Blood Pressure Signal Entropy as a Novel Marker of Physical Frailty: Results from the FRAILMatics Clinical Cohort
Abstract
1. Introduction
2. Materials and Methods
2.1. Setting and Patients
2.2. Cardiovascular Measures
2.3. Entropy Analysis
2.4. Physical Frailty Operationalization
- Exhaustion was identified as a positive response to the question: “In the last month, have you had too little energy to do the things you wanted to do?”. A positive answer (Yes) was coded as 1, and No was coded as 0.
- The weight loss criterion was fulfilled by reporting a “Diminution in desire for food” in response to the question: “What has your appetite been like?” or, in the case of a non-specific or uncodeable response to this question, by responding “Less” to the question: “So, have you been eating more or less than usual?”. The presence of the criterion was coded as 1 and its absence as 0.
- Weakness was assessed by handgrip strength, measured in kg using a Jamar Hydraulic Hand Dynamometer (Performance Health, Cedarburg, WI, USA). Two consecutive measurements were taken from the left and right hands, while seated. The maximum of the four attempts was used, providing a continuous variable.
- Slowness was defined as a positive answer to either of the following: “Because of a health problem, do you have difficulty [expected to last more than 3 months] walking 100 metres?” or “…do you have difficulty climbing one flight of stairs without resting?”. One or more positive responses was coded as 1, and two negative responses as 0.
- Low activity was assessed by the question: “How often do you engage in activities that require a low or moderate level of energy such as gardening, cleaning the car, or doing a walk?”. This resulted in an ordinal variable, where: 1 = “More than once a week”; 2 = “Once a week”; 3 = One to three times a month”; and 4 = “Hardly ever or never”.
2.5. Other Measures
2.6. Statistical Analysis
3. Results
3.1. Cohort Descriptives
3.2. Hyperparameter Tuning
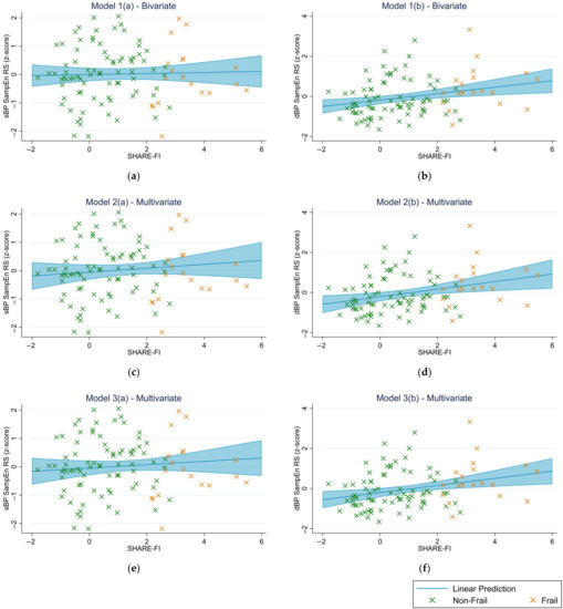
3.3. Regression Results
4. Discussion
5. Conclusions
Author Contributions
Funding
Institutional Review Board Statement
Informed Consent Statement
Data Availability Statement
Acknowledgments
Conflicts of Interest
Appendix A
Appendix A.1. Female
- Fatigue (wfatigue) = 0.4088
- Weight loss (wweightloss) = 0.3325
- Grip strength (wgripstrength) = −0.4910
- Weakness (wweakness) = 0.6012
- Low activity (wlowactivity) = 0.4818
Appendix A.2. Male
- Fatigue (wfatigue) = 0.3762
- Weight loss (wweightloss) = 0.3130
- Grip strength (wgripstrength) = −0.4653
- Weakness (wweakness) = 0.6146
- Low activity (wlowactivity) = 0.4680
Appendix A.3. Female SHARE-FI Score Cut-Offs for ‘Non-Frail’, ‘Pre-Frail’, and ‘Frail’ Categorization
- Non-frail: SHARE-FI score < 0.3151
- Pre-frail: SHARE-FI score 0.3151 to 2.1301
- Frail: SHARE-FI score > 2.1301
Appendix A.4. Male SHARE-FI Score Cut-Offs for ‘Non-Frail’, ‘Pre-Frail’, and ‘Frail’ Categorization
- Non-frail: SHARE-FI score < 1.2119
- Pre-frail: SHARE-FI score 1.2119 to 3.0053
- Frail: SHARE-FI score > 3.0053
Appendix B


References
- Campbell, A.J.; Buchner, D.M. Unstable disability and the fluctuations of frailty. Age Ageing 1997, 26, 315–318. [Google Scholar] [CrossRef] [PubMed]
- Fried, L.P.; Tangen, C.M.; Walston, J.; Newman, A.B.; Hirsch, C.; Gottdiener, J.; Seeman, T.; Tracy, R.; Kop, W.J.; Burke, G.; et al. Frailty in older adults: Evidence for a phenotype. J. Gerontol. A Biol. Sci. Med. Sci. 2001, 56, M146–M156. [Google Scholar] [CrossRef] [PubMed]
- Rockwood, K.; Stadnyk, K.; MacKnight, C.; McDowell, I.; Hébert, R.; Hogan, D.B. A brief clinical instrument to classify frailty in elderly people. Lancet 1999, 353, 205–206. [Google Scholar] [CrossRef]
- Speechley, M.; Tinetti, M. Falls and Injuries in Frail and Vigorous Community Elderly Persons. J. Am. Geriatr. Soc. 1991, 39, 46–52. [Google Scholar] [CrossRef] [PubMed]
- Winograd, C.H. Targeting strategies: An overview of criteria and outcomes. J. Am. Geriatr. Soc. 1991, 39, 25s–35s. [Google Scholar] [CrossRef]
- Santos-Eggimann, B.; Cuénoud, P.; Spagnoli, J.; Junod, J. Prevalence of frailty in middle-aged and older community-dwelling Europeans living in 10 countries. J. Gerontol. A Biol. Sci. Med. Sci. 2009, 64, 675–681. [Google Scholar] [CrossRef]
- Theou, O.; Brothers, T.D.; Mitnitski, A.; Rockwood, K. Operationalization of frailty using eight commonly used scales and comparison of their ability to predict all-cause mortality. J. Am. Geriatr. Soc. 2013, 61, 1537–1551. [Google Scholar] [CrossRef]
- Romero-Ortuno, R.; Hartley, P.; Davis, J.; Knight, S.P.; Rizzo, R.; Hernández, B.; Kenny, R.A.; O’Halloran, A.M. Transitions in frailty phenotype states and components over 8 years: Evidence from The Irish Longitudinal Study on Ageing. Arch. Gerontol. Geriatr. 2021, 95, 104401. [Google Scholar] [CrossRef]
- Fried, L.P.; Ferrucci, L.; Darer, J.; Williamson, J.D.; Anderson, G. Untangling the Concepts of Disability, Frailty, and Comorbidity: Implications for Improved Targeting and Care. J. Gerontol. Ser. A 2004, 59, M255–M263. [Google Scholar] [CrossRef]
- Romero-Ortuno, R.; Walsh, C.D.; Lawlor, B.A.; Kenny, R.A. A frailty instrument for primary care: Findings from the Survey of Health, Ageing and Retirement in Europe (SHARE). BMC Geriatr 2010, 10, 57. [Google Scholar] [CrossRef]
- Danilovich, M.K.; Diaz, L.; Corcos, D.M.; Ciolino, J.D. Relationship between SHARE-FI Frailty Scores and Physical Performance Measures in Older Adult Medicaid Recipients. Geriatrics 2018, 3, 51. [Google Scholar] [CrossRef]
- Danilovich, M.K.; Diaz, L.; Johnson, C.; Holt, E.; Ciolino, J.D. Evaluating frailty in Medicaid Home and Community-based Services clients: A feasibility and comparison study between the SHARE-FI and SPPB. Pilot Feasibility Stud. 2019, 5, 48. [Google Scholar] [CrossRef]
- Dent, E.; Martin, F.C.; Bergman, H.; Woo, J.; Romero-Ortuno, R.; Walston, J.D. Management of frailty: Opportunities, challenges, and future directions. Lancet 2019, 394, 1376–1386. [Google Scholar] [CrossRef]
- Travers, J.; Romero-Ortuno, R.; Bailey, J.; Cooney, M.-T. Delaying and reversing frailty: A systematic review of primary care interventions. Br. J. Gen. Pract. 2019, 69, e61–e69. [Google Scholar] [CrossRef]
- Knight, S.P.; Newman, L.; O’Connor, J.D.; Davis, J.; Kenny, R.A.; Romero-Ortuno, R. Associations between Neurocardiovascular Signal Entropy and Physical Frailty. Entropy 2021, 23, 4. [Google Scholar] [CrossRef] [PubMed]
- Maguire, F.; Romero-Ortuno, R.; O’Connor, J.; Reilly, R.; Knight, S.; Kenny, R. Orthostatic Cerebrovascular Response Is Altered in Frailty: Findings from The Irish Longitudinal Study on Ageing. J. Am. Geriatr. Soc. 2020, 68, S6–S7. [Google Scholar]
- Romero-Ortuno, R.; Cogan, L.; O’Shea, D.; Lawlor, B.A.; Kenny, R.A. Orthostatic haemodynamics may be impaired in frailty. Age Ageing 2011, 40, 576–583. [Google Scholar] [CrossRef]
- O’Connell, M.D.; Savva, G.M.; Finucane, C.; Romero-Ortuno, R.; Fan, C.W.; Kenny, R.A. Impairments in Hemodynamic Responses to Orthostasis Associated with Frailty: Results from The Irish Longitudinal Study on Ageing (TILDA). J. Am. Geriatr. Soc. 2018, 66, 1475–1483. [Google Scholar] [CrossRef]
- Joyce, E. Frailty and cardiovascular disease: A two-way street? Clevel. Clin. J. Med. 2018, 85, 65–68. [Google Scholar] [CrossRef]
- Pincus, S.M.; Gladstone, I.M.; Ehrenkranz, R.A. A regularity statistic for medical data analysis. J. Clin. Monit. 1991, 7, 335–345. [Google Scholar] [CrossRef]
- Richman, J.S.; Moorman, J.R. Physiological time-series analysis using approximate entropy and sample entropy. Am. J. Physiol. Heart Circ. Physiol. 2000, 278, H2039–H2049. [Google Scholar] [CrossRef] [PubMed]
- Knight, S.P.; Newman, L.; Scarlett, S.; O’Connor, J.D.; Davis, J.; De Looze, C.; Kenny, R.A.; Romero-Ortuno, R. Associations between Cardiovascular Signal Entropy and Cognitive Performance over Eight Years. Entropy 2021, 23, 1337. [Google Scholar] [CrossRef] [PubMed]
- Knight, S.P.; Ward, M.; Newman, L.; Davis, J.; Duggan, E.; Kenny, R.A.; Romero-Ortuno, R. Cardiovascular Signal Entropy Predicts All-Cause Mortality: Evidence from The Irish Longitudinal Study on Ageing (TILDA). Entropy 2022, 24, 676. [Google Scholar] [CrossRef] [PubMed]
- Knight, S.; Davis, J.; Duggan, E.; Kenny, R.; Romero-Ortuno, R. Associations between cardiovascular signal entropy and future falls, syncope, and fear of falling. Age Ageing 2022, 51 (Suppl. 3), afc218.214. [Google Scholar] [CrossRef]
- O’Donoghue, P.J.; Claffey, P.; Rice, C.; Byrne, L.; Cunningham, C.; Kenny, R.A.; Romero-Ortuno, R. Association between gait speed and the SHARE Frailty Instrument in a Falls and Syncope Clinic. Eur. Geriatr. Med. 2021, 12, 1101–1105. [Google Scholar] [CrossRef] [PubMed]
- Martínez-Cagigal, V. Sample Entropy. Available online: https://uk.mathworks.com/matlabcentral/fileexchange/69381-sample-entropy (accessed on 10 January 2020).
- Miller, M.D.; Paradis, C.F.; Houck, P.R.; Mazumdar, S.; Stack, J.A.; Rifai, A.H.; Mulsant, B.; Reynolds, C.F., 3rd. Rating chronic medical illness burden in geropsychiatric practice and research: Application of the Cumulative Illness Rating Scale. Psychiatry Res. 1992, 41, 237–248. [Google Scholar] [CrossRef]
- De Lucia, C.; Eguchi, A.; Koch, W.J. New Insights in Cardiac β-Adrenergic Signaling During Heart Failure and Aging. Front. Pharm. 2018, 9, 904. [Google Scholar] [CrossRef]
- Catai, A.; Takahashi, A.; Perseguini, N.; Milan, J.; Minatel, V.; Rehder-Santos, P.; Marchi, A.; Bari, V.; Porta, A. Effect of the Postural Challenge on the Dependence of the Cardiovascular Control Complexity on Age. Entropy 2014, 16, 6686–6704. [Google Scholar] [CrossRef]
- Buto, M.S.S.; Catai, A.M.; Vassimon-Barroso, V.; Gois, M.O.; Porta, A.; Takahashi, A.C.M. Baroreflex sensitivity in frailty syndrome. Braz. J. Med. Biol. Res. 2019, 52, e8079. [Google Scholar] [CrossRef]
- Sun, J.; Yuan, J.; Li, B. SBP Is Superior to MAP to Reflect Tissue Perfusion and Hemodynamic Abnormality Perioperatively. Front. Physiol. 2021, 12, 705558. [Google Scholar] [CrossRef]
- Ramanathan, T.; Skinner, H. Coronary blood flow. Contin. Educ. Anaesth. Crit. Care Pain 2005, 5, 61–64. [Google Scholar] [CrossRef]
- Flint, A.C.; Conell, C.; Ren, X.; Banki, N.M.; Chan, S.L.; Rao, V.A.; Melles, R.B.; Bhatt, D.L. Effect of Systolic and Diastolic Blood Pressure on Cardiovascular Outcomes. N. Engl. J. Med. 2019, 381, 243–251. [Google Scholar] [CrossRef]
- Herring, N.; Peterson, D.J.; Levick, J.R. Levick’s Introduction to Cardiovascular Physiology, 6th ed.; CRC Press: Boca Raton, FL, USA, 2018. [Google Scholar]
- Parvaneh, S.; Howe, C.L.; Toosizadeh, N.; Honarvar, B.; Slepian, M.J.; Fain, M.; Mohler, J.; Najafi, B. Regulation of Cardiac Autonomic Nervous System Control across Frailty Statuses: A Systematic Review. Gerontology 2015, 62, 3–15. [Google Scholar] [CrossRef]
- Takahashi, A.C.M.; Bonjorni, L.A.; Buto, M.S.S.; Vassimon-Barroso, V.; Minatel, V.; Rocha, S.M.A.; Ribeiro, F.H.M.; Montano, N.; Porta, A.; Catai, A.M. Short-Term Complexity of Cardiovascular Oscillations in Frailty Syndrome. In Proceedings of the 2014 8th Conference of the European Study Group on Cardiovascular Oscillations (ESGCO), Trento, Italy, 25–28 May 2014; pp. 21–22. [Google Scholar]
- Chaves, P.H.; Varadhan, R.; Lipsitz, L.A.; Stein, P.K.; Windham, B.G.; Tian, J.; Fleisher, L.A.; Guralnik, J.M.; Fried, L.P. Physiological complexity underlying heart rate dynamics and frailty status in community-dwelling older women. J. Am. Geriatr. Soc. 2008, 56, 1698–1703. [Google Scholar] [CrossRef]
- Rangasamy, V.; Henriques, T.S.; Xu, X.; Subramaniam, B. Preoperative Blood Pressure Complexity Indices as a Marker for Frailty in Patients Undergoing Cardiac Surgery. J. Cardiothorac. Vasc. Anesth. 2020, 34, 616–621. [Google Scholar] [CrossRef]
- Katayama, P.L.; Dias, D.P.; Silva, L.E.; Virtuoso-Junior, J.S.; Marocolo, M. Cardiac autonomic modulation in non-frail, pre-frail and frail elderly women: A pilot study. Aging Clin. Exp. Res. 2015, 27, 621–629. [Google Scholar] [CrossRef]

| Full-Cohort (n = 100) | Non-Frail (n = 51) | Pre-Frail (n = 30) | Frail (n = 19) | p | |
|---|---|---|---|---|---|
| SHARE-FI score | 0.98 (SD: 1.58, range: [−1.80–5.47]) | −0.23 (SD: 0.68, range: [−1.80–1.10]) | 1.53 (SD: 0.67, range: [0.36–2.79]) | 3.37 (SD: 0.98, range: [2.18–5.47]) | ≤0.001 |
| sBP SampEn | 0.20 (SD: 0.07, range: [0.04–0.35]) | 0.16 (SD: 0.08, range: [0.04–0.36]) | 0.20 (SD: 0.06, range: [0.08–0.31]) | 0.20 (SD: 0.08, range: [0.04–0.35]) | 0.730 |
| dBP SampEn | 0.18 (SD: 0.08, range: [0.04–0.45]) | 0.17 (SD: 0.07, range: [0.04–0.41]) | 0.17 (SD: 0.07, range: [0.06–0.41]) | 0.21 (SD: 0.09, range: [0.06–0.45]) | 0.035 |
| Age (years) | 69.9 (SD: 10.8, range: [50–93]) | 67.9 (SD: 10.2, range: [50–89]) | 73.2 (SD: 10.9, range: [50–93]) | 70.3 (SD: 11.4, range: [51–87]) | 0.164 |
| Sex [% (n)] Female | 55.0% (55) | 43.1% (22) | 66.7% (20) | 68.4% (13) | 0.026 |
| CIRS-G score | 6.95 (SD: 4.00, range: [0–20]) | 5.73 (SD: 3.89, range: [0–20]) | 7.50 (SD: 4.06, range: [0–14]) | 9.37 (SD: 2.93, range: [2–16]) | ≤0.001 |
| 1 or more CV diseases b [% (n)] Yes | 64% [64] | 60.8% [31] | 73.3% [22] | 57.9% [11] | 0.898 |
| CV Medication a [% (n)] Yes | 49.0% (49) | 43.1% (22) | 63.3% (19) | 42.1% (8) | 0.665 |
| Education [% (n)] Secondary/Higher | 79.0% (79) | 86.3% (44) | 73.3% (22) | 68.4% (13) | 0.071 |
| Smoking [% (n)] Current | 11.0% (11) | 8.9% (3) | 10.0% (3) | 26.3% (5) | 0.023 |
| Alcohol (units per week) | 8.20 (SD: 15.6, range: [0–100]) | 7.35 (SD: 9.51, range: [0–37]) | 8.40 (SD: 17.5, range: [0–84]) | 10.2 (SD: 24.4, range: [0–100]) | 0.228 |
| BMI (kg m−2) | 26.4 (SD: 4.76, range: [17.6–39.2]) | 26.9 (SD: 3.84, range: [18.2–38.5]) | 24.6 (SD: 4.96, range: [17.6–38.2]) | 28.0 (SD: 5.96, range: [18.5–39.2]) | 0.443 |
| Model | Measure | β | p | 95% CI |
|---|---|---|---|---|
| Model 1(a) | sBP SampEn (per 1 SD) | 0.05 | 0.734 | −0.22 to 0.32 |
| Model 1(b) | dBP SampEn (per 1 SD) | 0.43 | 0.004 | 0.14 to 0.72 |
| Model 2(a) | sBP SampEn (per 1 SD) | 0.13 | 0.305 | −0.12 to 0.38 |
| Age (per 1 year) | 0.01 | 0.608 | −0.02 to 0.04 | |
| Sex (female) | 0.19 | 0.472 | −0.33 to 0.70 | |
| CIRS-G score | 0.20 | 0.001 | 0.09 to 0.32 | |
| CV Medication a (yes) | 0.03 | 0.930 | −0.61 to 0.67 | |
| Model 2(b) | dBP SampEn (per 1 SD) | 0.38 | 0.008 | 0.10 to 0.66 |
| Age (per 1 year) | 0.01 | 0.478 | −0.02 to 0.04 | |
| Sex (female) | 0.18 | 0.482 | −0.32 to 0.68 | |
| CIRS-G score | 0.19 | 0.001 | 0.08 to 0.30 | |
| CV Medication a (yes) | 0.05 | 0.885 | −0.57 to 0.66 | |
| Model 3(a) | sBP SampEn (per 1 SD) | 0.12 | 0.365 | −0.15 to 0.39 |
| Age (per 1 year) | 0.01 | 0.553 | −0.03 to 0.05 | |
| Sex (female) | 0.18 | 0.517 | −0.37 to 0.73 | |
| CIRS-G score | 0.20 | 0.003 | 0.07 to 0.33 | |
| CV Medication a (yes) | 0.14 | 0.661 | −0.50 to 0.78 | |
| Education (ref Primary) Secondary/Tertiary | 0.05 | 0.914 | −0.78 to 0.87 | |
| Smoking (ref Never/Past) Current | 0.93 | 0.045 | 0.02 to 1.84 | |
| Alcohol (per unit per week) | −0.01 | 0.238 | −0.03 to 0.01 | |
| BMI (per 1 kg m−2) | 0.001 | 0.990 | −0.07 to 0.08 | |
| Model 3(b) | dBP SampEn (per 1 SD) | 0.39 | 0.008 | 0.11 to 0.67 |
| Age (per 1 year) | 0.01 | 0.532 | −0.02 to 0.05 | |
| Sex (female) | 0.16 | 0.545 | −0.37 to 0.69 | |
| CIRS-G score | 0.19 | 0.003 | 0.07 to 0.32 | |
| CV Medication a (yes) | 0.17 | 0.588 | −0.45 to 0.79 | |
| Education (ref Primary) Secondary/Tertiary | 0.04 | 0.930 | −0.74 to 0.81 | |
| Smoking (ref Never/Past) Current | 0.78 | 0.070 | −0.07 to 1.63 | |
| Alcohol (per unit per week) | −0.01 | 0.154 | −0.03 to 0.01 | |
| BMI (per 1 kg m−2) | −0.02 | 0.675 | −0.09 to 0.06 |
Disclaimer/Publisher’s Note: The statements, opinions and data contained in all publications are solely those of the individual author(s) and contributor(s) and not of MDPI and/or the editor(s). MDPI and/or the editor(s) disclaim responsibility for any injury to people or property resulting from any ideas, methods, instructions or products referred to in the content. |
© 2022 by the authors. Licensee MDPI, Basel, Switzerland. This article is an open access article distributed under the terms and conditions of the Creative Commons Attribution (CC BY) license (https://creativecommons.org/licenses/by/4.0/).
Share and Cite
Knight, S.P.; Duggan, E.; Romero-Ortuno, R. Blood Pressure Signal Entropy as a Novel Marker of Physical Frailty: Results from the FRAILMatics Clinical Cohort. J. Clin. Med. 2023, 12, 53. https://doi.org/10.3390/jcm12010053
Knight SP, Duggan E, Romero-Ortuno R. Blood Pressure Signal Entropy as a Novel Marker of Physical Frailty: Results from the FRAILMatics Clinical Cohort. Journal of Clinical Medicine. 2023; 12(1):53. https://doi.org/10.3390/jcm12010053
Chicago/Turabian StyleKnight, Silvin P., Eoin Duggan, and Roman Romero-Ortuno. 2023. "Blood Pressure Signal Entropy as a Novel Marker of Physical Frailty: Results from the FRAILMatics Clinical Cohort" Journal of Clinical Medicine 12, no. 1: 53. https://doi.org/10.3390/jcm12010053
APA StyleKnight, S. P., Duggan, E., & Romero-Ortuno, R. (2023). Blood Pressure Signal Entropy as a Novel Marker of Physical Frailty: Results from the FRAILMatics Clinical Cohort. Journal of Clinical Medicine, 12(1), 53. https://doi.org/10.3390/jcm12010053

