Impact of Smoking, Body Weight, Diabetes, Hypertension and Kidney Dysfunction on Survival in Pancreatic Cancer Patients—A Single Center Analysis of 2323 Patients within the Last Decade
Abstract
1. Introduction
2. Materials and Methods
3. Results
3.1. Patient Characteristics
3.2. Determination of Cut-Off Values
3.3. Univariate and Multivariate Analyses of Patient Cohort
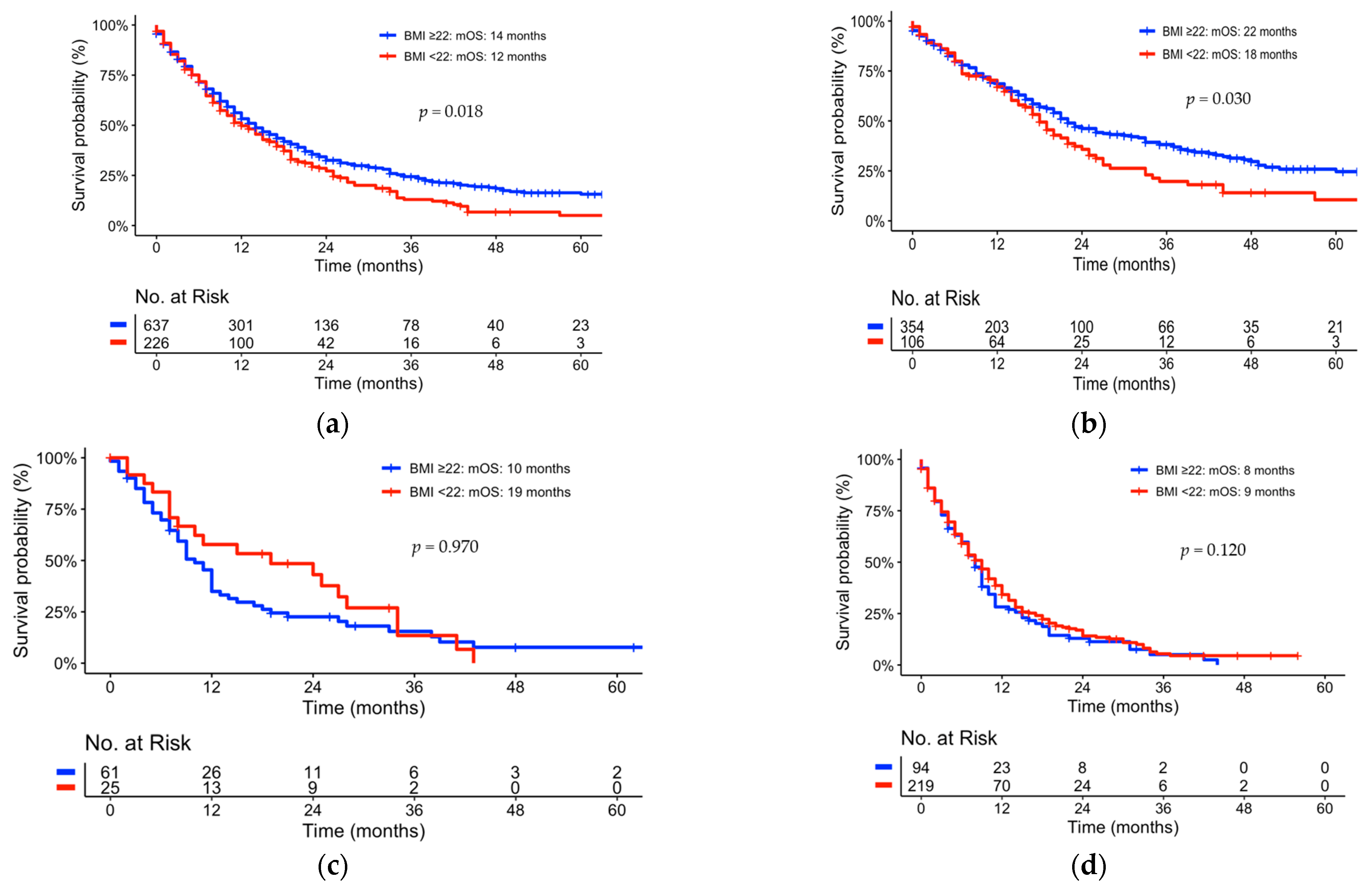
3.4. Correlation of Metabolic Parameters to mOS
3.5. Correlation of Kidney Function to Survival
3.6. Therapy Effects of Pancreatic Endocrine and Exocrine Insufficiency
4. Discussion
Supplementary Materials
Author Contributions
Funding
Institutional Review Board Statement
Informed Consent Statement
Data Availability Statement
Conflicts of Interest
References
- Bengtsson, A.; Andersson, R.; Ansari, D. The Actual 5-Year Survivors of Pancreatic Ductal Adenocarcinoma Based on Real-World Data. Sci. Rep. 2020, 10, 16425. [Google Scholar] [CrossRef] [PubMed]
- Conroy, T.; Castan, F.; Lopez, A.; Turpin, A.; Ben Abdelghani, M.; Wei, A.C.; Mitry, E.; Biagi, J.J.; Evesque, L.; Artru, P.; et al. Five-Year Outcomes of FOLFIRINOX vs Gemcitabine as Adjuvant Therapy for Pancreatic Cancer: A Randomized Clinical Trial. JAMA Oncol. 2022, 8, 1571–1578. [Google Scholar] [CrossRef] [PubMed]
- Park, W.; Chawla, A.; O’Reilly, E.M. Pancreatic Cancer: A Review. JAMA 2021, 326, 851–862. [Google Scholar] [CrossRef] [PubMed]
- Huang, J.; Lok, V.; Ngai, C.H.; Zhang, L.; Yuan, J.; Lao, X.Q.; Ng, K.; Chong, C.; Zheng, Z.-J.; Wong, M.C.S. Worldwide Burden of, Risk Factors for, and Trends in Pancreatic Cancer. Gastroenterology 2021, 160, 744–754. [Google Scholar] [CrossRef]
- Park, S.K.; Oh, C.-M.; Kim, M.-H.; Ha, E.; Choi, Y.-S.; Ryoo, J.-H. Metabolic Syndrome, Metabolic Components, and Their Relation to the Risk of Pancreatic Cancer. Cancer 2020, 126, 1979–1986. [Google Scholar] [CrossRef]
- Janssen, F.; Bardoutsos, A.; Vidra, N. Obesity Prevalence in the Long-Term Future in 18 European Countries and in the USA. Obes. Facts 2020, 13, 514–527. [Google Scholar] [CrossRef]
- Ben, Q.-W.; Liu, J.; Sun, Y.-W.; Wang, L.-F.; Zou, D.-W.; Yuan, Y.-Z. Cigarette Smoking and Mortality in Patients With Pancreatic Cancer: A Systematic Review and Meta-Analysis. Pancreas 2019, 48, 985–995. [Google Scholar] [CrossRef]
- Yuan, C.; Morales-Oyarvide, V.; Babic, A.; Clish, C.B.; Kraft, P.; Bao, Y.; Qian, Z.R.; Rubinson, D.A.; Ng, K.; Giovannucci, E.L.; et al. Cigarette Smoking and Pancreatic Cancer Survival. J. Clin. Oncol. 2017, 35, 1822–1828. [Google Scholar] [CrossRef]
- Li, D.; Morris, J.S.; Liu, J.; Hassan, M.M.; Day, R.S.; Bondy, M.L.; Abbruzzese, J.L. Body Mass Index and Risk, Age of Onset, and Survival in Patients with Pancreatic Cancer. JAMA 2009, 301, 2553–2562. [Google Scholar] [CrossRef]
- Olson, S.H.; Chou, J.F.; Ludwig, E.; O’Reilly, E.; Allen, P.J.; Jarnagin, W.R.; Bayuga, S.; Simon, J.; Gonen, M.; Reisacher, W.R.; et al. Allergies, Obesity, Other Risk Factors and Survival from Pancreatic Cancer. Int. J. Cancer 2010, 127, 2412–2419. [Google Scholar] [CrossRef]
- Hou, Y.-C.; Chen, C.-Y.; Huang, C.-J.; Wang, C.-J.; Chao, Y.-J.; Chiang, N.-J.; Wang, H.-C.; Tung, H.-L.; Liu, H.-C.; Shan, Y.-S. The Differential Clinical Impacts of Cachexia and Sarcopenia on the Prognosis of Advanced Pancreatic Cancer. Cancers 2022, 14, 3137. [Google Scholar] [CrossRef]
- Poulia, K.A.; Sarantis, P.; Antoniadou, D.; Koustas, E.; Papadimitropoulou, A.; Papavassiliou, A.G.; Karamouzis, M.V. Pancreatic Cancer and Cachexia—Metabolic Mechanisms and Novel Insights. Nutrients 2020, 12, 1543. [Google Scholar] [CrossRef]
- Hwang, A.; Narayan, V.; Yang, Y.-X. Type 2 Diabetes Mellitus and Survival in Pancreatic Adenocarcinoma: A Retrospective Cohort Study. Cancer 2013, 119, 404–410. [Google Scholar] [CrossRef]
- Mao, Y.; Tao, M.; Jia, X.; Xu, H.; Chen, K.; Tang, H.; Li, D. Effect of Diabetes Mellitus on Survival in Patients with Pancreatic Cancer: A Systematic Review and Meta-Analysis. Sci. Rep. 2015, 5, 17102. [Google Scholar] [CrossRef]
- Jiang, W.; He, R.; Lu, Y.; Zhou, W. The Relationships between Antihypertensive Medications and the Overall Survival of Patients with Pancreatic Cancer: A Systematic Review and Meta-Analysis. Expert Rev. Gastroenterol. Hepatol. 2022, 16, 547–553. [Google Scholar] [CrossRef]
- Lin, L.; Tan, W.; Pan, X.; Tian, E.; Wu, Z.; Yang, J. Metabolic Syndrome-Related Kidney Injury: A Review and Update. Front. Endocrinol. 2022, 13, 904001. [Google Scholar] [CrossRef]
- Alfano, G.; Perrone, R.; Fontana, F.; Ligabue, G.; Giovanella, S.; Ferrari, A.; Gregorini, M.; Cappelli, G.; Magistroni, R.; Donati, G. Rethinking Chronic Kidney Disease in the Aging Population. Life 2022, 12, 1724. [Google Scholar] [CrossRef]
- Riley, R.D.; Moons, K.G.M.; Snell, K.I.E.; Ensor, J.; Hooft, L.; Altman, D.G.; Hayden, J.; Collins, G.S.; Debray, T.P.A. A Guide to Systematic Review and Meta-Analysis of Prognostic Factor Studies. BMJ 2019, 364, k4597. [Google Scholar] [CrossRef]
- Moons, K.G.M.; de Groot, J.A.H.; Bouwmeester, W.; Vergouwe, Y.; Mallett, S.; Altman, D.G.; Reitsma, J.B.; Collins, G.S. Critical Appraisal and Data Extraction for Systematic Reviews of Prediction Modelling Studies: The CHARMS Checklist. PLoS Med. 2014, 11, e1001744. [Google Scholar] [CrossRef]
- Cascinu, S. Locally Advanced versus Metastatic Pancreatic Cancer: Two Different Diseases with Two Different Treatment Approaches? Chin. Clin. Oncol. 2013, 2, 26. [Google Scholar] [CrossRef]
- Levey, A.S.; Stevens, L.A.; Schmid, C.H.; Iii, A.F.C.; Feldman, H.I.; Kusek, J.W.; Eggers, P.; Coresh, J. A New Equation to Estimate Glomerular Filtration Rate. Ann. Intern. Med. 2009, 150, 604–612. [Google Scholar] [CrossRef] [PubMed]
- Andridge, R.R.; Little, R.J.A. A Review of Hot Deck Imputation for Survey Non-Response. Int. Stat. Rev. Rev. Int. Stat. 2010, 78, 40–64. [Google Scholar] [CrossRef] [PubMed]
- Domínguez-Muñoz, J.E.; Nieto-Garcia, L.; López-Díaz, J.; Lariño-Noia, J.; Abdulkader, I.; Iglesias-Garcia, J. Impact of the Treatment of Pancreatic Exocrine Insufficiency on Survival of Patients with Unresectable Pancreatic Cancer: A Retrospective Analysis. BMC Cancer 2018, 18, 534. [Google Scholar] [CrossRef] [PubMed]
- Lynch, S.M.; Vrieling, A.; Lubin, J.H.; Kraft, P.; Mendelsohn, J.B.; Hartge, P.; Canzian, F.; Steplowski, E.; Arslan, A.A.; Gross, M.; et al. Cigarette Smoking and Pancreatic Cancer: A Pooled Analysis From the Pancreatic Cancer Cohort Consortium. Am. J. Epidemiol. 2009, 170, 403–413. [Google Scholar] [CrossRef] [PubMed]
- Zhang, S.; Wang, C.; Huang, H.; Jiang, Q.; Zhao, D.; Tian, Y.; Ma, J.; Yuan, W.; Sun, Y.; Che, X.; et al. Effects of Alcohol Drinking and Smoking on Pancreatic Ductal Adenocarcinoma Mortality: A Retrospective Cohort Study Consisting of 1783 Patients. Sci. Rep. 2017, 7, 9572. [Google Scholar] [CrossRef]
- Dandona, M.; Linehan, D.; Hawkins, W.; Strasberg, S.; Gao, F.; Wang-Gillam, A. Influence of Obesity and Other Risk Factors on Survival Outcomes in Patients Undergoing Pancreaticoduodenectomy for Pancreatic Cancer. Pancreas 2011, 40, 931–937. [Google Scholar] [CrossRef]
- Cui, L.; Yu, H.; Sun, Q.; Miao, Y.; Jiang, K.; Fang, X. Effects of Body Mass Index and Serum Albumin on Overall Survival in Patients with Cancer Undergoing Pancreaticoduodenectomy: A Single-Center Retrospective Cohort Study. World J. Surg. Oncol. 2022, 20, 221. [Google Scholar] [CrossRef]
- Kasenda, B.; Bass, A.; Koeberle, D.; Pestalozzi, B.; Borner, M.; Herrmann, R.; Jost, L.; Lohri, A.; Hess, V. Survival in Overweight Patients with Advanced Pancreatic Carcinoma: A Multicentre Cohort Study. BMC Cancer 2014, 14, 728. [Google Scholar] [CrossRef]
- Coleman, N.C.; Burnett, R.T.; Higbee, J.D.; Lefler, J.S.; Merrill, R.M.; Ezzati, M.; Marshall, J.D.; Kim, S.-Y.; Bechle, M.; Robinson, A.L.; et al. Cancer Mortality Risk, Fine Particulate Air Pollution, and Smoking in a Large, Representative Cohort of US Adults. Cancer Causes Control 2020, 31, 767–776. [Google Scholar] [CrossRef]
- Pelucchi, C.; Galeone, C.; Polesel, J.; Manzari, M.; Zucchetto, A.; Talamini, R.; Franceschi, S.; Negri, E.; La Vecchia, C. Smoking and Body Mass Index and Survival in Pancreatic Cancer Patients. Pancreas 2014, 43, 47–52. [Google Scholar] [CrossRef]
- Batty, G.D.; Kivimaki, M.; Gray, L.; Smith, G.D.; Marmot, M.G.; Shipley, M.J. Cigarette Smoking and Site-Specific Cancer Mortality: Testing Uncertain Associations Using Extended Follow-up of the Original Whitehall Study. Ann. Oncol. Off. J. Eur. Soc. Med. Oncol. 2008, 19, 996–1002. [Google Scholar] [CrossRef]
- Park, S.M.; Lim, M.K.; Shin, S.A.; Yun, Y.H. Impact of Prediagnosis Smoking, Alcohol, Obesity, and Insulin Resistance on Survival in Male Cancer Patients: National Health Insurance Corporation Study. J. Clin. Oncol. Off. J. Am. Soc. Clin. Oncol. 2006, 24, 5017–5024. [Google Scholar] [CrossRef]
- Fu, N.; Jiang, Y.; Qin, K.; Chen, H.; Deng, X.; Shen, B. Higher Body Mass Index Indicated Better Overall Survival in Pancreatic Ductal Adenocarcinoma Patients: A Real-World Study of 2010 Patients. BMC Cancer 2021, 21, 1318. [Google Scholar] [CrossRef]
- Balzano, G.; Dugnani, E.; Gandolfi, A.; Scavini, M.; Pasquale, V.; Aleotti, F.; Liberati, D.; Di Terlizzi, G.; Petrella, G.; Reni, M.; et al. Effect of Diabetes on Survival after Resection of Pancreatic Adenocarcinoma. A Prospective, Observational Study. PLoS ONE 2016, 11, e0166008. [Google Scholar] [CrossRef]
- Hart, P.A.; Law, R.J.; Frank, R.D.; Bamlet, W.R.; Burch, P.A.; Petersen, G.M.; Rabe, K.G.; Chari, S.T. Impact of Diabetes Mellitus on Clinical Outcomes in Patients Undergoing Surgical Resection for Pancreatic Cancer: A Retrospective, Cohort Study. Am. J. Gastroenterol. 2014, 109, 1484–1492. [Google Scholar] [CrossRef]
- Antoniak, D.; Are, C.; Vokoun, C.; Samson, K.; Smith, L.; Shiffermiller, J. The Relationship Between Age and Chronic Kidney Disease in Patients Undergoing Pancreatic Resection. J. Gastrointest. Surg. 2018, 22, 1376–1384. [Google Scholar] [CrossRef]
- Henderson, S.E.; Makhijani, N.; Mace, T.A. Pancreatic Cancer-Induced Cachexia and Relevant Mouse Models. Pancreas 2018, 47, 937–945. [Google Scholar] [CrossRef]
- Trestini, I.; Carbognin, L.; Peretti, U.; Sperduti, I.; Caldart, A.; Tregnago, D.; Avancini, A.; Auriemma, A.; Orsi, G.; Pilotto, S.; et al. Pancreatic Enzyme Replacement Therapy in Patients Undergoing First-Line Gemcitabine Plus Nab-Paclitaxel for Advanced Pancreatic Adenocarcinoma. Front. Oncol. 2021, 11, 688889. [Google Scholar] [CrossRef]
- Li, W.; Zhang, L.; Chen, X.; Jiang, Z.; Zong, L.; Ma, Q. Hyperglycemia Promotes the Epithelial-Mesenchymal Transition of Pancreatic Cancer via Hydrogen Peroxide. Oxid. Med. Cell. Longev. 2016, 2016, e5190314. [Google Scholar] [CrossRef]
- Zarei, M.; Lal, S.; Parker, S.J.; Nevler, A.; Vaziri-Gohar, A.; Dukleska, K.; Mambelli-Lisboa, N.C.; Moffat, C.; Blanco, F.F.; Chand, S.N.; et al. Posttranscriptional Upregulation of IDH1 by HuR Establishes a Powerful Survival Phenotype in Pancreatic Cancer Cells. Cancer Res. 2017, 77, 4460–4471. [Google Scholar] [CrossRef]
- Wakasugi, H.; Funakoshi, A.; Iguchi, H. Clinical Observations of Pancreatic Diabetes Caused by Pancreatic Carcinoma, and Survival Period. Int. J. Clin. Oncol. 2001, 6, 50–54. [Google Scholar] [CrossRef] [PubMed]
- Ishii, T.; Fujimaru, T.; Nakano, E.; Takahashi, O.; Nakayama, M.; Yamauchi, T.; Komatsu, Y. Association between Chronic Kidney Disease and Mortality in Stage IV Cancer. Int. J. Clin. Oncol. 2020, 25, 1587–1595. [Google Scholar] [CrossRef] [PubMed]




| Factor | Total No. (%) |
|---|---|
| No. of patients Median Age (range) years | 863 66 (28–94) |
| Sex | |
| Female | 377 (43.7) |
| Male | 486 (56.3) |
| ECOG | |
| ≥ 2 | 123 (14.3) |
| < 2 Unknown | 418 (48.4) 322 (37.3) |
| Stage | |
| Resected | 464 (53.7) |
| Locally advanced | 86 (10.0) |
| Metastasized | 313 (36.3) |
| Localization | |
| Head | 494 (57.3) |
| Body | 78 (9.0) |
| Tail Overlap Not specified | 117 (13.6) 45 (5.2) 129 (14.9) |
| Treatment | |
| Resection | |
| R0 | 304 (35.2) |
| R1 | 139 (16.1) |
| R2 | 2 (0.2) |
| RX | 19 (2.2) |
| Adjuvant Chemotherapy | 408 (87.9) |
| No Adjuvant Chemotherapy | 18 (3.9) |
| Unkown adjuv. Treatment | 38 (8.2) |
| Palliative Treatment | 399 (46.3) |
| Factor | Univariate Analysis | Multivariate Analysis | |||||
|---|---|---|---|---|---|---|---|
| N | HR | 95% CI | p-Value | HR | 95% CI | p-Value | |
| Age (years) | |||||||
| ≥65 | 503 | ||||||
| <65 | 360 | 0.7 | 0.6–0.8 | <0.001 | 0.7 | 0.5–0.8 | <0.001 |
| Sex | |||||||
| Female | 377 | ||||||
| Male | 486 | 1.3 | 1.1–1.5 | <0.001 | 1.7 | 1.0–2.0 | <0.001 |
| Tumor stage | |||||||
| Resected | 464 | ||||||
| Locally advanced | 86 | 1.8 | 1.4–2.3 | <0.001 | 1.7 | 1.3–2.8 | <0.001 |
| Metastasized | 313 | 2.6 | 2.1–3.1 | <0.001 | 2.3 | 1.9–3.3 | <0.001 |
| Localization | |||||||
| Head | 530 | ||||||
| Body | 160 | 1.4 | 1.1–1.7 | 0.001 | 1.0 | 0.9–1.6 | 0.543 |
| Tail | 128 | 1.2 | 0.9–1.6 | 0.082 | 1.0 | 0.7–1.4 | 0.707 |
| Overlap | 45 | 1.6 | 1.1–2.3 | 0.012 | 0.9 | 0.6–1.5 | 0.855 |
| CA19-9 (kU/L) | |||||||
| ≥300 | 444 | ||||||
| <300 | 419 | 0.6 | 0.5–0.7 | <0.001 | 0.7 | 0.5–0.9 | <0.001 |
| ECOG | |||||||
| >2 | 123 | ||||||
| 0–1 | 740 | 0.5 | 0.4–0.6 | <0.001 | 0.8 | 0.6–1.1 | 0.343 |
| Albumin (g/L) | |||||||
| ≥33 | 345 | ||||||
| <33 | 518 | 1.4 | 1.2–1.7 | <0.001 | 1.5 | 1.2–2.0 | <0.001 |
| Active Smoking | |||||||
| Yes | 215 | ||||||
| No | 297 | 0.83 | 0.7–1.0 | <0.001 | 0.8 | 0.6–1.0 | 0.052 |
| Unknown | 351 | ||||||
| BMI | |||||||
| ≥22 | 637 | ||||||
| <22 | 226 | 1.2 | 1.0–1.5 | 0.018 | 1.2 | 0.9–1.6 | 0.269 |
| 0.7 1 | 0.44–1.04 1 | 0.078 1 | |||||
| Diabetes | |||||||
| Yes | 308 | ||||||
| No | 555 | 1.0 | 0.85–1.2 | 0.970 | 1.1 | 0.8–1.3 | 0.339 |
| Hypertension | |||||||
| Yes | 507 | ||||||
| No | 356 | 0.91 | 0.77–1.1 | 0.260 | 1.2 | 0.9–1.4 | 0.245 |
| GFR | |||||||
| ≥90 | 440 | ||||||
| <90 | 423 | 1.1 | 0.97–1.3 | 0.002 | 1.3 | 1.0–1.7 | 0.042 |
| N | Nearest Neighbor Matching | mOS | p-Value | |
|---|---|---|---|---|
| DM insulin therapy | ||||
| Yes | 112 | 112 | 20 | |
| No | 751 | 112 | 20 | 1.00 |
| PERT | ||||
| Yes | 220 | 220 | 23 | |
| No | 643 | 220 | 18 | 0.12 |
| Author | Year | Country | Patient No | Parameter | Statistical Significance | Multivariate HR (95% CI) | Status |
|---|---|---|---|---|---|---|---|
| Zhang [25] | 2017 | China | 1640 | Smoking | Yes | 1.02 [0.87–1.21]; p = NA | Mixed 1 |
| Yuan [8] | 2017 | USA | 1037 | Smoking | Yes | 1.40 [1.14–1.72]; p = 0.002 | Mixed 1 |
| Pelucchi [30] | 2014 | Italy | 648 | Smoking | Yes | 1.37 [1.14–1.65]; p < 0.001 | Unkown |
| MixBatty [31] | 2008 | UK | 158 | Smoking | Yes | 1.47 [0.90–2.39]; p = 0.190 | Mixed 1 |
| Dandona [26] | 2011 | USA | 355 | Smoking | No | NA | Resected |
| Olson [10] | 2010 | USA | 475 | BMI | No | 1.02 [0.56–1.88]; p = 0.940 | Resected |
| Park [32] | 2006 | Korea | 348 | BMI | No | 1.14 [0.84–1.54]; p = 0.169 | Unkown |
| Dandona [26] | 2011 | USA | 355 | BMI | No | NA | Resected |
| Cui [27] | 2022 | China | 329 | BMI | Yes | 3.21 [0.99–10.45]; p = 0.048 | Resected |
| Fu [33] | 2021 | China | 2010 | BMI | Yes | 0.97 [0.95–0.99]; p = 0.004 | Mixed 1 |
| Kasenda [28] | 2014 | Switzerland | 483 | BMI | Yes | 1.22 [1.04–1.41]; p = 0.012 | Non-resected |
| Hwang [13] | 2012 | USA | 3147 | Diabetes | Yes | 0.16 [1.00–1.33]; p < 0.050 | Mixed 1 |
| Dandona [26] | 2011 | USA | 355 | Diabetes | No | NA | Resected |
| Balzano [34] | 2016 | Italy | 296 | Diabetes | Yes | 1.45 [1.06–1.99]; p = NA | Resected |
| Hart [35] | 2014 | USA | 488 | Diabetes | No | 1.06, (0.81–1.38), p = 0.676 | Resected |
| Antoniak [36] | 2018 | USA | 16,957 | GFR | Yes | 2.68 2 [1.10–6.56]; p = 0.020 | Resected |
Disclaimer/Publisher’s Note: The statements, opinions and data contained in all publications are solely those of the individual author(s) and contributor(s) and not of MDPI and/or the editor(s). MDPI and/or the editor(s) disclaim responsibility for any injury to people or property resulting from any ideas, methods, instructions or products referred to in the content. |
© 2023 by the authors. Licensee MDPI, Basel, Switzerland. This article is an open access article distributed under the terms and conditions of the Creative Commons Attribution (CC BY) license (https://creativecommons.org/licenses/by/4.0/).
Share and Cite
Neumann, C.C.M.; Schneider, F.; Hilfenhaus, G.; Vecchione, L.; Benzing, C.; Ihlow, J.; Fehrenbach, U.; Malinka, T.; Keilholz, U.; Stintzing, S.; et al. Impact of Smoking, Body Weight, Diabetes, Hypertension and Kidney Dysfunction on Survival in Pancreatic Cancer Patients—A Single Center Analysis of 2323 Patients within the Last Decade. J. Clin. Med. 2023, 12, 3656. https://doi.org/10.3390/jcm12113656
Neumann CCM, Schneider F, Hilfenhaus G, Vecchione L, Benzing C, Ihlow J, Fehrenbach U, Malinka T, Keilholz U, Stintzing S, et al. Impact of Smoking, Body Weight, Diabetes, Hypertension and Kidney Dysfunction on Survival in Pancreatic Cancer Patients—A Single Center Analysis of 2323 Patients within the Last Decade. Journal of Clinical Medicine. 2023; 12(11):3656. https://doi.org/10.3390/jcm12113656
Chicago/Turabian StyleNeumann, Christopher C. M., François Schneider, Georg Hilfenhaus, Loredana Vecchione, Christian Benzing, Jana Ihlow, Uli Fehrenbach, Thomas Malinka, Ulrich Keilholz, Sebastian Stintzing, and et al. 2023. "Impact of Smoking, Body Weight, Diabetes, Hypertension and Kidney Dysfunction on Survival in Pancreatic Cancer Patients—A Single Center Analysis of 2323 Patients within the Last Decade" Journal of Clinical Medicine 12, no. 11: 3656. https://doi.org/10.3390/jcm12113656
APA StyleNeumann, C. C. M., Schneider, F., Hilfenhaus, G., Vecchione, L., Benzing, C., Ihlow, J., Fehrenbach, U., Malinka, T., Keilholz, U., Stintzing, S., & Pelzer, U. (2023). Impact of Smoking, Body Weight, Diabetes, Hypertension and Kidney Dysfunction on Survival in Pancreatic Cancer Patients—A Single Center Analysis of 2323 Patients within the Last Decade. Journal of Clinical Medicine, 12(11), 3656. https://doi.org/10.3390/jcm12113656

