Prognostic Value of Different Levels of Uric Acid in Patients with Coronary Chronic Total Occlusion Undergoing Percutaneous Coronary Intervention
Abstract
1. Introduction
2. Materials and Methods
2.1. Study Population and Laboratory Parameters
2.2. Clinical Outcomes and Follow-Up
2.3. Statistical Analysis
3. Results
3.1. Sample Characteristics
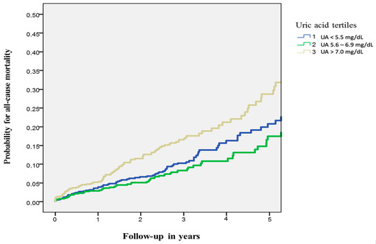
3.2. Clinical Outcomes
4. Discussion
Author Contributions
Funding
Institutional Review Board Statement
Informed Consent Statement
Data Availability Statement
Conflicts of Interest
References
- Cassar, A.; Holmes, D.R., Jr.; Rihal, C.S.; Gersh, B.J. Chronic coronary artery disease: Diagnosis and management. Mayo Clin. Proc. 2009, 84, 1130–1146. [Google Scholar] [CrossRef] [PubMed]
- Fefer, P.; Knudtson, M.L.; Cheema, A.N.; Galbraith, P.D.; Osherov, A.B.; Yalonetsky, S.; Gannot, S.; Samuel, M.; Weisbrod, M.; Bierstone, D.; et al. Current perspectives on coronary chronic total occlusions: The Canadian Multicenter Chronic Total Occlusions Registry. J. Am. Coll. Cardiol. 2012, 59, 991–997. [Google Scholar] [CrossRef] [PubMed]
- Stone, G.W.; Reifart, N.J.; Moussa, I.; Hoye, A.; Cox, D.A.; Colombo, A.; Baim, D.S.; Teirstein, P.S.; Strauss, B.H.; Selmon, M.; et al. Percutaneous recanalization of chronically occluded coronary arteries: A consensus document: Part II. Circulation 2005, 112, 2530–2537. [Google Scholar] [CrossRef] [PubMed]
- Sianos, G.; Werner, G.S.; Galassi, A.R.; Papafaklis, M.I.; Escaned, J.; Hildick-Smith, D.; Christiansen, E.H.; Gershlick, A.; Carlino, M.; Karlas, A.; et al. Recanalisation of chronic total coronary occlusions: 2012 consensus document from the EuroCTO club. EuroIntervention 2012, 8, 139–145. [Google Scholar] [CrossRef] [PubMed]
- Karmpaliotis, D.; Karatasakis, A.; Alasswad, K.; Jaffer, F.A.; Yeh, R.W.; Wyman, R.M.; Lombardi, W.L.; Grantham, J.A.; Kandzari, D.E.; Lembo, N.J.; et al. Outcomes With the Use of the Retrograde Approach for Coronary Chronic Total Occlusion Interventions in a Contemporary Multicenter US Registry. Circ. Cardiovasc. Interv. 2016, 9, e003434. [Google Scholar] [CrossRef]
- Kearney, K.; Hira, R.S.; Riley, R.F.; Kalyanasundaram, A.; Lombardi, W.L. Update on the Management of Chronic Total Occlusions in Coronary Artery Disease. Curr. Atheroscler. Rep. 2017, 19, 19. [Google Scholar] [CrossRef]
- Sharaf El Din, U.A.A.; Salem, M.M.; Abdulazim, D.O. Uric acid in the pathogenesis of metabolic, renal, and cardiovascular diseases: A review. J. Adv. Res. 2017, 8, 537–548. [Google Scholar] [CrossRef]
- Ndrepepa, G. Uric acid and cardiovascular disease. Clin. Chim. Acta Int. J. Clin. Chem. 2018, 484, 150–163. [Google Scholar] [CrossRef]
- Tardif, J.-C.; Gregoire, J.; L’Allier, P.L.; Ibrahim, R.; Lesperance, J.; Heinonen, T.M.; Kouz, S.; Berry, C.; Basser, R.; Lavoie, M.-A.; et al. Effects of Reconstituted High-Density Lipoprotein Infusions on Coronary Atherosclerosis: A Randomized Controlled Trial. JAMA 2007, 297, 1675–1682. [Google Scholar] [CrossRef]
- Tscharre, M.; Herman, R.; Rohla, M.; Hauser, C.; Farhan, S.; Freynhofer, M.K.; Huber, K.; Weiss, T.W. Uric acid is associated with long-term adverse cardiovascular outcomes in patients with acute coronary syndrome undergoing percutaneous coronary intervention. Atherosclerosis 2018, 270, 173–179. [Google Scholar] [CrossRef]
- Ndrepepa, G.; Braun, S.; Haase, H.U.; Schulz, S.; Ranftl, S.; Hadamitzky, M.; Mehilli, J.; Schomig, A.; Kastrati, A. Prognostic value of uric acid in patients with acute coronary syndromes. Am. J. Cardiol. 2012, 109, 1260–1265. [Google Scholar] [CrossRef]
- Ndrepepa, G.; Braun, S.; King, L.; Hadamitzky, M.; Haase, H.U.; Birkmeier, K.A.; Schomig, A.; Kastrati, A. Association of uric acid with mortality in patients with stable coronary artery disease. Metabolism Clin. Exp. 2012, 61, 1780–1786. [Google Scholar] [CrossRef]
- Bickel, C.; Rupprecht, H.J.; Blankenberg, S.; Rippin, G.; Hafner, G.; Daunhauer, A.; Hofmann, K.P.; Meyer, J. Serum uric acid as an independent predictor of mortality in patients with angiographically proven coronary artery disease. Am. J. Cardiol. 2002, 89, 12–17. [Google Scholar] [CrossRef]
- Guerra, A.; Rangan, B.V.; Coleman, A.; Xu, H.; Kotsia, A.; Christopoulos, G.; Sosa, A.; Chao, H.; Han, H.; Abdurrahim, G.; et al. Effect of Extended-Release Niacin on Carotid Intima Media Thickness, Reactive Hyperemia, and Endothelial Progenitor Cell Mobilization: Insights From the Atherosclerosis Lesion Progression Intervention Using Niacin Extended Release in Saphenous Vein Grafts (ALPINE-SVG) Pilot Trial. J. Invasive Cardiol. 2015, 27, 555–560. [Google Scholar]
- Del Pinto, R.; Viazzi, F.; Pontremoli, R.; Ferri, C.; Carubbi, F.; Russo, E. The URRAH study. Panminerva Med. 2021, 63, 416–423. [Google Scholar] [CrossRef]
- Borghi, C.; Piani, F. Uric Acid and Risk of Cardiovascular Disease: A Question of Start and Finish. Hypertension 2021, 78, 1219–1221. [Google Scholar] [CrossRef]
- Patetsios, P.; Song, M.; Shutze, W.P.; Pappas, C.; Rodino, W.; Ramirez, J.A.; Panetta, T.F. Identification of uric acid and xanthine oxidase in atherosclerotic plaque. Am. J. Cardiol. 2001, 88, 188–191, A186. [Google Scholar] [CrossRef]
- Yu, M.A.; Sanchez-Lozada, L.G.; Johnson, R.J.; Kang, D.H. Oxidative stress with an activation of the renin-angiotensin system in human vascular endothelial cells as a novel mechanism of uric acid-induced endothelial dysfunction. J. Hypertens. 2010, 28, 1234–1242. [Google Scholar] [CrossRef]
- Forstermann, U.; Xia, N.; Li, H. Roles of Vascular Oxidative Stress and Nitric Oxide in the Pathogenesis of Atherosclerosis. Circ. Res. 2017, 120, 713–735. [Google Scholar] [CrossRef]
- Spiga, R.; Marini, M.A.; Mancuso, E.; Di Fatta, C.; Fuoco, A.; Perticone, F.; Andreozzi, F.; Mannino, G.C.; Sesti, G. Uric Acid Is Associated With Inflammatory Biomarkers and Induces Inflammation Via Activating the NF-kappaB Signaling Pathway in HepG2 Cells. Arter. Thromb. Vasc. Biol. 2017, 37, 1241–1249. [Google Scholar] [CrossRef]
- Mehran, R.; Claessen, B.E.; Godino, C.; Dangas, G.D.; Obunai, K.; Kanwal, S.; Carlino, M.; Henriques, J.P.; Di Mario, C.; Kim, Y.H.; et al. Long-term outcome of percutaneous coronary intervention for chronic total occlusions. JACC Cardiovasc. Interv. 2011, 4, 952–961. [Google Scholar] [CrossRef] [PubMed]
- Kanbay, M.; Segal, M.; Afsar, B.; Kang, D.H.; Rodriguez-Iturbe, B.; Johnson, R.J. The role of uric acid in the pathogenesis of human cardiovascular disease. Heart 2013, 99, 759–766. [Google Scholar] [CrossRef] [PubMed]
- Borghi, C.; Agnoletti, D.; Cicero, A.F.G.; Lurbe, E.; Virdis, A. Uric Acid and Hypertension: A Review of Evidence and Future Perspectives for the Management of Cardiovascular Risk. Hypertension 2022, 79, 1927–1936. [Google Scholar] [CrossRef] [PubMed]
- Noma, K.; Kihara, Y.; Higashi, Y. Is Serum Uric Acid a Biomarker, but not a Mediator in Patients With Lifestyle and Cardiovascular Diseases? Int. Heart J. 2017, 58, 467–469. [Google Scholar] [CrossRef] [PubMed]
- Kao, M.P.; Ang, D.S.; Gandy, S.J.; Nadir, M.A.; Houston, J.G.; Lang, C.C.; Struthers, A.D. Allopurinol benefits left ventricular mass and endothelial dysfunction in chronic kidney disease. J. Am. Soc. Nephrol. JASN 2011, 22, 1382–1389. [Google Scholar] [CrossRef] [PubMed]
- Lee, P.H.; Lee, S.W.; Park, H.S.; Kang, S.H.; Bae, B.J.; Chang, M.; Roh, J.H.; Yoon, S.H.; Ahn, J.M.; Park, D.W.; et al. Successful Recanalization of Native Coronary Chronic Total Occlusion Is Not Associated With Improved Long-Term Survival. JACC. Cardiovasc. Interv. 2016, 9, 530–538. [Google Scholar] [CrossRef]
- Kirschbaum, S.W.; Baks, T.; van den Ent, M.; Sianos, G.; Krestin, G.P.; Serruys, P.W.; de Feyter, P.J.; van Geuns, R.J. Evaluation of left ventricular function three years after percutaneous recanalization of chronic total coronary occlusions. Am. J. Cardiol. 2008, 101, 179–185. [Google Scholar] [CrossRef]
- Lee, K.K.; Doudesis, D.; Anwar, M.; Astengo, F.; Chenevier-Gobeaux, C.; Claessens, Y.E.; Wussler, D.; Kozhuharov, N.; Strebel, I.; Sabti, Z.; et al. Development and validation of a decision support tool for the diagnosis of acute heart failure: Systematic review, meta-analysis, and modelling study. BMJ 2022, 377, e068424. [Google Scholar] [CrossRef]
- Behnes, M.; Brueckmann, M.; Lang, S.; Espeter, F.; Weiss, C.; Neumaier, M.; Ahmad-Nejad, P.; Borggrefe, M.; Hoffmann, U. Diagnostic and prognostic value of osteopontin in patients with acute congestive heart failure. Eur. J. Heart Fail. 2013, 15, 1390–1400. [Google Scholar] [CrossRef]
- Behnes, M.; Bertsch, T.; Weiss, C.; Ahmad-Nejad, P.; Akin, I.; Fastner, C.; El-Battrawy, I.; Lang, S.; Neumaier, M.; Borggrefe, M.; et al. Triple head-to-head comparison of fibrotic biomarkers galectin-3, osteopontin and gremlin-1 for long-term prognosis in suspected and proven acute heart failure patients. Int. J. Cardiol. 2016, 203, 398–406. [Google Scholar] [CrossRef]
- Goliasch, G.; Winter, M.P.; Ayoub, M.; Bartko, P.E.; Gebhard, C.; Mashayekhi, K.; Ferenc, M.; Buettner, H.J.; Hengstenberg, C.; Neumann, F.J.; et al. A Contemporary Definition of Periprocedural Myocardial Injury After Percutaneous Coronary Intervention of Chronic Total Occlusions. JACC Cardiovasc. Interv. 2019, 12, 1915–1923. [Google Scholar] [CrossRef]
- Kim, S.H.; Behnes, M.; Mashayekhi, K.; Bufe, A.; Meyer-Gessner, M.; El-Battrawy, I.; Akin, I. Prognostic Impact of Percutaneous Coronary Intervention of Chronic Total Occlusion in Acute and Periprocedural Myocardial Infarction. J. Clin. Med. 2021, 10, 258. [Google Scholar] [CrossRef]

| Characteristics | Tertile 1 <5.5 mg/dL (n = 682) | Tertile 2 5.6–6.9 mg/dL (n = 673) | Tertile 3 >7.0 mg/dL (n = 608) | p-Value |
|---|---|---|---|---|
| Age, years, mean ± SD | 65 ± 11 | 65 ± 11 | 66 ± 11 | 0.159 |
| Female gender, No. (%) | 159 (23.3) | 90 (13.4) | 77 (12.7) | <0.001 |
| Body mass index, kg/m2, mean ± SD | 27.3 ± 4.1 | 28.1 ± 4.0 | 29.0 ± 4.7 | <0.001 |
| Cardiovascular risk factors, No. (%) | ||||
| Diabetes mellitus | 199 (29.2) | 179 (26.6) | 207 (34.0) | 0.013 |
| Current smoker | 140 (20.5) | 131 (19.5) | 121 (19.9) | 0.886 |
| Dyslipidemia | 579 (84.9) | 585 (86.9) | 530 (87.2) | 0.418 |
| Hypertension | 523 (76.7) | 563 (83.7) | 536 (88.2) | <0.001 |
| Family history of CAD | 264 (38.7) | 263 (39.1) | 208 (34.2) | 0.139 |
| History of myocardial infarction | 148 (21.7) | 162 (24.1) | 176 (28.9) | 0.009 |
| Previous PCI | 104 (15.2) | 104 (15.5) | 101 (16.6) | 0.773 |
| Previous CABG | 84 (12.3) | 103 (15.3) | 801 (16.6) | 0.079 |
| LVEF < 40% | 270 (39.6) | 246 (36.6) | 306 (50.3) | <0.001 |
| Previous failed CTO recanalization | 314 (19.0) | 56 (16.1) | 56 (16.1) | 0.22 |
| Laboratory data, mean ± SD | ||||
| eGFR (Cockcroft), mL/min | 92 ± 35 | 91 ± 32 | 82 ± 34 | <0.001 |
| Total cholesterol, mmol/L | 191 ± 50 | 190 ± 46 | 186 ± 47 | 0.122 |
| HDL cholesterol, mmol/L | 52 ± 15 | 50 ± 14 | 46 ± 13 | <0.001 |
| LDL cholesterol, mmol/L | 117 ± 42 | 117 ± 40 | 115 ± 40 | 0.404 |
| Medication at discharge, No. (%) | ||||
| Aspirin | 656 (96.2) | 643 (95.5) | 575 (94.6) | 0.377 |
| Adenosine diphosphate inhibitors | 616 (90.3) | 597 (88.7) | 536 (88.2) | 0.425 |
| Ca antagonist | 112 (16.4) | 115 (17.1) | 124 (20.4) | 0.143 |
| Beta blockers | 561 (82.3) | 562 (83.5) | 527 (86.7) | 0.086 |
| ACE inhibitors | 420 (61.6) | 386 (57.4) | 387 (63.7) | 0.061 |
| Angiotensin receptor blockers | 103 (15.1) | 128 (19.0) | 138 (22.7) | 0.002 |
| Allopurinol | 70 (10.2) | 135 (20) | 157 (25.8) | 0.003 |
| Statins | 640 (93.8) | 629 (93.5) | 566 (93.1) | 0.862 |
| Characteristics | Tertile 1 <5.5 mg/dL (n = 682) | Tertile 2 5.6–6.9 mg/dL (n = 673) | Tertile 3 >7.0 mg/dL (n = 608) | p-Value |
|---|---|---|---|---|
| Lesion characteristics | ||||
| CTO target vessel | <0.001 | |||
| LM | 6 (0.9) | 3 (0.4) | 6 (1.0) | |
| LAD | 217 (31.8) | 186 (27.6) | 140 (23.0) | |
| LCX | 158 (23.2) | 195 (29.0) | 140 (23.0) | |
| RCA | 301 (44.1) | 289 (42.9) | 322 (53.0) | |
| Vessel disease | 0.098 | |||
| 1 | 140 (20.5) | 119 (17.7) | 99 (16.3) | |
| 2 | 194 (28.4) | 205 (30.5) | 161 (26.5) | |
| 3 | 348 (51.0) | 349 (51.9) | 348 (57.2) | |
| Multivessel disease | 542 (79.5) | 554 (82.3) | 509 (83.7) | 0.129 |
| CTO length > 20 mm | 499 (73.2) | 511 (75.9) | 483 (79.4) | 0.031 |
| Moderate/severe calcifications | 372 (54.5) | 371 (55.1) | 355 (58.4) | 0.333 |
| Procedural characteristics | ||||
| Procedural success | 573 (84) | 559 (83.1) | 498 (81.9) | 0.602 |
| Retrograde approach | 150 (22.0) | 146 (21.7) | 175 (28.8) | 0.004 |
| Number of stents | 1.28 ± 0.9 | 1.3 ± 0.9 | 1.3 ± 1.0 | 0.312 |
| Total stent length, mm | 33.7 ± 25.0 | 34.6 ± 26.2 | 36.8 ± 28.0 | 0.100 |
| Contrast volume, mL | 309 ± 151 | 326 ± 162 | 324 ± 153 | 0.083 |
| Fluoroscopy time, min | 33.8 ± 30.0 | 36.9 ± 47.0 | 38.5 ± 31.0 | 0.063 |
| Kerma area product, cGy*cm2 | 11,047 ± 11,289 | 12,367 ± 13,307 | 14,220 ± 15,408 | <0.001 |
| Characteristics | HR | 95% CI | p-Value |
|---|---|---|---|
| Sex | 1.176 | 0.848–1.630 | 0.331 |
| BMI | 1.016 | 0.982–1.050 | 0.364 |
| Diabetes mellitus | 1.349 | 1.031–1.766 | 0.029 |
| Arterial hypertension | 1.561 | 1.028–2.372 | 0.037 |
| Prior MI | 1.116 | 0.842–1.478 | 0.446 |
| LVEF > 40% | 0.441 | 0.335–0.579 | 0.000 |
| Renal function (Cockcroft clearance) | 0.977 | 0.972–0.981 | 0.000 |
| High-density lipoprotein [9] | 0.999 | 0.990–1.009 | 0.897 |
| CTO of RCA | 3.349 | 0.459–24.441 | 0.233 |
| CTO of RIA | 3.265 | 0.445–23.956 | 0.245 |
| CTO of LCX | 3.851 | 0.526–28.204 | 0.184 |
| Length of stent > 20 mm | 0.945 | 0.704–1.268 | 0.706 |
| Direction of PCI procedure (normal vs. contralateral or retrograde) | 0.858 | 0.605–1.216 | 0.389 |
| Uric acid Tertile 1 vs. Tertile 2 | 0.957 | 0.707–1.295 | 0.776 |
| Uric acid Tertile 1 vs. Tertile 3 | 0.671 | 0.491–0.916 | 0.012 |
| Successful CTO-PCI | 0.616 | 0.469–0.810 | 0.001 |
Disclaimer/Publisher’s Note: The statements, opinions and data contained in all publications are solely those of the individual author(s) and contributor(s) and not of MDPI and/or the editor(s). MDPI and/or the editor(s) disclaim responsibility for any injury to people or property resulting from any ideas, methods, instructions or products referred to in the content. |
© 2023 by the authors. Licensee MDPI, Basel, Switzerland. This article is an open access article distributed under the terms and conditions of the Creative Commons Attribution (CC BY) license (https://creativecommons.org/licenses/by/4.0/).
Share and Cite
Ayoub, M.; Mashayekhi, K.; Behnes, M.; Schupp, T.; Akin, M.; Forner, J.; Akin, I.; Neumann, F.-J.; Westermann, D.; Rudolph, V.; et al. Prognostic Value of Different Levels of Uric Acid in Patients with Coronary Chronic Total Occlusion Undergoing Percutaneous Coronary Intervention. J. Clin. Med. 2023, 12, 3794. https://doi.org/10.3390/jcm12113794
Ayoub M, Mashayekhi K, Behnes M, Schupp T, Akin M, Forner J, Akin I, Neumann F-J, Westermann D, Rudolph V, et al. Prognostic Value of Different Levels of Uric Acid in Patients with Coronary Chronic Total Occlusion Undergoing Percutaneous Coronary Intervention. Journal of Clinical Medicine. 2023; 12(11):3794. https://doi.org/10.3390/jcm12113794
Chicago/Turabian StyleAyoub, Mohamed, Kambis Mashayekhi, Michael Behnes, Tobias Schupp, Muharrem Akin, Jan Forner, Ibrahim Akin, Franz-Josef Neumann, Dirk Westermann, Volker Rudolph, and et al. 2023. "Prognostic Value of Different Levels of Uric Acid in Patients with Coronary Chronic Total Occlusion Undergoing Percutaneous Coronary Intervention" Journal of Clinical Medicine 12, no. 11: 3794. https://doi.org/10.3390/jcm12113794
APA StyleAyoub, M., Mashayekhi, K., Behnes, M., Schupp, T., Akin, M., Forner, J., Akin, I., Neumann, F.-J., Westermann, D., Rudolph, V., & Toma, A. (2023). Prognostic Value of Different Levels of Uric Acid in Patients with Coronary Chronic Total Occlusion Undergoing Percutaneous Coronary Intervention. Journal of Clinical Medicine, 12(11), 3794. https://doi.org/10.3390/jcm12113794

