Differences in Ventilation Management and Outcomes between the Two First Waves of the COVID-19 Pandemic—A Comparison between Two Nationwide Observational Studies in The Netherlands
Abstract
1. Introduction
2. Materials and Methods
2.1. Design, Ethics and Patients
2.2. Data Collected
2.3. Study Endpoints
2.4. Definitions
2.5. Power Calculation
2.6. Statistical Analysis
3. Results
3.1. Patients
3.2. Unmatched Analysis
3.3. Matched Analysis
3.4. Post Hoc Analysis
4. Discussion
5. Conclusions
Supplementary Materials
Author Contributions
Funding
Institutional Review Board Statement
Informed Consent Statement
Data Availability Statement
Acknowledgments
Conflicts of Interest
Abbreviations
| ARDS | Acute Respiratory Distress Syndrome |
| BMI | Body Mass Index |
| COPD | Chronic Obstructive Pulmonary Disease |
| COVID-19 | Coronavirus disease 2019 |
| DNR | Do Not Resuscitate |
| ECMO | Extra Corporal Membrane Oxygenation |
| FiO2 | Fraction Inspired Oxygen |
| ICU | Intensive Care Unit |
| NMBA | Neuromuscular Blocking Agent |
| PEEP | Positive End-Expiratory Pressure |
| PRoVENT–COVID | PRactice of VENTilation in Patients with Novel Coronavirus disease |
| PRoAcT-COVID | Practice of adjunctive treatments in critically ill COVID-19 patients |
| SAPS | Simplified Acute Physiology Score |
| SPO2 | Oxygen Saturation |
Appendix A
References
- World Health Organization. Coronavirus (COVID-19) Dashboard. Available online: https://covid19.who.int/ (accessed on 21 February 2023).
- Iftimie, S.; López-Azcona, A.F.; Vallverdú, I.; Hernández-Flix, S.; de Febrer, G.; Parra, S.; Hernández-Aguilera, A.; Riu, F.; Joven, J.; Andreychuk, N.; et al. First and second waves of coronavirus disease-19: A comparative study in hospitalized patients in Reus, Spain. PLoS ONE 2021, 16, e0248029. [Google Scholar] [CrossRef]
- Vahidy, F.S.; Drews, A.L.; Masud, F.N.; Schwartz, R.L.; Askary, B.B.; Boom, M.L.; Phillips, R.A. Characteristics and Outcomes of COVID-19 Patients During Initial Peak and Resurgence in the Houston Metropolitan Area. JAMA 2020, 324, 998–1000. [Google Scholar] [CrossRef]
- Saito, S.; Asai, Y.; Matsunaga, N.; Hayakawa, K.; Terada, M.; Ohtsu, H.; Tsuzuki, S.; Ohmagari, N. First and second COVID-19 waves in Japan: A comparison of disease severity and characteristics. J. Infect. 2021, 82, 84–123. [Google Scholar] [CrossRef]
- Borghesi, A.; Golemi, S.; Carapella, N.; Zigliani, A.; Farina, D.; Maroldi, R. Lombardy, Northern Italy: COVID-19 second wave less severe and deadly than the first? A preliminary investigation. Infect. Dis. 2021, 53, 370–375. [Google Scholar] [CrossRef]
- Portacci, A.; Carpagnano, G.E.; Tummolo, M.G.; Santomasi, C.; Palma, L.; Fasano, D.; Resta, E.; Lozupone, M.; Solfrizzi, V.; Panza, F.; et al. COVID-19 clinical phenotypes and short-term outcomes: Differences between the first and the second wave of pandemic in Italy. Expert Rev. Respir. Med. 2021, 15, 1619–1625. [Google Scholar] [CrossRef]
- Mughal, M.S.; Kaur, I.P.; Wang, C.; Alhashemi, R.; Buemio, A.; Patton, C.D.; Granet, K.M. Variation in clinical characteristics, outcomes, and mortality of hospitalized patients with COVID-19 during the second wave of the pandemic: A single-center experience. J. Investig. Med. 2021, 69, 1479–1482. [Google Scholar] [CrossRef] [PubMed]
- Atkin, C.; Kamwa, V.; Reddy-Kolanu, V.; Parekh, D.; Evison, F.; Nightingale, P.; Gallier, S.; Ball, S.; Sapey, E. The changing characteristics of COVID-19 presentations. A regional comparison of SARS-CoV-2 hospitalised patients during the first and second wave. Acute Med. 2021, 20, 92–100. [Google Scholar] [CrossRef] [PubMed]
- Zuil, M.; Benítez, I.D.; Cabo-Gambín, R.; Manzano Senra, C.; Moncusí-Moix, A.; Gort-Paniello, C.; de Gonzalo-Calvo, D.; Molinero, M.; Vengoechea Aragoncillo, J.J.; Comella, T.; et al. Clinical management and outcome differences between first and second waves among COVID-19 hospitalized patients: A regional prospective observational cohort. PLoS ONE 2021, 16, e0258918. [Google Scholar] [CrossRef] [PubMed]
- Boers, N.S.; Botta, M.; Tsonas, A.M.; Algera, A.G.; Pillay, J.; Dongelmans, D.A.; Horn, J.; Vlaar, A.P.J.; Hollmann, M.W.; Bos, L.D.J.; et al. PRactice of VENTilation in Patients with Novel Coronavirus Disease (PRoVENT-COVID): Rationale and protocol for a national multicenter observational study in The Netherlands. Ann. Transl. Med. 2020, 8, 1251. [Google Scholar] [CrossRef]
- Valk, C.M.A.; Swart, P.; Boers, L.S.; Botta, M.; Bos, L.D.J.; de Abreu, M.G.; Hol, L.; Hollmann, M.W.; Horn, J.; Martin-Loeches, I.; et al. Practice of adjunctive treatments in critically ill COVID-19 patients-rational for the multicenter observational PRoAcT-COVID study in The Netherlands. Ann. Transl. Med. 2021, 9, 813. [Google Scholar] [CrossRef]
- Ranieri, V.M.; Rubenfeld, G.D.; Thompson, B.T.; Ferguson, N.D.; Caldwell, E.; Fan, E.; Camporota, L.; Slutsky, A.S. Acute respiratory distress syndrome: The Berlin Definition. JAMA 2012, 307, 2526–2533. [Google Scholar] [CrossRef]
- Kosuke Imai, M.R. Covariate balancing propensity score. J. R. Stat. Soc. 2013, 76, 243–263. [Google Scholar] [CrossRef]
- Austin, P.C. Balance diagnostics for comparing the distribution of baseline covariates between treatment groups in propensity-score matched samples. Stat. Med. 2009, 28, 3083–3107. [Google Scholar] [CrossRef] [PubMed]
- Alhazzani, W.; Møller, M.H.; Arabi, Y.M.; Loeb, M.; Gong, M.N.; Fan, E.; Oczkowski, S.; Levy, M.M.; Derde, L.; Dzierba, A.; et al. Surviving Sepsis Campaign: Guidelines on the Management of Critically Ill Adults with Coronavirus Disease 2019 (COVID-19). Crit. Care Med. 2020, 48, 854–887. [Google Scholar] [CrossRef] [PubMed]
- Santa Cruz, R.; Villarejo, F.; Irrazabal, C.; Ciapponi, A. High versus low positive end-expiratory pressure (PEEP) levels for mechanically ventilated adult patients with acute lung injury and acute respiratory distress syndrome. Cochrane Database Syst. Rev. 2021, 3, Cd009098. [Google Scholar] [CrossRef]
- Valk, C.M.A.; Tsonas, A.M.; Botta, M.; Bos, L.D.J.; Pillay, J.; Serpa Neto, A.; Schultz, M.J.; Paulus, F. Association of early positive end-expiratory pressure settings with ventilator-free days in patients with coronavirus disease 2019 acute respiratory distress syndrome: A secondary analysis of the Practice of VENTilation in COVID-19 study. Eur. J. Anaesthesiol. 2021, 38, 1274–1283. [Google Scholar] [CrossRef]
- Langer, T.; Brioni, M.; Guzzardella, A.; Carlesso, E.; Cabrini, L.; Castelli, G.; Dalla Corte, F.; De Robertis, E.; Favarato, M.; Forastieri, A.; et al. Prone position in intubated, mechanically ventilated patients with COVID-19: A multi-centric study of more than 1000 patients. Crit. Care 2021, 25, 128. [Google Scholar] [CrossRef]
- Ferrando, C.; Suarez-Sipmann, F.; Mellado-Artigas, R.; Hernández, M.; Gea, A.; Arruti, E.; Aldecoa, C.; Martínez-Pallí, G.; Martínez-González, M.A.; Slutsky, A.S.; et al. Clinical features, ventilatory management, and outcome of ARDS caused by COVID-19 are similar to other causes of ARDS. Intensive Care Med. 2020, 46, 2200–2211. [Google Scholar] [CrossRef]
- Schmidt, M.; Hajage, D.; Demoule, A.; Pham, T.; Combes, A.; Dres, M.; Lebbah, S.; Kimmoun, A.; Mercat, A.; Beduneau, G.; et al. Clinical characteristics and day-90 outcomes of 4244 critically ill adults with COVID-19: A prospective cohort study. Intensive Care Med. 2021, 47, 60–73. [Google Scholar] [CrossRef]
- Bellani, G.; Laffey, J.G.; Pham, T.; Fan, E.; Brochard, L.; Esteban, A.; Gattinoni, L.; van Haren, F.; Larsson, A.; McAuley, D.F.; et al. Epidemiology, Patterns of Care, and Mortality for Patients with Acute Respiratory Distress Syndrome in Intensive Care Units in 50 Countries. JAMA 2016, 315, 788–800. [Google Scholar] [CrossRef]
- Cummings, M.J.; Baldwin, M.R.; Abrams, D.; Jacobson, S.D.; Meyer, B.J.; Balough, E.M.; Aaron, J.G.; Claassen, J.; Rabbani, L.E.; Hastie, J.; et al. Epidemiology, clinical course, and outcomes of critically ill adults with COVID-19 in New York City: A prospective cohort study. Lancet 2020, 395, 1763–1770. [Google Scholar] [CrossRef] [PubMed]
- Pérez-Acosta, G.; Carrillo-Garcia, T.; Padrón-Espinosa, P.; Santana-Cabrera, L.; Blanco-López, J.J.; González-Martín, J.M.; Martín-Gonzalez, J.C. Differences between the first and the second wave of critically ill COVID-19 patients admitted to the intensive care units. Int. J. Crit. Illn. Inj. Sci. 2022, 12, 4–9. [Google Scholar] [CrossRef] [PubMed]
- Ziatkowski-Michaud, J.; Mazard, T.; Delignette, M.-C.; Wallet, F.; Aubrun, F.; Dziadzko, M. Neuromuscular monitoring and neuromuscular blocking agent shortages when treating critically ill COVID-19 patients: A multicentre retrospective analysis. Br. J. Anaesth. 2021, 127, e73–e75. [Google Scholar] [CrossRef]
- Moss, M.; Huang, D.T.; Brower, R.G.; Ferguson, N.D.; Ginde, A.A.; Gong, M.N.; Grissom, C.K.; Gundel, S.; Hayden, D.; Hite, R.D.; et al. Early Neuromuscular Blockade in the Acute Respiratory Distress Syndrome. N. Engl. J. Med. 2019, 380, 1997–2008. [Google Scholar] [CrossRef]
- Nasa, P.; Azoulay, E.; Khanna, A.K.; Jain, R.; Gupta, S.; Javeri, Y.; Juneja, D.; Rangappa, P.; Sundararajan, K.; Alhazzani, W.; et al. Expert consensus statements for the management of COVID-19-related acute respiratory failure using a Delphi method. Crit. Care 2021, 25, 106. [Google Scholar] [CrossRef]
- Kwak, P.E.; Connors, J.R.; Benedict, P.A.; Timen, M.R.; Wang, B.; Zhang, Y.; Youlios, S.; Sureau, K.; Persky, M.J.; Rafeq, S.; et al. Early Outcomes from Early Tracheostomy for Patients With COVID-19. JAMA Otolaryngol. Head Neck Surg. 2021, 147, 239–244. [Google Scholar] [CrossRef]
- Flinspach, A.N.; Booke, H.; Zacharowski, K.; Balaban, Ü.; Herrmann, E.; Adam, E.H. Association of mortality and early tracheostomy in patients with COVID-19: A retrospective analysis. Sci. Rep. 2022, 12, 15406. [Google Scholar] [CrossRef] [PubMed]
- Horby, P.; Lim, W.S.; Emberson, J.R.; Mafham, M.; Bell, J.L.; Linsell, L.; Staplin, N.; Brightling, C.; Ustianowski, A.; Elmahi, E.; et al. Dexamethasone in Hospitalized Patients with COVID-19. N. Engl. J. Med. 2021, 384, 693–704. [Google Scholar] [CrossRef]
- Gordon, A.C.; Mouncey, P.R.; Al-Beidh, F.; Rowan, K.M.; Nichol, A.D.; Arabi, Y.M.; Annane, D.; Beane, A.; van Bentum-Puijk, W.; Berry, L.R.; et al. Interleukin-6 Receptor Antagonists in Critically Ill Patients with COVID-19. N. Engl. J. Med. 2021, 384, 1491–1502. [Google Scholar] [CrossRef]
- Tocilizumab in patients admitted to hospital with COVID-19 (RECOVERY): A randomised, controlled, open-label, platform trial. Lancet 2021, 397, 1637–1645. [CrossRef]
- Burrell, A.J.C.; Neto, A.S.; Broadley, T.; Trapani, T.; Begum, H.; Campbell, L.T.; Cheng, A.C.; Cheung, W.; Cooper, D.J.; Erickson, S.J.; et al. Comparison of baseline characteristics, treatment and clinical outcomes of critically ill COVID-19 patients admitted in the first and second waves in Australia. Crit. Care Resusc. 2021, 23, 308–319. [Google Scholar] [CrossRef]
- Riccaboni, M.; Verginer, L. The impact of the COVID-19 pandemic on scientific research in the life sciences. PLoS ONE 2022, 17, e0263001. [Google Scholar] [CrossRef] [PubMed]




| Unmatched Analysis (n = 1690) | Matched Analysis (n = 964) | |||||
|---|---|---|---|---|---|---|
| First Wave (n = 1122) | Second Wave (n = 568) | p | First Wave (n = 482) | Second Wave (n = 482) | p | |
| Age, years | 65.0 [57.0 to 72.0] | 66.0 [58.0 to 73.0] | 0.060 | 67.0 [59.0 to 73.0] | 66.0 [58.0 to 72.0] | 0.623 |
| Sex, male | 72.8 (817/1122) | 73.9 (420/568) | 0.642 | 83.0 (352/482) | 74.3 (358/482) | 0.715 |
| Weight, kg | 85.2 [78.0 to 96.0] | 87.0 [78.0 to 100.0] | 0.235 | 88.0 [80.0 to 98.1] | 86.0 [77.6 to 99.0] | 0.182 |
| Height, cm | 176.0 [170.0 to 183.0] | 174.0 [168.0 to 180.0] | <0.001 | 175.0 [169.0 to 182.5] | 174.0 [167.0 to 180.0] | 0.008 |
| BMI, kg/m2 | 27.7 [25.2 to 30.8] | 28.9 [25.8 to 32.6] | <0.001 | 28.3 [26.1 to 31.6] | 28.6 [25.7 to 32.3] | 0.773 |
| BMI groups * | <0.001 | 0.104 | ||||
| Underweight | 0.3 (3/1101) | 0.4 (2/562) | 0.0 (0/475) | 0.4 (2/477) | ||
| Healthy Weight | 22.4 (247/1101) | 19.6 (110/562) | 18.5 (88/475) | 19.9 (95/477) | ||
| Overweight | 48.1 (530/1101) | 38.4 (216/562) | 45.9 (218/475) | 39.4 (188/477) | ||
| Obesity | 29.2 (321/1101) | 41.6 (234/562) | 35.6 (169/475) | 40.3 (192/477) | ||
| SAPS II, n * | 359 | 253 | 143 | 221 | ||
| SAPS II score | 36.0 [29.0 to 44.0] | 39.0 [32.0 to 45.0] | 0.015 | 37.0 [30.0 to 45.0] | 39.0 [32.0 to 45.0] | 0.660 |
| Severity of ARDS * | <0.001 | 0.983 | ||||
| No ARDS | 3.3 (36/1102) | 0.4 (2/561) | 0.4 (2/482) | 0.4 (2/482) | ||
| Mild | 17.1 (188/1102) | 11.6 (65/561) | 13.3 (64/482) | 13.3 (64/482) | ||
| Moderate | 68.9 (759/1102) | 58.3 (327/561) | 67.4 (325/482) | 66.6 (321/482) | ||
| Severe | 10.8 (119/1102) | 29.8 (167/561) | 18.9 (91/482) | 19.7 (95/482) | ||
| Comorbidities | ||||||
| Arterial hypertension | 33.9 (380/1122) | 36.8 (209/568) | 0.235 | 37/8 (182/482) | 35.9 (173/482) | 0.593 |
| Heart failure | 4.4 (49/1122) | 4.9 (28/568) | 0.622 | 6.2 (30/482) | 4.6 (22/482) | 0.318 |
| Diabetes mellitus | 22.3 (250/1122) | 28.5 (162/568) | 0.006 | 28.0 (135/482) | 26.1 (126/482) | 0.562 |
| Kidney disease | 4.2 (47/1122) | 7.0 (40/568) | 0.014 | 6.0 (29/482) | 6.0 (29/482) | 1.000 |
| Liver cirrhosis | 0.3 (3/1122) | 0.5 (3/568) | 0.410 | 0.6 (3/482) | 0.4 (2/482) | 1.000 |
| COPD | 7.8 (88/1122) | 8.5 (48/568) | 0.705 | 8.3 (40/482) | 9.1 (44/482) | 0.732 |
| Hematological cancer | 1.4 (16/1122) | 2.5 (14/568) | 0.171 | 1.0 (5/482) | 1.5 (7/482) | 0.773 |
| Solid cancer | 2.5 (28/1122) | 3.7 (21/568) | 0.170 | 3.3 (16/482) | 3.5 (17/482) | 1.000 |
| Neuromuscular disease | 0.7 (8/1122) | 1.9 (11/568) | 0.029 | 1.0 (5/482) | 1.5 (7/482) | 0.773 |
| Immunosuppression | 2.1 (24/1122) | 2.6 (15/568) | 0.498 | 3.1 (15/482) | 2.3 (11/482) | 0.552 |
| Home medication | ||||||
| Systemic glucocorticosteroids | 3.4 (38/1122) | 5.6 (32/568) | 0.038 | 5.8 (28/482) | 5.0 (24/482) | 0.669 |
| Inhalation glucocorticosteroids | 11.1 (125/1122) | 13.7 (78/568) | 0.132 | 13.7 (66/482) | 13.5 (65/482) | 1.000 |
| Angiotensin II receptor blocker | 11.3 (127/1122) | 14.4 (82/568) | 0.072 | 14.9 (72/482) | 12.4 (60/482) | 0.303 |
| Beta blockers | 18.8 (211/1122) | 25.0 (142/568) | 0.004 | 21.8 (105/482) | 23.7 (114/482) | 0.539 |
| Insulin | 7.0 (78/1122) | 10.7 (61/568) | 0.009 | 8.7 (42/482) | 8.7 (42/482) | 1.000 |
| Statins | 29.4 (330/1122) | 32.7 (186/568) | 0.163 | 31.1 (150/482) | 32.8 (158/482) | 0.629 |
| Calcium channel blockers | 17.6 (197/1122) | 16.2 (92/568) | 0.495 | 17.2 (83/482) | 16.8 (81/482) | 0.932 |
| Laboratory results | ||||||
| Creatinine, μmol/L | 75 [62 to 98] | 79 [62 to 109] | 0.051 | 77.0 [63.0 to 102.0] | 78.0 [62.0 to 108.2] | 0.816 |
| PaO2/FiO2 ratio | 152 [120 to 192] | 125.0 [95 to 167] | <0.001 | 140.5 [109.0 to 177.8] | 133.6 [105.4 to 175.0] | 0.120 |
| Unmatched Analysis (n = 1690) | Matched Analysis (n = 964) | |||||
|---|---|---|---|---|---|---|
| First Wave (n = 1122) | Second Wave (n = 568) | p | First Wave (n = 482) | Second Wave (n = 482) | p | |
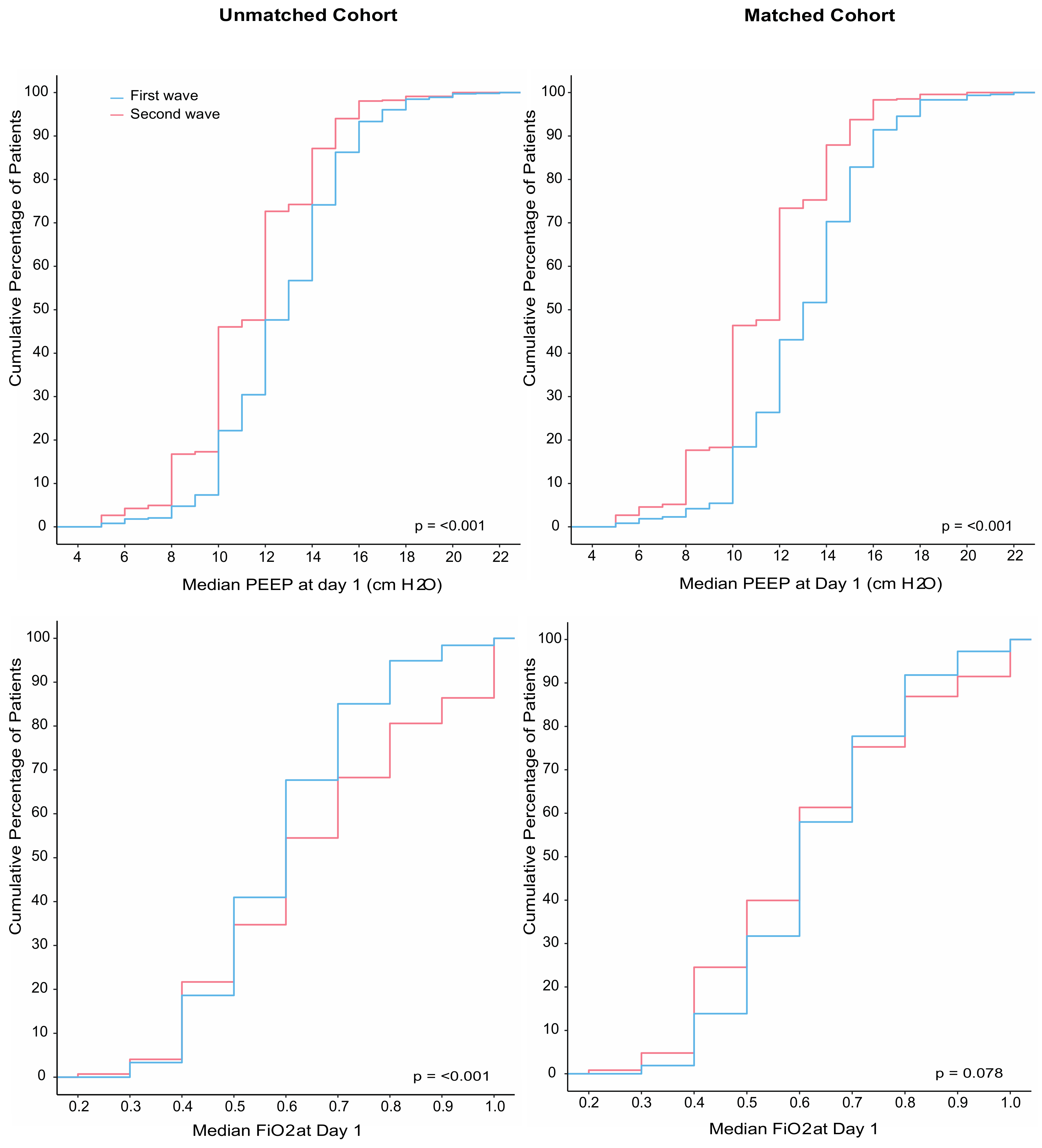
| PEEP, cm H2O * | 13 [11 to 15] | 12 [10 to 14] | <0.001 | 13.0 [11.0 to 15.0] | 12.0 [10.0 to 13.0] | <0.001 |
| PEEP ranges * | <0.001 | <0.001 | ||||
| PEEP 5–10 cm H2O (n/n) | 22.2 (247/1114) | 46.0 (261/567) | 18.4 (88/478) | 46.4 (223/481) | ||
| PEEP 11–15 cm H2O (n/n) | 64.1 (714/1114) | 48.0 (272/567) | 64.4 (308/478) | 47.4 (228/481) | ||
| PEEP >15 cm H2O (n/n) | 13.7 (153/1114) | 6.0 (34/567) | 17.2 (82/478) | 6.2 (30/481) | ||
| FiO2 * | 0.6 [0.5 to 0.7] | 0.6 [0.5 to 0.8] | <0.001 | 0.6 [0.5 to 0.7] | 0.6 [0.5 to 0.7] | 0.078 |
| FiO2 ranges * | 0.017 | 0.005 | ||||
| FiO2 0.2–0.4 (n/n) | 3.3 (37/1111) | 4.1 (23/567) | 1.9 (9/476) | 4.8 (23/481) | ||
| FiO2 0.4–0.6 (n/n) | 37.6 (418/1111) | 30.7 (174/567) | 29.8 (142/476) | 35.1 (169/481) | ||
| FiO2 ≥ 0.6 (n/n) | 59.0 (656/1111) | 65.3 (370/567) | 68.3 (325/476) | 60.1 (289/481) | ||
| SpO2 *, % | 95 [93 to 96] | 94 [91 to 96] | <0.001 | 94.0 [93.0 to 96.0] | 94.0 [92.0 to 96.0] | 0.001 |
| SpO2 ranges * | <0.001 | <0.001 | ||||
| SpO2 95–100% (n/n) | 52.6 (588/1118) | 39.8 (220/553) | 48.5 (233/480) | 42.4 (199/469) | ||
| SpO2 90–95% (n/n) | 44.2 (494/1118) | 47.6 (263/553) | 47.9 (230/480) | 48.0 (225/469) | ||
| SpO2 < 90% (n/n) | 3.2 (36/1118) | 12.7 (70/553) | 3.5 (17/480 | 9.6 (45/469) | ||
| Ventilation mode * | <0.001 | <0.001 | ||||
| Volume controlled (n/n) | 20.8 (219/1053) | 19.4 (110/567) | 20.5 (91/444) | 18.9 (91/481) | ||
| Pressure controlled (n/n) | 59.1 (622/1053) | 64.0 (363/567) | 57.2 (254/444) | 64.4 (310/481) | ||
| Pressure support (n/n) | 5.4 (57/1053) | 10.9 (62/567) | 5.2 (23/444) | 11.4 (55/481) | ||
| INTELLIVENT–ASV (n/n) | 4.2 (44/1053) | 4.1 (23/567) | 5.6 (25/444) | 3.5 (17/481) | ||
| Other modes (n/n) | 10.5 (111/1053) | 1.6 (9/567) | 11.5 (51/444) | 1.7 (8/481) | ||
| Prone positioning, % (n/n)# | 56.2 (625/1113) | 59.8 (308/515) | 0.178 | 60.2 (289/480) | 57.7 (254/440) | 0.461 |
| ECMO, % (n/n) # | 1.1 (12/1107) | 0.4 (2/480) | 0.251 | 1.1 (5/476) | 0.5 (2/409) | 0.461 |
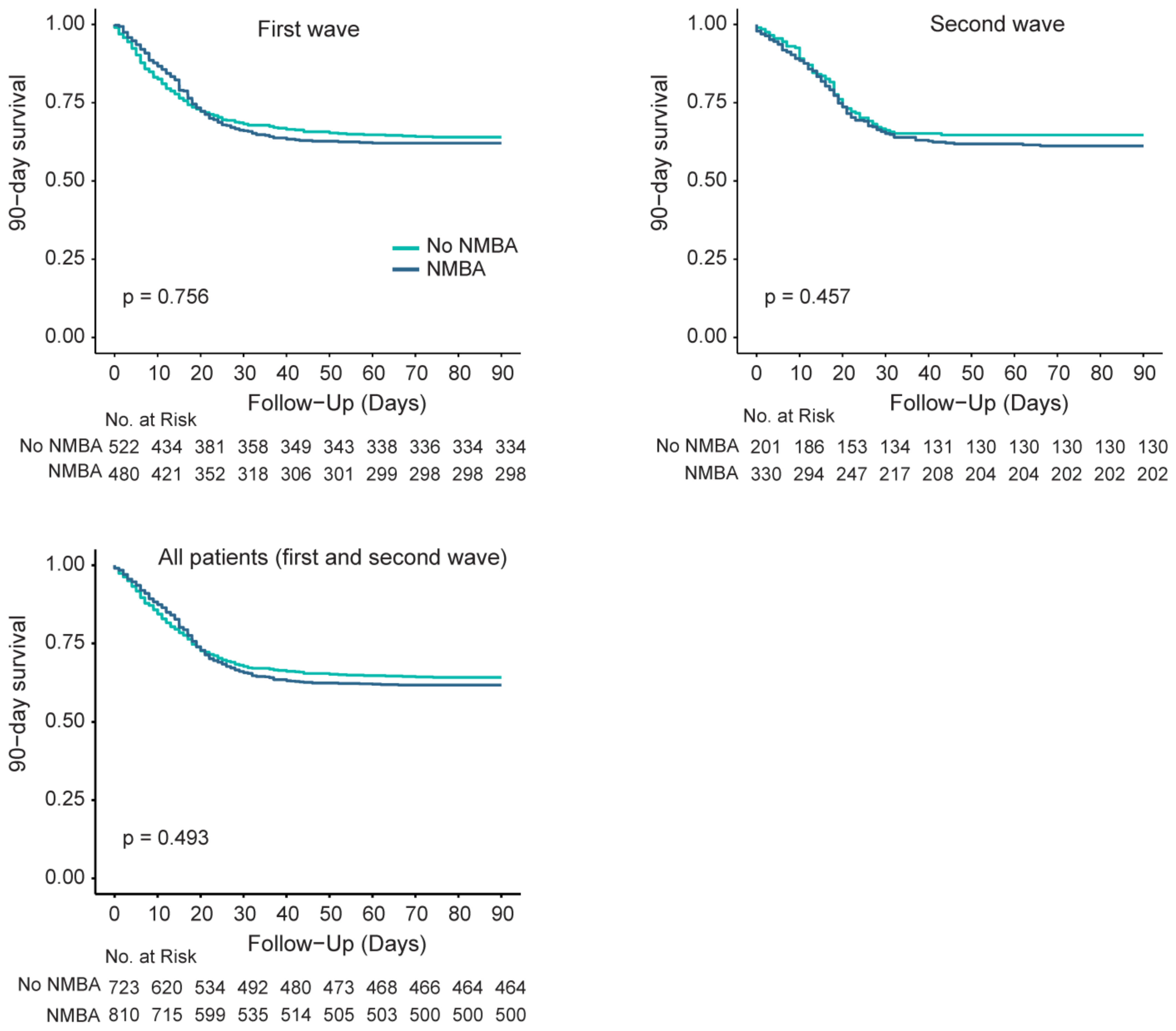
| Neuromuscular blockade, % (n/n) # | 47.6 (534/1122) | 62.3 (354/568) | <0.001 | 47.9 (231/482) | 60.6 (292/482) | <0.001 |
| Unmatched Analysis (n = 1690) | Matched Analysis (n = 964) | |||||
|---|---|---|---|---|---|---|
| First Wave (n = 1122) | Second Wave (n = 568) | p | First Wave (n = 482) | Second Wave (n = 482) | p | |
| Tracheostomy &, % (n/n) | 17.1 (190/1112) | 11.3 (64/568) | 0.002 | 18.1 (87/480) | 11.2 (54/482) | 0.003 |
| Duration of ventilation | ||||||
| Duration of ventilation, days | 14.0 [8.0 to 23.0] | 11.0 [6.0 to 23.0] | 0.001 | 15.0 [9.0 to 24.2] | 11.0 [6.0 to 23.0] | <0.001 |
| Days free of ventilation and alive at day 28, days % | 2.0 [0.0 to 16.0] (1065/1122) | 0.0 [0.0 to 21.0] (516/568) | 0.017 | 0.0 [0.0 to 14.0] (453/482) | 0.0 [0.0 to 21.0] (439/482) | <0.001 |
| Days free of ventilation at day 28, deceased patients excluded | 12.0 [0.0 to 18.0] (743/1122) | 18 [0.0 to 23.0] (338/568) | <0.001 | 11.0 [0.0 to 17.0] (306/482) | 18.0 [0.0 to 23.0] (295/482) | <0.001 |
| LOS | ||||||
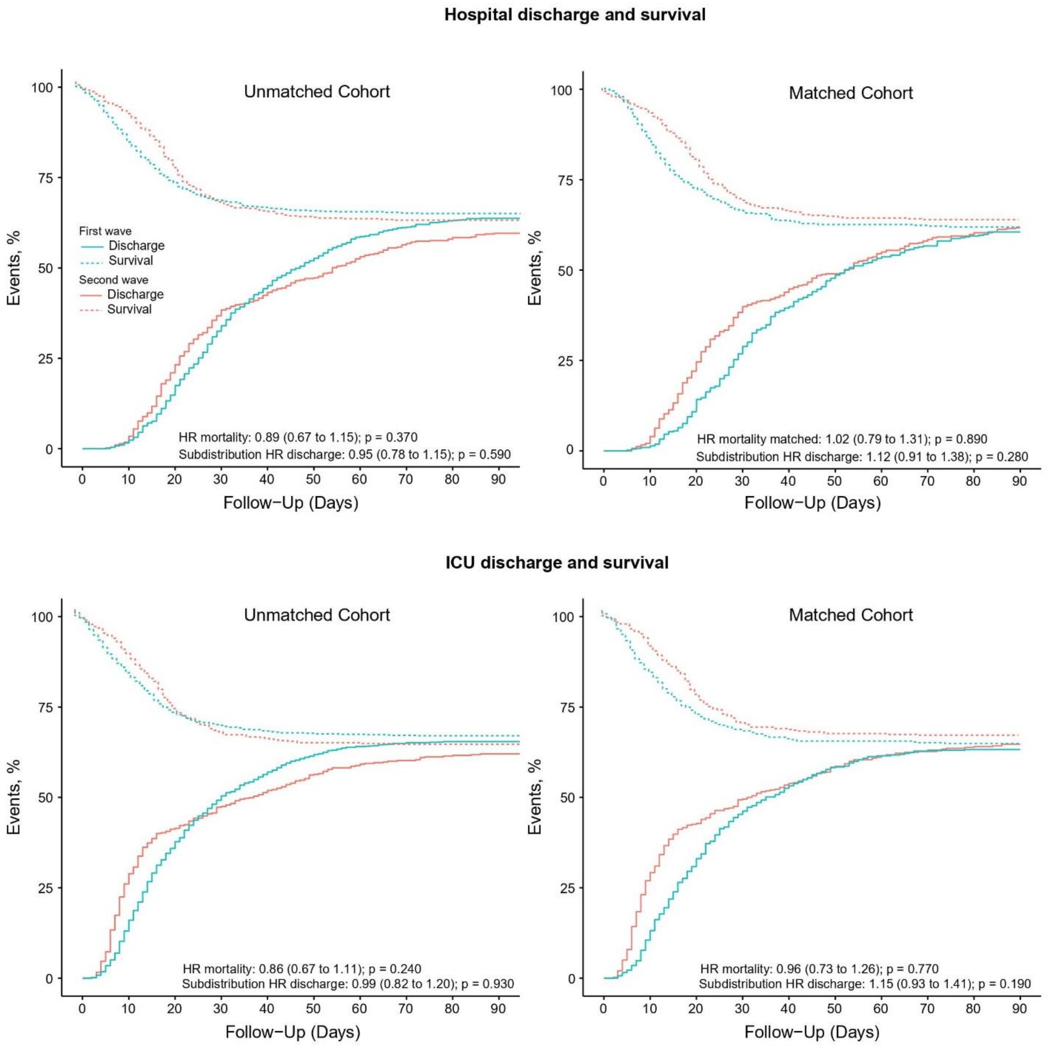
| ICU, days | 15.0 [9.0 to 26.0] | 14.0 [8.0 to 26.0] | 0.105 | 16.0 [9.0 to 27.0] | 13.0 [8.0 to 26.0] | 0.034 |
| ICU, in survivors, days | 17.0 [10.0 to 29.0] | 12.0 [7.0 to 29.0] | <0.001 | 20.0 [11.0 to 32.0] | 12.0 [7.0 to 29.0] | <0.001 |
| Hospital, days | 23.0 [14.0 to 37.0] | 22.0 [15.5 to 34.0] | 0.616 | 25.0 [13.0 to 38.3] | 22.0 [15.0 to 36.0] | 0.399 |
| Hospital, in survivors, days | 29.0 [20.0 to 44.0] | 25.0 [17.0 to 45.8] | 0.013 | 32.0 [22.0 to 48.0] | 24.5 [17.0 to 45.0] | <0.001 |
| Mortality | ||||||
| 28-day mortality, % | 28.9 (318/1102) | 32.1(176/549) | 0.190 | 30.7 (146/476) | 30.5 (142/465) | 1.000 |
| 90-day mortality, % | 37.7 (383/1015) | 37.5 (199/531) | 0.956 | 40.0 (175/438) | 35.6 (159/447) | 0.188 |
| ICU mortality, % | 32.6 (356/1091) | 34.6 (190/549) | 0.437 | 35.8 (167/466) | 32.9 (153/465) | 0.370 |
| Hospital mortality, % | 35.9 (367/1022) | 36.3 (198/545) | 0.869 | 38.6 (169/438) | 34.3 (158/461) | 0.188 |
Disclaimer/Publisher’s Note: The statements, opinions and data contained in all publications are solely those of the individual author(s) and contributor(s) and not of MDPI and/or the editor(s). MDPI and/or the editor(s) disclaim responsibility for any injury to people or property resulting from any ideas, methods, instructions or products referred to in the content. |
© 2023 by the authors. Licensee MDPI, Basel, Switzerland. This article is an open access article distributed under the terms and conditions of the Creative Commons Attribution (CC BY) license (https://creativecommons.org/licenses/by/4.0/).
Share and Cite
Hol, L.; Schultz, M.J.; Martin-Loeches, I.; van Meenen, D.M.P.; Serpa Neto, A.; Paulus, F., on behalf of the PRoVENT–COVID; PRoAcT-COVID Investigators. Differences in Ventilation Management and Outcomes between the Two First Waves of the COVID-19 Pandemic—A Comparison between Two Nationwide Observational Studies in The Netherlands. J. Clin. Med. 2023, 12, 4507. https://doi.org/10.3390/jcm12134507
Hol L, Schultz MJ, Martin-Loeches I, van Meenen DMP, Serpa Neto A, Paulus F on behalf of the PRoVENT–COVID, PRoAcT-COVID Investigators. Differences in Ventilation Management and Outcomes between the Two First Waves of the COVID-19 Pandemic—A Comparison between Two Nationwide Observational Studies in The Netherlands. Journal of Clinical Medicine. 2023; 12(13):4507. https://doi.org/10.3390/jcm12134507
Chicago/Turabian StyleHol, Liselotte, Marcus J. Schultz, Ignacio Martin-Loeches, David M. P. van Meenen, Ary Serpa Neto, Frederique Paulus on behalf of the PRoVENT–COVID, and PRoAcT-COVID Investigators. 2023. "Differences in Ventilation Management and Outcomes between the Two First Waves of the COVID-19 Pandemic—A Comparison between Two Nationwide Observational Studies in The Netherlands" Journal of Clinical Medicine 12, no. 13: 4507. https://doi.org/10.3390/jcm12134507
APA StyleHol, L., Schultz, M. J., Martin-Loeches, I., van Meenen, D. M. P., Serpa Neto, A., Paulus, F., on behalf of the PRoVENT–COVID, & PRoAcT-COVID Investigators. (2023). Differences in Ventilation Management and Outcomes between the Two First Waves of the COVID-19 Pandemic—A Comparison between Two Nationwide Observational Studies in The Netherlands. Journal of Clinical Medicine, 12(13), 4507. https://doi.org/10.3390/jcm12134507

