, U.; Abugameh, A.; Hoffmann, I.; Blettner, M.; Etz, C.D.; Czerny, M.; Vahl, C.F. Mortality in patients with acute aortic dissection type A: Analysis of pre- and intraoperative risk factors from the German Registry for Acute Aortic Dissection Type A (GERAADA). Eur. J. Cardiothorac. Surg. 2016, 49, e44–e52. [Google Scholar] [CrossRef]
- Bonser, R.S.; Ranasinghe, A.M.; Loubani, M.; Evans, J.D.; Thalji, N.M.; Bachet, J.E.; Carrel, T.P.; Czerny, M.; Di Bartolomeo, R.; Grabenwöger, M.; et al. Evidence, lack of evidence, controversy, and debate in the provision and performance of the surgery of acute type A aortic dissection. J. Am. Coll Cardiol. 2011, 58, 2455–2474. [Google Scholar] [CrossRef]
- Gudbjartsson, T.; Ahlsson, A.; Geirsson, A.; Gunn, J.; Hjortdal, V.; Jeppsson, A.; Mennander, A.; Zindovic, I.; Olsson, C. Acute type A aortic dissection—A review. Scand Cardiovasc. J. 2020, 54, 1–13. [Google Scholar] [CrossRef]
- Malaisrie, S.C.; Szeto, W.Y.; Halas, M.; Girardi, L.N.; Coselli, J.S.; Sundt, T.M.; Chen, E.P.; Fischbein, M.P.; Gleason, T.G.; Okita, Y.; et al. The American Association for Thoracic Surgery expert consensus document: Surgical treatment of acute type A aortic dissection. J. Thorac. Cardiovasc. Surg. 2021, 162, 735–758.e2. [Google Scholar] [CrossRef]
- Mussa, F.F.; Horton, J.D.; Moridzadeh, R.; Nicholson, J.; Trimarchi, S.; Eagle, K.A. Acute Aortic Dissection and Intramural Hematoma: A Systematic Review. JAMA 2016, 316, 754–763. [Google Scholar] [CrossRef]
- Tang, X.; Jiang, Y.; Xue, Y.; Chen, W.; Zhang, H.; Lu, Y.; Zhang, H.; Xie, W.; Dai, B.; Zhou, Q.; et al. Predictive Factors for In-Hospital Preoperative Rupture in Hyperacute Type A Aortic Dissection. Heart Surg. Forum. 2021, 24, E379–E386. [Google Scholar] [CrossRef]
- Yang, B.; Norton, E.L.; Rosati, C.M.; Wu, X.; Kim, K.M.; Khaja, M.S.; Deeb, G.M.; Williams, D.M.; Patel, H.J. Managing patients with acute type A aortic dissection and mesenteric malperfusion syndrome: A 20-year experience. J. Thorac. Cardiovasc. Surg. 2019, 158, 675–687.e4. [Google Scholar] [CrossRef]
- Zhou, Z.; Cecchi, A.C.; Prakash, S.K.; Milewicz, D.M. Risk Factors for Thoracic Aortic Dissection. Genes 2022, 13, 1814. [Google Scholar] [CrossRef]
- Nashef, S.A.; Roques, F.; Sharples, L.D.; Nilsson, J.; Smith, C.; Goldstone, A.R.; Lockowandt, U. EuroSCORE II. Eur. J. Cardiothorac. Surg. 2012, 41, 734–744; discussion 744–745. [Google Scholar] [CrossRef]
- Czerny, M.; Siepe, M.; Beyersdorf, F.; Feisst, M.; Gabel, M.; Pilz, M.; Pöling, J.; Dohle, D.-S.; Sarvanakis, K.; Luehr, M.; et al. Prediction of mortality rate in acute type A dissection: The German Registry for Acute Type A Aortic Dissection score. Eur. J. Cardiothorac. Surg. 2020, 58, 700–706. [Google Scholar] [CrossRef]
- Nežić, D.G.; Živković, I.S.; Miličić, M.D.; A Milačić, P.; Košević, D.N.; Boričić, M.I.; Krasić, S.D.; Mićović, S.V. On-line risk prediction models for acute type A aortic dissection surgery: Validation of the German Registry of Acute Aortic Dissection Type A score and the European System for Cardiac Operative Risk Evaluation II. Eur. J. Cardiothorac. Surg. 2022, 61, 1068–1075. [Google Scholar] [CrossRef]
- Gemelli, M.; Di Tommaso, E.; Natali, R.; Dixon, L.K.; Ahmed, E.M.; Rajakaruna, C.; Bruno, V.D. Validation of the German Registry for Acute Aortic Dissection Type A Score in predicting 30-day mortality after type A aortic dissection surgery. Eur. J. Cardiothorac. Surg. 2023, 63, ezad141. [Google Scholar] [CrossRef]
- Luehr, M.; Merkle-Storms, J.; Gerfer, S.; Li, Y.; Krasivskyi, I.; Vehrenberg, J.; Rahmanian, P.; Kuhn-Régnier, F.; Mader, N.; Wahlers, T. Evaluation of the GERAADA score for prediction of 30-day mortality in patients with acute type A aortic dissection. Eur. J. Cardiothorac. Surg. 2021, 59, 1109–1114. [Google Scholar] [CrossRef]
- Xue, Y.; Liu, C.; Mi, L.; Chen, Y.; Wang, D. Risk factors for cerebral complications after type A aortic dissection surgery: Single center’s experience. Ann. Palliat. Med. 2021, 10, 7458–7467. [Google Scholar] [CrossRef]
- Jaffar-Karballai, M.; Tran, T.T.; Oremakinde, O.; Zafar, S.; Harky, A. Malperfusion in Acute Type A Aortic Dissection: Management Strategies. Vasc. Endovasc. Surg. 2021, 55, 721–729. [Google Scholar] [CrossRef]
- Cho, Y.H.; Sung, K.; Kim, W.S.; Jeong, D.S.; Lee, Y.T.; Park, P.W.; Kim, D.-K. Malperfusion syndrome without organ failure is not a risk factor for surgical procedures for type A aortic dissection. Ann. Thorac. Surg. 2014, 98, 59–64. [Google Scholar] [CrossRef]
- Yang, B.; Patel, H.J.; Williams, D.M.; Dasika, N.L.; Deeb, G.M. Management of type A dissection with malperfusion. Ann. Cardiothorac. Surg. 2016, 5, 265–274. [Google Scholar] [CrossRef]
- Fichadiya, A.; Gregory, A.J.; Kotha, V.K.; Herget, E.J.; Smith, H.N.; Tai, E.; Guo, M.; Mina, F.; Appoo, J.J. Extended-arch repair for acute type-A aortic dissection: Perioperative and mid-term results. Eur. J. Cardiothorac. Surg. 2019, 56, 714–721. [Google Scholar] [CrossRef]
- Easo, J.; Weigang, E.; Hölzl, P.P.; Horst, M.; Hoffmann, I.; Blettner, M.; Dapunt, O.E. Influence of operative strategy for the aortic arch in DeBakey type I aortic dissection: Analysis of the German Registry for Acute Aortic Dissection Type A. J. Thorac. Cardiovasc. Surg. 2012, 144, 617–623. [Google Scholar] [CrossRef]
- Helder, M.R.; Schaff, H.V.; Day, C.N.; Pochettino, A.; Bagameri, G.; Greason, K.L.; Lansman, S.L.; Girardi, L.N.; Storlie, C.B.; Habermann, E.B. Regional and Temporal Trends in the Outcomes of Repairs for Acute Type A Aortic Dissections. Ann. Thorac. Surg. 2020, 109, 26–33. [Google Scholar] [CrossRef]
- Salem, M.; Friedrich, C.; Thiem, A.; Huenges, K.; Puehler, T.; Cremer, J.; Haneya, A. Risk Factors for Mortality in Acute Aortic Dissection Type A: A Centre Experience Over 15 Years. Thorac. Cardiovasc. Surg. 2021, 69, 322–328. [Google Scholar] [CrossRef]
- Lin, C.-Y.; Lee, K.-T.; Ni, M.-Y.; Tseng, C.-N.; Lee, H.-A.; Su, I.-L.; Ho, H.-P.; Tsai, F.-C. Impact of reduced left ventricular function on repairing acute type A aortic dissection: Outcome and risk factors analysis from a single institutional experience. Medicine 2018, 97, e12165. [Google Scholar] [CrossRef]
- Thurau, J.; Habazettl, H.; El Al, A.A.; Mladenow, A.; Zaschke, L.; Adam, U.; Kuppe, H.; Wundram, M.; Kukucka, M.; Kurz, S.D. Left Ventricular Systolic Dysfunction in Patients with Type-A Aortic Dissection Is Associated With 30-Day Mortality. J. Cardiothorac. Vasc. Anesth. 2019, 33, 51–57. [Google Scholar] [CrossRef]




| Characteristics | Number of Patients (%) |
|---|---|
| Age (year), media (IQR) | 53 (44, 63) |
| Sex (female) | 326 (24.2) |
| Resuscitation before surgery | 38 (2.8) |
| Previous cardiac surgery | 14 (1.0) |
| Intubation/ventilation at referral | 38 (2.8) |
| Catecholamines at referral | 38 (2.8) |
| Aortic valve regurgitation | |
| 978 (72.7) |
| 162 (12.0) |
| 206 (15.3) |
| Preoperative organ malperfusion | |
| 1015 (75.4) |
| 13 (1.0) |
| 17 (1.3) |
| 309 (23.0) |
| Preoperative hemiparesis | 7 (0.5) |
| Extension of disscection | |
| 1346 (100.0) |
| 205 (15.2) |
| 1346 (100.0) |
| Location of primary entry tear within aortic arch | 418 (31.1) |
| Characteristics | Number of Patients (%) | Characteristics | Number of Patients (%) |
|---|---|---|---|
| Age (year), media (IQR) | 53 (44, 63) | Weight of the operation | |
| Sex (female) | 326 (24.2) |
| 0 (0) |
| Chronic pulmonary disease | 54 (4.0) |
| 653 (48.5) |
| Extracardiac arteriopathy | 309 (23.0) |
| 362 (26.9) |
| Poor mobility | 7 (0.5) | Graft interposition + CABG | 36 (2.7) |
| Previous cardiac surgery | 14 (1.0) | Graft interposition + AVr/AVR | 48 (3.6) |
| Active endocarditis | 0 (0) | Graft interposition + MVr/MVR | 2 (0.1) |
| Critical preoperative state | 38 (2.8) | Graft interposition + TVr | 5 (0.4) |
| Renal impairment (ml/min) | Total arch replacement | 271 (20.1) | |
| 766 (56.9) |
| 331 (24.6) |
| 383 (28.5) | Graft interposition + AVR + CABG/AVr + MVr/CABG + TVr/MVR + TVr | 7 (0.5) |
| 184 (13.7) | Bentall | 160 (11.9) |
| 13 (1.0) | Bentall + CABG/MVr/MVR/TVr | 32 (2.4) |
| Diabetes on insulin | 61 (4.5) | David | 12 (0.9) |
| CCS angina class 4 | 13 (1.0) | David + CABG/MVr/MVR/TVr | 2 (0.1) |
| Recent MI | 13 (1.0) | Total arch replacement + Bentall | 64 (4.8) |
| Surgery on thoracic aorta | 1346 (100) | Total arch replacement + Bentall + CABG/MVr + TVr/TVr | 6 (0.4) |
| Urgency | Total arch replacement + David | 2 (0.1) | |
| 517 (38.4) | Total arch replacement + CABG | 18 (1.3) |
| 829 (61.6) | Total arch + AVr/MVr/MVR/TVr | 21 (1.6) |
| Threshold | Specificity, % | Sensitivity, % | Accuracy, % | PLR | NLR | PPV, % | NPV, % | |
|---|---|---|---|---|---|---|---|---|
| Patients (n = 1346) | ||||||||
| GERAADA score | 14.5 | 51.2 | 66.7 | 53.1 | 1.37 | 0.65 | 16.3 | 91.5 |
| EuroSCORE II | 4.25 | 73.9 | 51.2 | 71.1 | 1.96 | 0.66 | 21.9 | 91.4 |
Disclaimer/Publisher’s Note: The statements, opinions and data contained in all publications are solely those of the individual author(s) and contributor(s) and not of MDPI and/or the editor(s). MDPI and/or the editor(s) disclaim responsibility for any injury to people or property resulting from any ideas, methods, instructions or products referred to in the content. |
© 2023 by the authors. Licensee MDPI, Basel, Switzerland. This article is an open access article distributed under the terms and conditions of the Creative Commons Attribution (CC BY) license (https://creativecommons.org/licenses/by/4.0/).
Share and Cite
Ma, M.; Cao, H.; Li, K.; Pan, J.; Zhou, Q.; Tang, X.; Qin, X.; Zhu, F.; Wang, D. Evaluation of Two Online Risk Prediction Models for the Mortality Rate of Acute Type A Aortic Dissection Surgery: The German Registry of Acute Aortic Dissection Type A Score and the European System for Cardiac Operative Risk Evaluation II. J. Clin. Med. 2023, 12, 4728. https://doi.org/10.3390/jcm12144728
Ma M, Cao H, Li K, Pan J, Zhou Q, Tang X, Qin X, Zhu F, Wang D. Evaluation of Two Online Risk Prediction Models for the Mortality Rate of Acute Type A Aortic Dissection Surgery: The German Registry of Acute Aortic Dissection Type A Score and the European System for Cardiac Operative Risk Evaluation II. Journal of Clinical Medicine. 2023; 12(14):4728. https://doi.org/10.3390/jcm12144728
Chicago/Turabian StyleMa, Ming, Hailong Cao, Kai Li, Jun Pan, Qing Zhou, Xinlong Tang, Xichun Qin, Feng Zhu, and Dongjin Wang. 2023. "Evaluation of Two Online Risk Prediction Models for the Mortality Rate of Acute Type A Aortic Dissection Surgery: The German Registry of Acute Aortic Dissection Type A Score and the European System for Cardiac Operative Risk Evaluation II" Journal of Clinical Medicine 12, no. 14: 4728. https://doi.org/10.3390/jcm12144728
APA StyleMa, M., Cao, H., Li, K., Pan, J., Zhou, Q., Tang, X., Qin, X., Zhu, F., & Wang, D. (2023). Evaluation of Two Online Risk Prediction Models for the Mortality Rate of Acute Type A Aortic Dissection Surgery: The German Registry of Acute Aortic Dissection Type A Score and the European System for Cardiac Operative Risk Evaluation II. Journal of Clinical Medicine, 12(14), 4728. https://doi.org/10.3390/jcm12144728
