The Impact of Hip Mobility on Lumbar and Pelvic Mobility before and after Total Hip Arthroplasty
Abstract
1. Introduction
2. Materials and Methods
2.1. Patients
2.2. Data Collection and Radiographic Analysis
2.3. Statistics
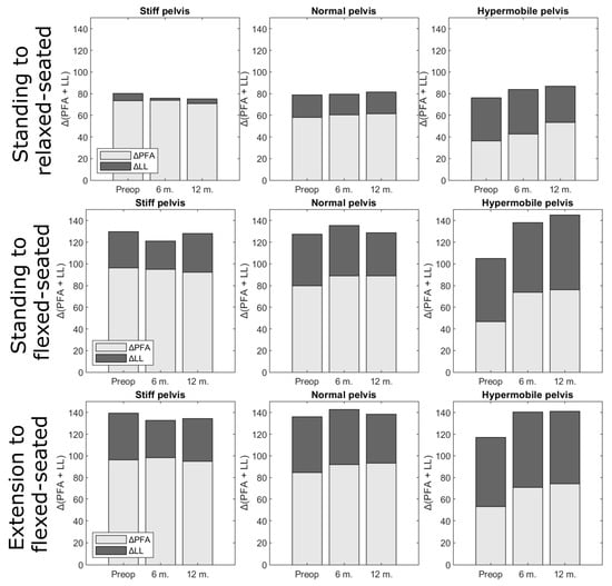
3. Results
3.1. Spinopelvic Alignment, Lumbar Mobility and Pelvic Mobility
3.2. Hip Mobility
3.3. Relationship between Pelvic Mobility, Lumbar Mobility, and Hip Mobility before and after THA
4. Discussion
5. Conclusions
Author Contributions
Funding
Institutional Review Board Statement
Informed Consent Statement
Data Availability Statement
Conflicts of Interest
References
- Ike, H.; Dorr, L.D.; Trasolini, N.; Stefl, M.; McKnight, B.; Heckmann, N. Current Concepts Review Spine-Pelvis-Hip Relationship in the Functioning of a Total Hip Replacement. J. Bone Jt. Surg.—Am. Vol. 2018, 100, 1606–1615. [Google Scholar] [CrossRef] [PubMed]
- Esposito, C.I.; Miller, T.T.; Kim, H.J.; Barlow, B.T.; Wright, T.M.; Padgett, D.E.; Jerabek, S.A.; Mayman, D.J. Does Degenerative Lumbar Spine Disease Influence Femoroacetabular Flexion in Patients Undergoing Total Hip Arthroplasty? Clin. Orthop. Relat. Res. 2016, 474, 1788–1797. [Google Scholar] [CrossRef] [PubMed]
- Moritz, M. Innmann Spinopelvic Characteristics Normalize 1 Year After Total Hip Arthroplasty. JBJS Am. 2022, 22, 303–310. [Google Scholar]
- Vergari, C.; Kim, Y.; Takemoto, M.; Shimizu, Y.; Tanaka, C.; Fukae, S. Sagittal Alignment in Patients with Flexion Contracture of the Hip before and after Total Hip Arthroplasty. Arch. Orthop. Trauma Surg. 2022. Online ahead of print. [Google Scholar] [CrossRef] [PubMed]
- Stefl, M.; Lundergan, W.; Heckmann, N.; McKnight, B.; Ike, H.; Murgai, R.; Dorr, L.D. Hip Arthroplasty: Avoiding and Managing Problems Spinopelvic Mobility and Acetabular Component Position for Total Hip Arthroplasty. Bone Jt. J. 2017, 99, 37–45. [Google Scholar] [CrossRef]
- Esposito, C.I. Cup Position Alone Does Not Predict Risk of Dislocation after Hip Arthroplasty. J Arthroplast. 2015, 30, 109–113. [Google Scholar] [CrossRef]
- Kim, Y.; Vergari, C.; Girinon, F.; Lazennec, J.Y.; Skalli, W. Stand-to-Sit Kinematics of the Pelvis Is Not Always as Expected: Hip and Spine Pathologies Can Have an Impact. J. Arthroplast. 2019, 34, 2118–2123. [Google Scholar] [CrossRef] [PubMed]
- Vigdorchik, J.M.; Sharma, A.K.; Dennis, D.A.; Walter, L.R.; Pierrepont, J.W.; Shimmin, A.J. The Majority of Total Hip Arthroplasty Patients With a Stiff Spine Do Not Have an Instrumented Fusion. J. Arthroplast. 2020, 35, S252–S254. [Google Scholar] [CrossRef] [PubMed]
- Lazennec, J.Y.; Clark, I.C.; Folinais, D.; Tahar, I.N.; Pour, A.E. What Is the Impact of a Spinal Fusion on Acetabular Implant Orientation in Functional Standing and Sitting Positions? J. Arthroplast. 2017, 32, 3184–3190. [Google Scholar] [CrossRef]
- van der Gronde, B.A.T.D.; Schlösser, T.P.C.; van Erp, J.H.J.; Snijders, T.E.; Castelein, R.M.; Weinans, H.; de Gast, A. Current Evidence for Spinopelvic Characteristics Influencing Total Hip Arthroplasty Dislocation Risk. JBJS Rev. 2022, 10, 1–11. [Google Scholar] [CrossRef]
- Heckmann, N.; Mcknight, B.; Ste, M.; Trasolini, N.A.; Ike, H.; Stefl, M.; Trasolini, N.A.; Ike, H.; Dorr, L.D. Late Dislocation Following Total Hip Arthroplasty. J. Bone Jt. Surg.—Am. Vol. 2018, 100, 1845–1853. [Google Scholar] [CrossRef] [PubMed]
- Kim, Y.; Pour, A.E.; Lazennec, J.Y. How Do Global Sagittal Alignment and Posture Change after Total Hip Arthroplasty? Int. Orthop. 2019, 44, 267–273. [Google Scholar] [CrossRef] [PubMed]
- Lin, Y.H.; Lin, Y.T.; Chen, K.H.; Pan, C.C.; Shih, C.M.; Lee, C.H. Paradoxical Spinopelvic Motion: Does Global Balance Influence Spinopelvic Motion in Total Hip Arthroplasty? BMC Musculoskelet. Disord. 2021, 22, 947. [Google Scholar] [CrossRef] [PubMed]
- Haffer, H.; Wang, Z.; Hu, Z.; Hipfl, C.; Perka, C.; Pumberger, M. Total Hip Replacement Influences Spinopelvic Mobility: A Prospective Observational Study. J. Arthroplast. 2022, 37, 316–324.e2. [Google Scholar] [CrossRef]
- Yun, H.H.; Kim, Y.B.; Joo, H.J.; Koh, Y.Y. Does Spinopelvic Motion Change after Total Hip Arthroplasty? Int. Orthop. 2022, 46, 2181–2187. [Google Scholar] [CrossRef]
- Innmann, M.M.; Merle, C.; Phan, P.; Beaulé, P.E.; Grammatopoulos, G. Differences in Spinopelvic Characteristics Between Hip Osteoarthritis Patients and Controls. J. Arthroplast. 2021, 36, 2808–2816. [Google Scholar] [CrossRef]
- Legaye, J.; Duval-Beaupère, G.; Hecquet, J.; Marty, C. Pelvic Incidence: A Fundamental Pelvic Parameter for Three-Dimensional Regulation of Spinal Sagittal Curves. Eur. Spine J. 1998, 7, 99–103. [Google Scholar] [CrossRef]
- Schwab, F.J.; Blondel, B.; Bess, S.; Hostin, R.; Shaffrey, C.I.; Smith, J.S.; Boachie-Adjei, O.; Burton, D.C.; Akbarnia, B.A.; Mundis, G.M.; et al. Radiographical Spinopelvic Parameters and Disability in the Setting of Adult Spinal Deformity: A Prospective Multicenter Analysis. Spine 2013, 38, E803-12. [Google Scholar] [CrossRef]
- Erdfelder, E.; Faul, F.; Buchner, A. GPOWER: A General Power Analysis Program. Behav. Res. Methods Instrum. Comput. 1996, 28, 1–11. [Google Scholar] [CrossRef]
- Kanawade, V.; Dorr, L.D.; Wan, Z. Predictability of Acetabular Component Angular Change with Postural Shift from Standing to Sitting Position. JBJS 2014, 96, 978–986. [Google Scholar] [CrossRef]
- Vigdorchik, J.M.; Sharma, A.K.; Madurawe, C.S.; Pierrepont, J.W.; Dennis, D.A.; Shimmin, A.J. Prevalence of Risk Factors for Adverse Spinopelvic Mobility Among Patients Undergoing Total Hip Arthroplasty. J. Arthroplast. 2021, 36, 2371–2378. [Google Scholar] [CrossRef] [PubMed]
- Esposito, C.I.; Carroll, K.M.; Sculco, P.K.; Padgett, D.E.; Jerabek, S.A.; Mayman, D.J. Total Hip Arthroplasty Patients With Fixed Spinopelvic Alignment Are at Higher Risk of Hip Dislocation. J. Arthroplast. 2018, 33, 1449–1454. [Google Scholar] [CrossRef] [PubMed]
- Phan, D.; Bederman, S.S.; Schwarzkopf, R. The Influence of Sagittal Spinal Deformity on Anteversion of the Acetabular Component in Total Hip Arthroplasty. Bone Jt. J. 2015, 97, 1017–1023. [Google Scholar] [CrossRef] [PubMed]
- Ochi, H.; Homma, Y.; Baba, T.; Nojiri, H.; Matsumoto, M.; Kaneko, K. Sagittal Spinopelvic Alignment Predicts Hip Function after Total Hip Arthroplasty. Gait Posture 2017, 52, 293–300. [Google Scholar] [CrossRef] [PubMed]
- Sculco, P.K.; Windsor, E.N.; Jerabek, S.A.; Mayman, D.J.; Elbuluk, A.; Buckland, A.J.; Vigdorchik, J.M. Preoperative Spinopelvic Hypermobility Resolves Following Total Hip Arthroplasty. Bone Jt. J. 2021, 103, 1766–1773. [Google Scholar] [CrossRef]
- Sharma, A.K.; Grammatopoulos, G.; Pierrepont, J.W.; Madurawe, C.S.; Innmann, M.M.; Vigdorchik, J.M.; Shimmin, A.J. Sacral Slope Change From Standing to Relaxed-Seated Grossly Overpredicts the Presence of a Stiff Spine. J. Arthroplast. 2022, in press. [Google Scholar] [CrossRef]





| Cohort | |
|---|---|
| Number | 165 |
| Female/male | 137/28 |
| Age | 70.0 [63.4; 76.0] |
| Body mass index | 23.5 [21.2; 25.8] |
| Pelvic incidence | 46.3 [38.3; 54.8] |
| Position | Preop. | 6 m Postop. | 12 m Postop. | p (Preop. vs. 6 m) | p (Preop. vs. 12 m) | p (6 m vs. 12 m) | |
|---|---|---|---|---|---|---|---|
| LL [°] | Standing | 42 [30; 52] | 42 [29; 54] | 43 [31; 54] | 0.662 | 0.974 | 0.793 |
| Extension | 48 [37; 57] | 47 [35; 56] | 48 [37; 57] | 0.021 | 0.021 | p < 0.001 | |
| Relaxed-seated | 20 [7; 34] | 24 [12; 37] | 25 [14; 36] | 0.039 | 0.032 | 0.997 | |
| Flexed-seated | −5 [−14; 6] | −3 [−15; 8] | −1 [−11; 9] | 0.294 | p < 0.001 | 0.039 | |
| SS [°] | Standing | 32 [25; 41] | 33 [25; 40] | 33 [25; 41] | 0.491 | 0.714 | 0.933 |
| Extension | 28 [20; 36] | 26 [19; 34] | 28 [19; 35] | 0.221 | 0.356 | 0.955 | |
| Relaxed-seated | 15 [6; 24] | 16 [8; 24] | 17 [11; 25] | 0.148 | 0.022 | 0.709 | |
| Flexed-seated | 39 [26; 51] | 47 [33; 5] | 49 [37; 59] | 0.014 | p < 0.001 | p < 0.001 | |
| PT [°] | Standing | 14 [9; 21] | 15 [10; 22] | 15 [10; 20] | 0.753 | 0.441 | 0.870 |
| Extension | 19 [12; 26] | 19 [14; 27] | 20 [16; 26] | 0.997 | 0.473 | 0.430 | |
| Relaxed-seated | 32 [24; 44] | 31 [23; 40] | 31 [24; 37] | 0.214 | 0.001 | 0.140 | |
| Flexed-seated | 10 [−2; 26] | 5 [−5; 15] | 2 [−7; 13] | 0.009 | p < 0.001 | p < 0.001 | |
| PFA [°] | Standing | −3 [−12; 4] | −5 [−13; 0] | −5 [−11; 0] | 0.032 | 0.067 | 0.956 |
| Extension | −8 [−15; −1] | −9 [−16; −2] | −9 [−14; −3] | 0.590 | 0.122 | 0.590 | |
| Relaxed-seated | 57 [45; 66] | 57 [48; 67] | 59 [52; 66] | 0.177 | 0.011 | 0.507 | |
| Flexed-seated | 80 [61; 91] | 83 [70; 92] | 85 [75; 94] | 0.047 | p < 0.001 | p < 0.001 | |
| PI [°] | Standing | 46 [38; 55] | 46 [39; 56] | 46 [39; 57] | 0.224 | 0.753 | 0.619 |
| PI-LL [°] | Standing | 6 [−2; 16] | 7 [−2; 19] | 7 [−2; 18] | 0.997 | 0.348 | 0.311 |
| Extension | 0 [−8; 11] | 2 [−7; 10] | 1 [−7; 11] | 0.546 | 0.328 | 0.926 | |
| Relaxed-seated | 29 [16; 43] | 24 [16; 36] | 25 [16; 34] | 0.014 | 0.004 | 0.915 | |
| Flexed-seated | 55 [47; 63] | 54 [44; 61] | 52 [43; 61] | 0.016 | p < 0.001 | 0.167 | |
| PI-LL mismatch (%) | Standing | 38 | 44 | 38 | |||
| Extension | 26 | 24 | 28 | ||||
| Relaxed-seated | 89 | 85 | 87 | ||||
| Flexed-seated | 99 | 100 | 100 |
| Position | Preop. | 6 m Postop. | 12 m Postop. | p (Preop. vs. 6 m) | p (Preop. vs. 12 m) | p (6 m vs. 12 m) | |
|---|---|---|---|---|---|---|---|
| ΔLL [°] | Standing to relaxed-seated | −19 [−32; −9] | −15 [−25; −5] | −16 [−26; −6] | 0.102 | 0.145 | 0.985 |
| Standing to flexed-seated | −46 [−56; −33] | −44 [−54; −29] | −39 [−52; −32] | 0.645 | p < 0.001 | 0.006 | |
| Extension to flexed-seated | −51 [−63; −40] | −47 [−58; −35] | −44 [−59; −35] | 0.028 | p < 0.001 | 0.258 | |
| ΔSS [°] | Standing to relaxed-seated | −17 [−25; −9] | −14 [−22; −7] | −14 [−21; −6] | 0.050 | p < 0.001 | 0.426 |
| Standing to flexed-seated | 7 [−7; 20] | 13 [2; 24] | 17 [6; 27] | 0.053 | p < 0.001 | p < 0.001 | |
| Extension to flexed-seated | 12 [−2; 23] | 18 [10; 27] | 21 [10; 32] | 0.012 | p < 0.001 | 0.003 | |
| ΔPT [°] | Standing to relaxed-seated | 18 [10; 28] | 16 [9; 23] | 14 [9; 21] | 0.364 | 0.002 | 0.104 |
| Standing to flexed-seated | −5 [−17; 10] | −11 [−21; −2] | −13 [−24; −4] | 0.146 | p < 0.001 | p < 0.001 | |
| Extension to flexed-seated | −8 [−22; 5] | −14 [−24; −4] | −17 [−26; −7] | 0.122 | p < 0.001 | 0.001 | |
| ΔPFA [°] | Standing to relaxed-seated | 59 [48; 72] | 63 [56; 72] | 64 [58; 73] | 0.137 | p < 0.001 | 0.083 |
| Standing to flexed-seated | 82 [64; 96] | 89 [78; 97] | 91 [81; 98] | 0.122 | p < 0.001 | 0.003 | |
| Extension to flexed-seated | 86 [67; 99] | 91 [80; 101] | 94 [84; 103] | 0.059 | p < 0.001 | 0.059 |
| Mobile Type | Preop. | 6 m Postop. | 12 m Postop. | Differences between Stages |
|---|---|---|---|---|
| Pelvic mobility | ||||
| Stiff (ΔSS ≥ −10°) | 29% | 30% | 36% | |
| Normal (−10° > ΔSS > −30°) | 55% | 61% | 60% | |
| Hypermobile (ΔSS ≤ −30°) | 16% | 9% | 4% | Preop. vs. 6 m; Preop. vs. 12 m |
| Differences between groups | Stiff vs. Hyper; Normal vs. Hyper | Normal vs. Hyper | Normal vs. Hyper | |
| Lumbar mobility | ||||
| Stiff (ΔLL > −20°) | 6% | 10% | 8% | |
| Flexible (−20° ≥ ΔLL ≥ −40°) | 32% | 31% | 47% | |
| Hypermobile (ΔLL < −40°) | 62% | 59% | 45% | Preop. vs. 12 m; 6 m vs. 12 m |
| Differences between groups | Stiff vs. Flexible; Stiff vs. Hyper | Stiff vs. Flexible; Stiff vs. Hyper | Stiff vs. Flexible; Stiff vs. Hyper; Flexible vs. Hyper |
Disclaimer/Publisher’s Note: The statements, opinions and data contained in all publications are solely those of the individual author(s) and contributor(s) and not of MDPI and/or the editor(s). MDPI and/or the editor(s) disclaim responsibility for any injury to people or property resulting from any ideas, methods, instructions or products referred to in the content. |
© 2022 by the authors. Licensee MDPI, Basel, Switzerland. This article is an open access article distributed under the terms and conditions of the Creative Commons Attribution (CC BY) license (https://creativecommons.org/licenses/by/4.0/).
Share and Cite
Kim, Y.; Vergari, C.; Shimizu, Y.; Tokuyasu, H.; Takemoto, M. The Impact of Hip Mobility on Lumbar and Pelvic Mobility before and after Total Hip Arthroplasty. J. Clin. Med. 2023, 12, 331. https://doi.org/10.3390/jcm12010331
Kim Y, Vergari C, Shimizu Y, Tokuyasu H, Takemoto M. The Impact of Hip Mobility on Lumbar and Pelvic Mobility before and after Total Hip Arthroplasty. Journal of Clinical Medicine. 2023; 12(1):331. https://doi.org/10.3390/jcm12010331
Chicago/Turabian StyleKim, Youngwoo, Claudio Vergari, Yu Shimizu, Hiroyuki Tokuyasu, and Mitsuru Takemoto. 2023. "The Impact of Hip Mobility on Lumbar and Pelvic Mobility before and after Total Hip Arthroplasty" Journal of Clinical Medicine 12, no. 1: 331. https://doi.org/10.3390/jcm12010331
APA StyleKim, Y., Vergari, C., Shimizu, Y., Tokuyasu, H., & Takemoto, M. (2023). The Impact of Hip Mobility on Lumbar and Pelvic Mobility before and after Total Hip Arthroplasty. Journal of Clinical Medicine, 12(1), 331. https://doi.org/10.3390/jcm12010331

