Hyperbilirubinemia as a Risk Factor for Mortality and Morbidity in Trauma Patients
Abstract
1. Introduction
2. Materials and Methods
2.1. Setting
2.2. Inclusion and Exclusion Criteria
2.3. Data Collection
2.4. Statistical Analysis
3. Results
4. Discussion
5. Conclusions
Author Contributions
Funding
Institutional Review Board Statement
Informed Consent Statement
Data Availability Statement
Conflicts of Interest
References
- Champion, H.R.; Jones, R.T.; Trump, B.F.; Decker, R.; Wilson, S.; Miginski, M.; Gill, W. A clinicopathologic study of hepatic dysfunction following shock. Surg. Gynecol. Obstet. 1976, 142, 657–663. [Google Scholar] [CrossRef]
- Champion, H.R.; Jones, R.T.; Trump, B.F.; Decker, R.; Wilson, S.; Stega, M.; Nolan, J.; Crowley, R.A.; Gill, W. Post-traumatic hepatic dysfunction as a major etiology in post-traumatic jaundice. J. Trauma Inj. Infect. Crit. Care 1976, 16, 650–657. [Google Scholar] [CrossRef]
- Sarfeh, I.J.; Balint, J.A. The Clinical Significance of Hyperbilirubinemia Following Trauma. J. Trauma Inj. Infect. Crit. Care 1978, 18, 58–62. [Google Scholar] [CrossRef]
- Boekhorst, T.T.; Urlus, M.; Doesburg, W.; Yap, S.; Goris, R. Etiologic factors of jaundice in severely ill patients: A retrospective study in patients admitted to an intensive care unit with severe trauma or with septic intra-abdominal complications following surgery and without evidence of bile duct obstruction. J. Hepatol. 1988, 7, 111–117. [Google Scholar] [CrossRef]
- Becker, S.D.; Lamont, J.T. Postoperative jaundice. Semin. Liver Dis. 1988, 8, 183–190. [Google Scholar] [CrossRef]
- Bansal, V.; Schuchert, V.D. Jaundice in the Intensive Care Unit. Surg. Clin. N. Am. 2006, 86, 1495–1502. [Google Scholar] [CrossRef]
- Kramer, L.; Jordan, B.; Druml, W.; Bauer, P.; Metnitz, P.G.H. Incidence and prognosis of early hepatic dysfunction in critically ill patients—A prospective multicenter study. Crit. Care Med. 2007, 35, 1099-e7. [Google Scholar] [CrossRef] [PubMed]
- Sarady-Andrews, J.K.; Liu, F.; Gallo, D.; Nakao, A.; Overhaus, M.; Öllinger, R.; Choi, A.M.; Otterbein, L.E. Biliverdin administration protects against endotoxin-induced acute lung injury in rats. Am. J. Physiol. Cell. Mol. Physiol. 2005, 289, L1131–L1137. [Google Scholar] [CrossRef] [PubMed]
- Žiberna, L.; Jenko-Pražnikar, Z.; Petelin, A. Serum Bilirubin Levels in Overweight and Obese Individuals: The Importance of Anti-Inflammatory and Antioxidant Responses. Antioxidants 2021, 10, 1352. [Google Scholar] [CrossRef] [PubMed]
- Thomas, D.T.; DelCimmuto, N.R.; Flack, K.D.; Stec, D.E.; Hinds, T.D., Jr. Reactive Oxygen Species (ROS) and Antioxidants as Immunomodulators in Exercise: Implications for Heme Oxygenase and Bilirubin. Antioxidants 2022, 11, 179. [Google Scholar] [CrossRef]
- Watchko, J.F. Bilirubin-Induced Neurotoxicity in the Preterm Neonate. Clin. Perinatol. 2016, 43, 297–311. [Google Scholar] [CrossRef] [PubMed]
- Jayanti, S.; Vítek, L.; Tiribelli, C.; Gazzin, S. The Role of Bilirubin and the Other “Yellow Players” in Neurodegenerative Diseases. Antioxidants 2020, 9, 900. [Google Scholar] [CrossRef] [PubMed]
- Knaus, W.A.; Wagner, D.P.; Draper, E.A.; Zimmerman, J.E.; Bergner, M.; Bastos, P.G.; Sirio, C.A.; Murphy, D.J.; Lotring, T.; Damiano, A. The APACHE III prognostic system: Risk prediction of hospital mortality for critically III hospitalized adults. Chest 1991, 100, 1619–1636. [Google Scholar] [CrossRef] [PubMed]
- Vincent, J.-L.; Moreno, R.; Takala, J.; Willatts, S.; De Mendonça, A.; Bruining, H.; Reinhart, C.; Suter, P.; Thijs, L.G. The SOFA (Sepsis-related Organ Failure Assessment) score to describe organ dysfunction/failure: On behalf of the Working Group on Sepsis-Related Problems of the European Society of Intensive Care Medicine (see contributors to the project in the appendix). Intensive Care Med. 1996, 22, 707–710. [Google Scholar] [CrossRef] [PubMed]
- Falcão, A.L.E.; Barros, A.G.D.A.; Bezerra, A.A.M.; Ferreira, N.L.; Logato, C.M.; Silva, F.P.; Monte, A.B.F.O.D.; Tonella, R.M.; de Figueiredo, L.C.; Moreno, R.; et al. The prognostic accuracy evaluation of SAPS 3, SOFA and APACHE II scores for mortality prediction in the surgical ICU: An external validation study and decision-making analysis. Ann. Intensive Care 2019, 9, 18. [Google Scholar] [CrossRef]
- Raith, E.P.; Udy, A.A.; Bailey, M.; McGloughlin, S.; MacIsaac, C.; Bellomo, R.; Pilcher, D.V.; Australian and New Zealand Intensive Care Society (ANZICS) Centre for Outcomes and Resource Evaluation (CORE). Prognostic Accuracy of the SOFA Score, SIRS Criteria, and qSOFA Score for In-Hospital Mortality Among Adults With Suspected Infection Admitted to the Intensive Care Unit. JAMA 2017, 317, 290–300. [Google Scholar] [CrossRef]
- Singer, M.; Deutschman, C.S.; Seymour, C.W.; Shankar-Hari, M.; Annane, D.; Bauer, M.; Bellomo, R.; Bernard, G.R.; Chiche, J.-D.; Coopersmith, C.M.; et al. The Third International Consensus Definitions for Sepsis and Septic Shock (Sepsis-3). JAMA 2016, 315, 801–810. [Google Scholar] [CrossRef]
- Bellomo, R.; Ronco, C.; Kellum, J.A.; Mehta, R.L.; Palevsky, P. Acute renal failure–definition, outcome measures, animal models, fluid therapy and information technology needs: The Second International Consensus Conference of the Acute Dialysis Quality Initiative (ADQI) Group. Crit. Care 2004, 8, R204–R212. [Google Scholar] [CrossRef]
- Eley, A.; Hargreaves, T.; Lambert, H.P. Jaundice in Severe Infections. BMJ 1965, 2, 75–77. [Google Scholar] [CrossRef]
- Kantrowitz, P.A.; Jones, W.A.; Greenberger, N.J.; Isselbacher, K.J. Severe Postoperative Hyperbilirubinemia Simulating Obstructive Jaundice. N. Engl. J. Med. 1967, 276, 591–598. [Google Scholar] [CrossRef]
- Field, E.; Horst, H.M.; Rubinfeld, I.S.; Copeland, C.F.; Waheed, U.; Jordan, J.; Barry, A.; Brandt, M.-M. Hyperbilirubinemia: A risk factor for infection in the surgical intensive care unit. Am. J. Surg. 2008, 195, 304–307. [Google Scholar] [CrossRef] [PubMed]
- Janvier, G.; Amouretti, M.; Torrielli, R. Intra-hepatic post-traumatic cholestasis. Apropos of 22 cases. Anesth. Analg. Reanim. 1977, 34, 277–295. [Google Scholar]
- Nunes, G.; Blaisdell, F.W.; Margaretten, W. Mechanism of Hepatic Dysfunction Following Shock and Trauma. Arch. Surg. 1970, 100, 546–556. [Google Scholar] [CrossRef] [PubMed]
- Schumer, W.; DAS Gupta, T.K.; Moss, G.S.; Nyhus, L.M. Effect of Endotoxemia on Liver Cell Mitochondria in Man. Ann. Surg. 1970, 171, 875–882. [Google Scholar] [CrossRef]
- Iwata, S.; Tanaka, A.; Ozawa, K. Alterations in the proton ATPase activity of rat liver mitochondria after hemorrhagic shock. J. Lab. Clin. Med. 1992, 120, 420–427. [Google Scholar]
- Shimahara, Y.; Ozawa, K.; Ida, T.; Ukikusa, M.; Tobe, T. Four stages of mitochondrial deterioration in hemorrhagic shock. Res. Exp. Med. 1981, 179, 23–33. [Google Scholar] [CrossRef]
- Yamamoto, M.; Ozawa, K.; Tobe, T. Roles of high blood glucose concentration during hemorrhagic shock in alloxan diabetic rats. Circ. Shock 1981, 8, 49–57. [Google Scholar] [PubMed]
- Crawford, J.; Hauser, S.; Gollan, J. Formation, Hepatic Metabolism, and Transport of Bile Pigments: A Status Report. Semin. Liver Dis. 1988, 8, 105–118. [Google Scholar] [CrossRef]
- Labori, K.J.; Raeder, M.G. Diagnostic approach to the patient with jaundice following trauma. Scand. J. Surg. 2004, 93, 176–183. [Google Scholar] [CrossRef]
- Labori, K.; Bjørnbeth, B.; Raeder, M. Aetiology and prognostic implication of severe jaundice in surgical trauma patients. Scand. J. Gastroenterol. 2003, 38, 102–108. [Google Scholar] [CrossRef]
- Veel, T.; Villanger, O.; Holthe, M.R.; Skjørten, F.S.; Réder, M.G. Intravenous bilirubin infusion causes vacuolization of the cytoplasm of hepatocytes and canalicular cholestasis. Acta Physiol. Scand. 1991, 143, 421–430. [Google Scholar] [CrossRef] [PubMed]
- Bjørnbeth, B.A.; Endresen, M.; Hvattum, E.; Lyberg, T.; Villanger, O.; Raeder, M.G. Large intravenous bilirubin loads increase the cytotoxicity of bile and lower the resistance of the canalicular membrane to cytotoxic injury and cause cholestasis in pigs. Scand. J. Gastroenterol. 1998, 33, 201–208. [Google Scholar] [PubMed]
- PB, S.; LB, F. Hepatic physiologic and morphologic alterations in hemorrhagic shock. Surg. Gynecol. Obstet. 1964, 118, 828–836. [Google Scholar]
- Smith, L.L.; Veragut, U.P. The liver and shock. Prog. Surg. 1964, 4, 55–107. [Google Scholar] [PubMed]
- Brauer, R.; Leong, G.; Holloway, R. Mechanics of bile secretion: Effect of perfusion pressure and temperature on bile flow and bile secretion pressure. Am. J. Physiol. 1954, 177, 103–112. [Google Scholar] [CrossRef]
- Billing, B.H.; Lathe, G. Bilirubin metabolism in jaundice. Am. J. Med. 1958, 24, 111–121. [Google Scholar] [CrossRef]
- Wu, Y.; Ren, J.; Wang, G.; Gu, G.; Zhou, B.; Ding, C.; Li, G.; Liu, S.; Wu, X.; Chen, J.; et al. Direct bilirubin as a prognostic biomarker in enteric fistula patients complicated with sepsis: A case-control study. Int. J. Clin. Exp. Med. 2014, 7, 5134–5145. [Google Scholar]
- Harbrecht, B.G.; Zenati, M.S.; Doyle, H.R.; McMichael, J.; Townsend, R.N.; Clancy, K.D.; Peitzman, A.B. Hepatic Dysfunction Increases Length of Stay and Risk of Death after Injury. J. Trauma: Inj. Infect. Crit. Care 2002, 53, 517–523. [Google Scholar] [CrossRef]
- Patel, J.J.; Taneja, A.; Niccum, D.; Kumar, G.; Jacobs, E.; Nanchal, R. The Association of Serum Bilirubin Levels on the Outcomes of Severe Sepsis. J. Intensive Care Med. 2015, 30, 23–29. [Google Scholar] [CrossRef]
- Zhai, R.; Sheu, C.C.; Su, L.; Gong, M.N.; Tejera, P.; Chen, F.; Wang, Z.; Convery, M.P.; Thompson, B.T.; Christiani, D.C. Serum bilirubin levels on ICU admission are associated with ARDS development and mortality in sepsis. Thorax 2009, 64, 784–790. [Google Scholar] [CrossRef]
- Han, H.S.; Park, C.-M.; Lee, D.-S.; Sinn, D.H.; Gil, E. Evaluating mortality and recovery of extreme hyperbilirubinemia in critically ill patients by phasing the peak bilirubin level: A retrospective cohort study. PLoS ONE 2021, 16, e0255230. [Google Scholar] [CrossRef] [PubMed]
- Juschten, J.; Bos, L.D.J.; de Grooth, H.-J.; Beuers, U.; Girbes, A.R.J.; Juffermans, N.P.; Loer, S.A.; van der Poll, T.; Cremer, O.L.; Bonten, M.J.M.; et al. Incidence, Clinical Characteristics and Outcomes of Early Hyperbilirubinemia in Critically Ill Patients: Insights From the MARS Study. Shock 2022, 57, 161–167. [Google Scholar] [CrossRef] [PubMed]
- Zheng, Z.; Chang, Z.; Chen, Y.; Li, J.; Huang, T.; Huang, Y.; Fan, Z.; Gao, J. Total bilirubin is associated with all-cause mortality in patients with acute respiratory distress syndrome: A retrospective study. Ann. Transl. Med. 2022, 10, 1160. [Google Scholar] [CrossRef]
- Hayashi, S.; Takamiya, R.; Yamaguchi, T.; Matsumoto, K.; Tojo, S.J.; Tamatani, T.; Kitajima, M.; Makino, N.; Ishimura, Y.; Suematsu, M. Induction of heme oxygenase-1 suppresses venular leukocyte adhesion elicited by oxidative stress: Role of bilirubin generated by the enzyme. Circ. Res. 1999, 85, 663–671. [Google Scholar] [CrossRef] [PubMed]
- Keshavan, P.; Deem, T.L.; Schwemberger, S.J.; Babcock, G.F.; Cook-Mills, J.M.; Zucker, S.D. Unconjugated Bilirubin Inhibits VCAM-1-Mediated Transendothelial Leukocyte Migration. J. Immunol. 2005, 174, 3709–3718. [Google Scholar] [CrossRef]
- Adin, C.A. Bilirubin as a Therapeutic Molecule: Challenges and Opportunities. Antioxidants 2021, 10, 1536. [Google Scholar] [CrossRef]
- Conti, C.P.S. Bilirubin: The toxic mechanisms of an antioxidant molecule. Arch. Argent. Pediatr. 2021, 119, e18–e25. [Google Scholar] [CrossRef]
- Herrero, R.; Sánchez, G.; Asensio, I.; López, E.; Ferruelo, A.; Vaquero, J.; Moreno, L.; de Lorenzo, A.; Bañares, R.; Lorente, J.A. Liver–lung interactions in acute respiratory distress syndrome. Intensive Care Med. Exp. 2020, 8, 48. [Google Scholar] [CrossRef]
- Brienza, N.; Dalfino, L.; Cinnella, G.; Diele, C.; Bruno, F.; Fiore, T. Jaundice in critical illness: Promoting factors of a concealed reality. Intensive Care Med. 2006, 32, 267–274. [Google Scholar] [CrossRef]


| LB Group n = 288 | HB Group n = 99 | p Value | |
|---|---|---|---|
| Age | 49.9 ± 18.7 | 47.8 ± 17.7 | 0.166 |
| Sex (male, %) | 212 (73.6%) | 81 (81.8%) | 0.1 |
| SBP in ED | 121.9 ± 36.4 | 103.7 ± 36.3 | <0.001 |
| GCS in ED | 12.8 ± 3.8 | 12.2 ± 4.2 | 0.107 |
| Lactate in ED | 3.6 ± 2.8 | 4.9 ± 3.0 | <0.001 |
| Arterial PH in ED | 7.34 ± 0.18 | 7.29 ± 0.22 | 0.008 |
| Transfusion pRBC < 4 h | 1.8 ± 3.1 | 4.1 ± 5.2 | <0.001 |
| Transfusion pRBC < 24 h | 2.6 ± 3.8 | 6.8 ± 9.3 | <0.001 |
| Transfusion pRBC in admission | 5.6 ± 8.1 | 18.8 ± 20.6 | <0.001 |
| Liver injury | 47 (16.3%) | 21 (21.2%) | 0.27 |
| APACHE II | 19.2 ± 10.5 | 20.7 ± 9.7 | 0.094 |
| ISS | 19.8 ± 10.3 | 27.1 ± 10.0 | <0.001 |
| LB Group n = 288 | HB Group n = 99 | p Value | |
|---|---|---|---|
| Complication | |||
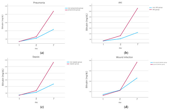
| Pneumonia | 31 (10.8%) | 32 (32.3%) | <0.001 |
| AKI | 8 (2.8%) | 19 (19.2%) | <0.001 |
| Sepsis | 8 (2.8%) | 10 (10.1%) | 0.003 |
| Wound infection | 24 (8.3%) | 30 (30.3%) | <0.001 |
| Outcome | |||
| ICU stay (d) | 7.3 ± 10.2 | 14.2 ± 16.0 | <0.001 |
| LOH (d) | 21.9 ± 21.9 | 30.7 ± 23.4 | <0.001 |
| 30-day mortality (%) | 12 (4.2%) | 10 (10.1%) | 0.028 |
| AUC | 95% CI | Bilirubin Cut-Off Value | p | |
|---|---|---|---|---|
| Pneumonia | 0.734 | 0.669–0.798 | 1.790 | <0.001 |
| AKI | 0.816 | 0.728–0.904 | 3.195 | <0.001 |
| Sepsis | 0.757 | 0.671–0.844 | 1.875 | <0.001 |
| Wound infection | 0.737 | 0.668–0.806 | 1.990 | <0.001 |
| Death | 0.683 | 0.572–0.794 | 2.340 | 0.004 |
| p | OR | 95% CI | ||
|---|---|---|---|---|
| Upper | Lower | |||
| Pneumonia | <0.001 | 3.238 | 1.685 | 6.222 |
| AKI | 0.004 | 4.718 | 1.656 | 13.441 |
| Sepsis | 0.049 | 3.087 | 1.001 | 9.525 |
| Wound infection | <0.001 | 3.995 | 2.073 | 7.700 |
| Death | 0.172 | 1.999 | 0.740 | 5.400 |
Disclaimer/Publisher’s Note: The statements, opinions and data contained in all publications are solely those of the individual author(s) and contributor(s) and not of MDPI and/or the editor(s). MDPI and/or the editor(s) disclaim responsibility for any injury to people or property resulting from any ideas, methods, instructions or products referred to in the content. |
© 2023 by the authors. Licensee MDPI, Basel, Switzerland. This article is an open access article distributed under the terms and conditions of the Creative Commons Attribution (CC BY) license (https://creativecommons.org/licenses/by/4.0/).
Share and Cite
Lee, M.; Jang, M.; Jo, J.; Yu, B.; Lee, G.; Lee, J.; Lee, S.; Jeon, Y.; Choi, K. Hyperbilirubinemia as a Risk Factor for Mortality and Morbidity in Trauma Patients. J. Clin. Med. 2023, 12, 4203. https://doi.org/10.3390/jcm12134203
Lee M, Jang M, Jo J, Yu B, Lee G, Lee J, Lee S, Jeon Y, Choi K. Hyperbilirubinemia as a Risk Factor for Mortality and Morbidity in Trauma Patients. Journal of Clinical Medicine. 2023; 12(13):4203. https://doi.org/10.3390/jcm12134203
Chicago/Turabian StyleLee, Mina, Myungjin Jang, Jayun Jo, Byungchul Yu, Giljae Lee, Jungnam Lee, Seunghwan Lee, Yangbin Jeon, and Kangkook Choi. 2023. "Hyperbilirubinemia as a Risk Factor for Mortality and Morbidity in Trauma Patients" Journal of Clinical Medicine 12, no. 13: 4203. https://doi.org/10.3390/jcm12134203
APA StyleLee, M., Jang, M., Jo, J., Yu, B., Lee, G., Lee, J., Lee, S., Jeon, Y., & Choi, K. (2023). Hyperbilirubinemia as a Risk Factor for Mortality and Morbidity in Trauma Patients. Journal of Clinical Medicine, 12(13), 4203. https://doi.org/10.3390/jcm12134203

