Vedolizumab Is Associated with Longer Drug Sustainability Compared to Infliximab in Moderate-to-Severe Ulcerative Colitis: Long-Term Real-World Cohort Data
Abstract
1. Introduction
2. Materials and Methods
2.1. Patient Selection and Follow-Up Period
2.2. Outcomes
2.3. Data Collection
2.4. Statistical Analysis
3. Results
3.1. Baseline Population Characteristics
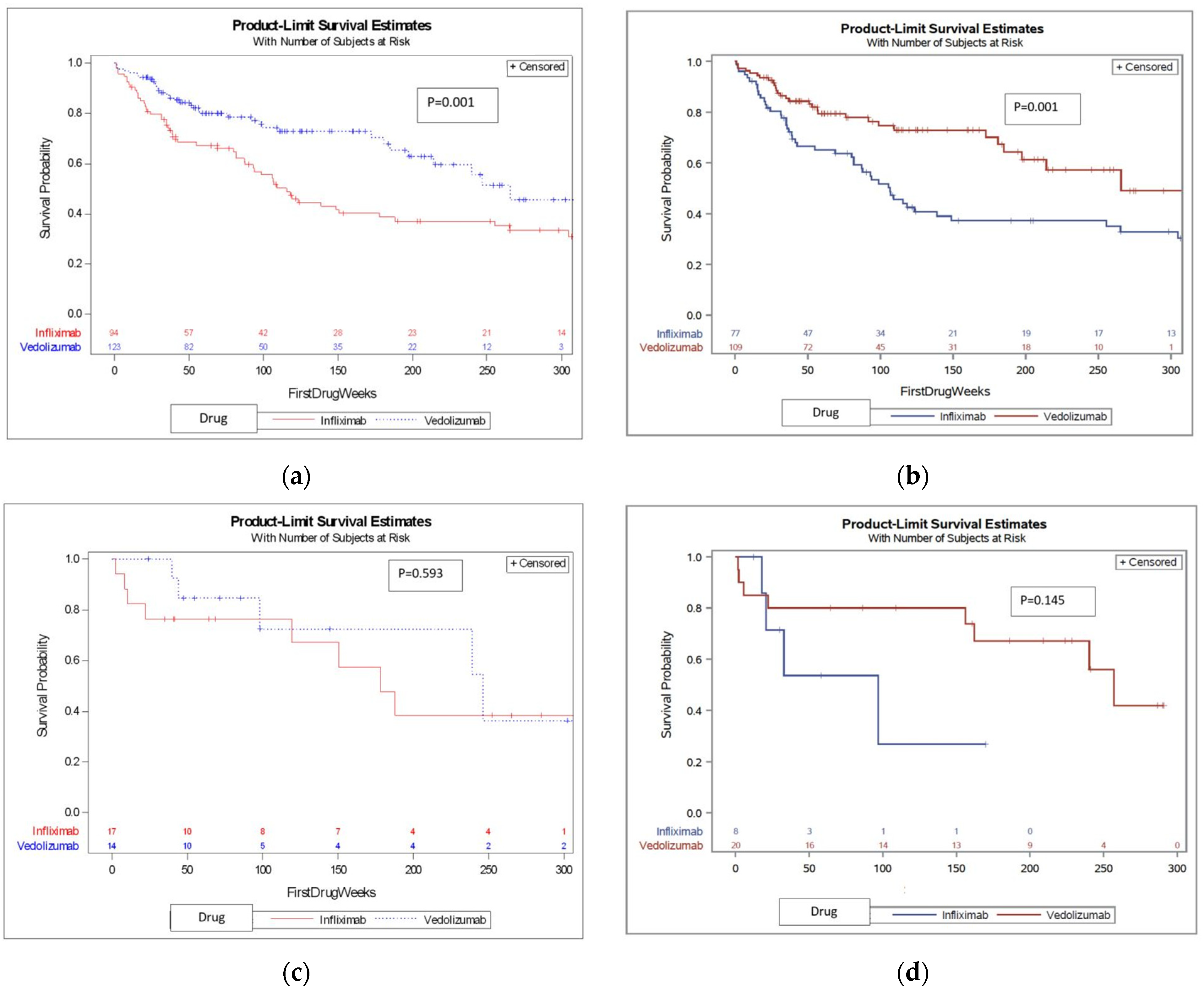
3.2. Drug Sustainability
3.3. Subsequent Treatment with a Second Drug
4. Discussion
5. Conclusions
Supplementary Materials
Author Contributions
Funding
Institutional Review Board Statement
Informed Consent Statement
Data Availability Statement
Acknowledgments
Conflicts of Interest
References
- Molodecky, N.A.; Soon, I.S.; Rabi, D.M.; Ghali, W.A.; Ferris, M.; Chernoff, G.; Benchimol, E.I.; Panaccione, R.; Ghosh, S.; Barkema, H.W.; et al. Increasing incidence and prevalence of the inflammatory bowel diseases with time, based on systematic review. Gastroenterology 2012, 142, 46–54.e2. [Google Scholar] [CrossRef] [PubMed]
- Peyrin-Biroulet, L.; Danese, S.; Argollo, M.; Pouillon, L.; Peppas, S.; Gonzalez-Lorenzo, M.; Lytras, T.; Bonovas, S. Loss of Response to Vedolizumab and Ability of Dose Intensification to Restore Response in Patients With Crohn’s Disease or Ulcerative Colitis: A Systematic Review and Meta-analysis. Clin. Gastroenterol. Hepatol. 2019, 17, 838–846.e2. [Google Scholar] [CrossRef] [PubMed]
- Roda, G.; Jharap, B.; Neeraj, N.; Colombel, J.F. Loss of Response to Anti-TNFs: Definition, Epidemiology, and Management. Clin. Transl. Gastroenterol. 2016, 7, e135. [Google Scholar] [CrossRef] [PubMed]
- Allez, M.; Karmiris, K.; Louis, E.; Van Assche, G.; Ben-Horin, S.; Klein, A.; Van der Woude, J.; Baert, F.; Eliakim, R.; Katsanos, K.; et al. Report of the ECCO pathogenesis workshop on anti-TNF therapy failures in inflammatory bowel diseases: Definitions, frequency and pharmacological aspects. J. Crohns. Colitis 2010, 4, 355–366. [Google Scholar] [CrossRef] [PubMed]
- Gordon, N.; Sebastian, S. Real-World Success of Biologic Therapy in IBD: No More Reasons to Be Anti Antibody. Dig. Dis. Sci. 2019, 64, 614–615. [Google Scholar] [CrossRef] [PubMed]
- Macaluso, F.S.; Maida, M.; Grova, M.; Crispino, F.; Teresi, G.; Orlando, A.; Orlando, A. Head-to-head comparison of biological drugs for inflammatory bowel disease: From randomized controlled trials to real-world experience. Therap. Adv. Gastroenterol. 2021, 14, 17562848211010668. [Google Scholar] [CrossRef] [PubMed]
- Baer, P.A.; Aumais, G.; Ewara, E.M.; Khraishi, M.; Marrache, A.M.; Panaccione, R.; Wade, J.P.; Marshall, J.K. Patterns and predictors of long-term retention of inflammatory bowel or rheumatoid disease patients on innovator infliximab: An analysis of a Canadian prescriptions claims database. Patient Prefer. Adherence 2018, 12, 1805–1814. [Google Scholar] [CrossRef] [PubMed]
- Lukin, D.; Faleck, D.; Xu, R.; Zhang, Y.; Weiss, A.; Aniwan, S.; Kadire, S.; Tran, G.; Rahal, M.; Winters, A.; et al. Comparative Safety and Effectiveness of Vedolizumab to Tumor Necrosis Factor Antagonist Therapy for Ulcerative Colitis. Clin. Gastroenterol. Hepatol. 2020, 20, 126–135. [Google Scholar] [CrossRef] [PubMed]
- Visuri, I.; Eriksson, C.; Olen, O.; Cao, Y.; Mardberg, E.; Grip, O.; Gustavsson, A.; Hjortswang, H.; Karling, P.; Montgomery, S.; et al. Predictors of drug survival: A cohort study comparing anti-tumour necrosis factor agents using the Swedish inflammatory bowel disease quality register. Aliment. Pharmacol. Ther. 2021, 54, 931–943. [Google Scholar] [CrossRef] [PubMed]
- Cholapranee, A.; Hazlewood, G.S.; Kaplan, G.G.; Peyrin-Biroulet, L.; Ananthakrishnan, A.N. Systematic review with meta-analysis: Comparative efficacy of biologics for induction and maintenance of mucosal healing in Crohn’s disease and ulcerative colitis controlled trials. Aliment. Pharmacol. Ther. 2017, 45, 1291–1302. [Google Scholar] [CrossRef] [PubMed]
- Singh, S.; Fumery, M.; Sandborn, W.J.; Murad, M.H. Systematic review with network meta-analysis: First- and second-line pharmacotherapy for moderate-severe ulcerative colitis. Aliment. Pharmacol. Ther. 2018, 47, 162–175. [Google Scholar] [CrossRef] [PubMed]
- Davis, R.; McParland, P.; Dodd, S.; Storey, D.; Probert, C.; Collins, P.; Skouras, T.; Steel, A.; Derbyshire, E.; Dibb, M.; et al. Comparative effectiveness of antitumour necrosis factor agents and vedolizumab in ulcerative colitis. Eur. J. Gastroenterol. Hepatol. 2019, 31, 661–667. [Google Scholar] [CrossRef] [PubMed]
- Rundquist, S.; Sachs, M.C.; Eriksson, C.; Olen, O.; Montgomery, S.; Halfvarson, J.; Group, S.S. Drug survival of anti-TNF agents compared with vedolizumab as a second-line biological treatment in inflammatory bowel disease: Results from nationwide Swedish registers. Aliment. Pharmacol. Ther. 2021, 53, 471–483. [Google Scholar] [CrossRef] [PubMed]
- Chen, C.; Hartzema, A.G.; Xiao, H.; Wei, Y.J.; Chaudhry, N.; Ewelukwa, O.; Glover, S.C.; Zimmermann, E.M. Real-world Pattern of Biologic Use in Patients with Inflammatory Bowel Disease: Treatment Persistence, Switching, and Importance of Concurrent Immunosuppressive Therapy. Inflamm. Bowel Dis. 2019, 25, 1417–1427. [Google Scholar] [CrossRef] [PubMed]
- Jung, Y.S.; Han, M.; Park, S.; Cheon, J.H. Biologic Use Patterns and Predictors for Non-persistence and Switching of Biologics in Patients with Inflammatory Bowel Disease: A Nationwide Population-Based Study. Dig. Dis. Sci. 2020, 65, 1436–1444. [Google Scholar] [CrossRef] [PubMed]
- Bressler, B.; Yarur, A.; Silverberg, M.S.; Bassel, M.; Bellaguarda, E.; Fourment, C.; Gatopoulou, A.; Karatzas, P.; Kopylov, U.; Michalopoulos, G.; et al. Vedolizumab and Anti-Tumour Necrosis Factor alpha Real-World Outcomes in Biologic-Naive Inflammatory Bowel Disease Patients: Results from the EVOLVE Study. J. Crohns Colitis 2021, 15, 1694–1706. [Google Scholar] [CrossRef] [PubMed]
- Pudipeddi, A.; Ko, Y.; Paramsothy, S.; Leong, R.W. Vedolizumab has longer persistence than infliximab as a first-line biological agent but not as a second-line biological agent in moderate-to-severe ulcerative colitis: Real-world registry data from the Persistence Australian National IBD Cohort (PANIC) study. Therap. Adv. Gastroenterol. 2022, 15, 17562848221080793. [Google Scholar] [CrossRef] [PubMed]
- Bots, S.; Gecse, K.; Barclay, M.; D’Haens, G. Combination Immunosuppression in IBD. Inflamm. Bowel Dis. 2018, 24, 539–545. [Google Scholar] [CrossRef] [PubMed]
- Narula, N.; Wong, E.C.L.; Marshall, J.K.; Colombel, J.F.; Dulai, P.S.; Reinisch, W. Comparative Efficacy for Infliximab Vs Vedolizumab in Biologic Naive Ulcerative Colitis. Clin. Gastroenterol. Hepatol. 2021, 20, 1588–1597. [Google Scholar] [CrossRef] [PubMed]


| Parameter | IFX | VDZ | All | p-Value | |
|---|---|---|---|---|---|
| Male | 47 (61%) | 60 (55%) | 107 (57.5%) | 0.454 | |
| Disease extent | 0.149 | ||||
| Disease extent | Extensive Colitis | 28 (36.3%) | 31 (28.4%) | 59 (31.7%) | 0.267 |
| Left-sided UC | 41 (53.2%) | 53 (48.6%) | 94 (50.4%) | 0.555 | |
| Proctitis | 8 (10.3%) | 24 (22%) | 32 (17.2%) | 0.048 | |
| Combination therapy | 11 (14.2%) | 3 (2.7%) | 14 (7.5%) | 0.004 | |
| Age at Diagnosis (years median, IQR) | 32 (20–48) | 32 (21–46) | 32 (21–47) | 0.869 | |
| Age at treatment start (years, median, IQR) | 37 (25–55) | 42 (28–57) | 40.5 (26–56) | 0.293 | |
| Diagnosis length at treatment start (years, median, IQR) | 2 (0–6) | 4 (1–12) | 2 (1–11) | 0.104 | |
| Calprotectin (µg/g, median, IQR) | 4425 (1350–5870) | 529 (161–1339) | 890 (196–3230) | 0.001 | |
| Hemoglobin (g/dL, years, median, IQR) | 11 (9.5–12.9) | 13.1 (12–14.1) | 12.7 (10.8–13.8) | <0.001 | |
| Platelets (K/micl, median, IQR) | 309 (242–396) | 284 (225–366) | 298 (231–376) | 0.187 | |
| Hematocrit (%, median, IQR) | 33.8 (30.5–38.9) | 40.9 (38–43) | 38.8 (33.9–42.5) | <0.001 | |
| Hb/Hct ratio (median, IQR) | 0.32 (0.31–0.33) | 0.32 (0.31–0.33) | 0.32 (0.31–0.33) | 0.640 | |
| Eosinophils (K/micl, median, IQR) | 0.1 (0.0–3) | 0.2 (0.1–0.8) | 0.1 (0.0–3) | 0.589 | |
| Neutrophils (K/micl, median, IQR) | 6 (4.6–9.1) | 5.2 (4–7.3) | 5.5 (4.1–7.9) | 0.203 | |
| Lymphocytes (K/micl, median, IQR) | 1.4 (1–2) | 1.8 (1.3–2.4) | 1.6 1.2–2.3) | 0.009 | |
| Neutrophil-to-lymphocyte ratio (median, IQR) | 4.2 (2.7–7) | 2.7 (2–4.6) | 3.2 (2.2–5.4) | 0.000 | |
| Leukocytes (K/micl, median, IQR) | 9 (6.7–11.3) | 7.9 (6.3–10.1) | 8.2 (6.3–10.6) | 0.497 | |
| Albumin (g/dL, median, IQR) | 3.4 (2.8–4.1) | 4.3 (4.1–4.6) | 4.2 (3.5–4.5) | <0.001 | |
| Creatinine (mg/dL, median, IQR) | 0.6 (0.5–0.9) | 0.8 (0.7–0.9) | 0.8 (0.6–0.9) | 0.002 | |
| CRP (mg/dL, median, IQR) | 1.3 (0.4–3.5) | 0.5 (0.2–0.9) | 0.6 (0.2–1.8) | 0.002 | |
| CPK (U/L, median, IQR) | 43 (30–76) | 59 (43–115) | 53 (31–85) | 0.843 | |
| Phosphorus (mg/dL, median, IQR) | 3.3 (2.9–3.8) | 3.4 (2.9–3.8) | 3.3 (2.9–3.8) | 0.425 | |
| Total protein (g/dL, median, IQR) | 6.2 (5.4–7) | 7.2 (6.9–7.5) | 7 (6.3–7.4) | <0.001 | |
| Parameter | Hazard Ratio (CI 95%) | p-Value (Chi-Sq) | Adjusted * HR (CI 95%) | Adjusted * p-Value | |
|---|---|---|---|---|---|
| VDZ (compared with IFX) | 0.48 (0.3–0.76) | 0.002 | 0.55 (0.3–0.98) | 0.042 | |
| Male | 0.87 (0.55–1.36) | 0.546 | 1.05 (0.6–1.84) | 0.851 | |
| Disease extent | Proctitis | 0.77 (0.39–1.53) | 0.469 | — | — |
| Left-sided | 0.81 (0.5–1.32) | 0.412 | — | — | |
| Extensive | 1.25 (0.79–1.99) | 0.827 | — | — | |
| Combination therapy | 1.59 (0.09–26.78) | 0.352 | 0.97 (0.44–2.13) | 0.939 | |
| Age at diagnosis | 0.98 (0.97–1.00) | 0.119 | — | — | |
| Age at treatment start | 0.98 (0.97–0.99) | 0.032 | 0.98 (0.97–1) | 0.091 | |
| Disease length | 0.97 (0.95–1) | 0.166 | — | — | |
| Calprotectin | 1 (1–1) | 0.070 | — | — | |
| Hemoglobin (Hb) | 0.89 (0.8–0.99) | 0.037 | 0.73 (0.46–1.16) | 0.187 | |
| Platelets | 1 (1–1) | 0.062 | — | — | |
| Hematocrit (Hct) | 0.96 (0.93–1) | 0.051 | 1.11 (0.94–1.3) | 0.195 | |
| Hb/Hct Ratio | 0 (0–135.09) | 0.188 | — | — | |
| Eosinophils absolute number | 0.38 (0.11–1.31) | 0.126 | 0.39 (0.11–1.36) | 0.142 | |
| Neutrophils absolute number | 1.04 (0.98–1.12) | 0.164 | — | — | |
| Lymphocytes absolute number | 1.29 (0.99–1.68) | 0.059 | — | — | |
| Neutrophil-to-lymphocyte ratio | 0.99 (0.96–1.02) | 0.835 | 0.98 (0.94–1.02) | 0.503 | |
| White blood count | 1.04 (0.98–1.12) | 0.164 | — | — | |
| Albumin | 0.68 (0.52–0.9) | 0.007 | 0.74 (0.44–1.24) | 0.603 | |
| Creatinine | 0.31 (0.11–0.88) | 0.028 | — | — | |
| CRP | 1 (0.94–1.07) | 0.821 | 0.97 (0.9–1.06) | 0.603 | |
| CPK | 0.99 (0.99–1) | 0.609 | — | — | |
| Phosphorus | 1.37 (1.00–1.89) | 0.049 | — | — | |
| Total Protein | 0.77 (0.62–0.97) | 0.026 | 1.07 (0.7–1.64) | 0.101 | |
Disclaimer/Publisher’s Note: The statements, opinions and data contained in all publications are solely those of the individual author(s) and contributor(s) and not of MDPI and/or the editor(s). MDPI and/or the editor(s) disclaim responsibility for any injury to people or property resulting from any ideas, methods, instructions or products referred to in the content. |
© 2023 by the authors. Licensee MDPI, Basel, Switzerland. This article is an open access article distributed under the terms and conditions of the Creative Commons Attribution (CC BY) license (https://creativecommons.org/licenses/by/4.0/).
Share and Cite
Konikoff, T.; Yanai, H.; Libchik, D.; Avni-Biron, I.; Snir, Y.; Banai, H.; Broytman, Y.; Dotan, I.; Ollech, J.E. Vedolizumab Is Associated with Longer Drug Sustainability Compared to Infliximab in Moderate-to-Severe Ulcerative Colitis: Long-Term Real-World Cohort Data. J. Clin. Med. 2023, 12, 4488. https://doi.org/10.3390/jcm12134488
Konikoff T, Yanai H, Libchik D, Avni-Biron I, Snir Y, Banai H, Broytman Y, Dotan I, Ollech JE. Vedolizumab Is Associated with Longer Drug Sustainability Compared to Infliximab in Moderate-to-Severe Ulcerative Colitis: Long-Term Real-World Cohort Data. Journal of Clinical Medicine. 2023; 12(13):4488. https://doi.org/10.3390/jcm12134488
Chicago/Turabian StyleKonikoff, Tom, Henit Yanai, Dror Libchik, Irit Avni-Biron, Yifat Snir, Hagar Banai, Yelena Broytman, Iris Dotan, and Jacob E. Ollech. 2023. "Vedolizumab Is Associated with Longer Drug Sustainability Compared to Infliximab in Moderate-to-Severe Ulcerative Colitis: Long-Term Real-World Cohort Data" Journal of Clinical Medicine 12, no. 13: 4488. https://doi.org/10.3390/jcm12134488
APA StyleKonikoff, T., Yanai, H., Libchik, D., Avni-Biron, I., Snir, Y., Banai, H., Broytman, Y., Dotan, I., & Ollech, J. E. (2023). Vedolizumab Is Associated with Longer Drug Sustainability Compared to Infliximab in Moderate-to-Severe Ulcerative Colitis: Long-Term Real-World Cohort Data. Journal of Clinical Medicine, 12(13), 4488. https://doi.org/10.3390/jcm12134488
