90-Day Patient-Centered Outcomes after Totally Endoscopic Cardiac Surgery: A Prospective Cohort Study
Abstract
1. Introduction
2. Materials and Methods
2.1. Study Design
2.2. Surgical Techniques
2.3. Quality of Life
2.4. Statistical Analysis
3. Results
3.1. Demographics
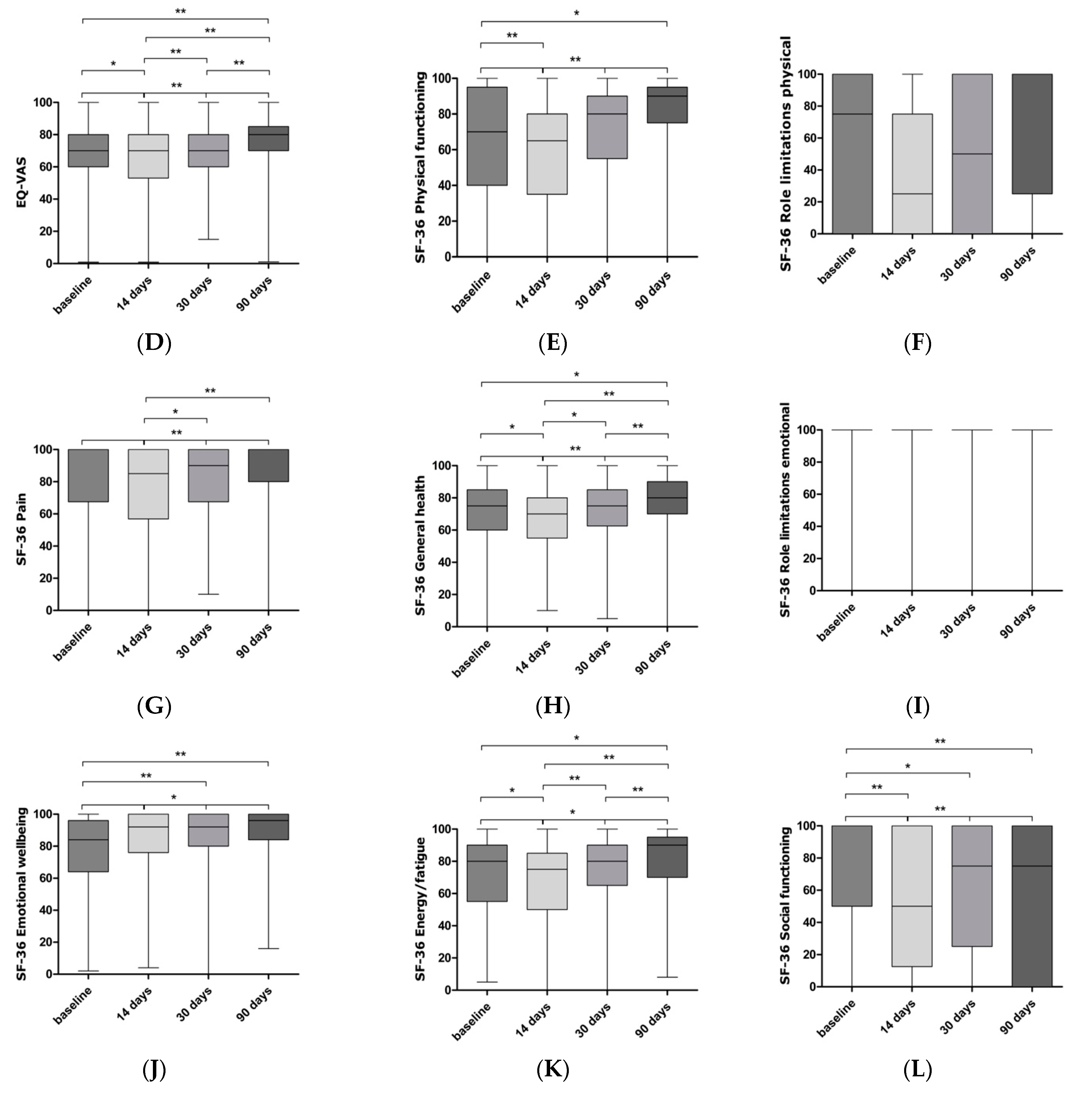
3.2. Quality of Life
3.3. Perioperative Clinical Outcomes
3.4. Predictors of QoR
4. Discussion
4.1. Overall HRQL
4.2. Physical Health
4.3. Mental Health
4.4. Predictors of Recovery
4.5. Clinical Outcomes
4.6. Limitations
5. Conclusions
Supplementary Materials
Author Contributions
Funding
Institutional Review Board Statement
Informed Consent Statement
Data Availability Statement
Conflicts of Interest
References
- Reser, D.; Caliskan, E.; Tolboom, H.; Guidotti, A.; Maisano, F. Median sternotomy. Multimed. Man. Cardiothorac. Surg. 2015, 2015. [Google Scholar] [CrossRef] [PubMed]
- Van Gulik, L.; Janssen, L.I.; Ahlers, S.J.; Bruins, P.; Driessen, A.H.; van Boven, W.J.; van Dongen, E.P.; Knibbe, C.A. Risk factors for chronic thoracic pain after cardiac surgery via sternotomy. Eur. J. Cardiothorac. Surg. 2011, 40, 1309–1313. [Google Scholar] [CrossRef] [PubMed]
- Massetti, M.; Nataf, P.; Babatasi, G.; Khayat, A. Cosmetic aspects in minimally invasive cardiac surgery. Eur. J. Cardiothorac. Surg. 1999, 16 (Suppl. S2), S73–S75. [Google Scholar] [PubMed]
- Yilmaz, A.; Robic, B.; Starinieri, P.; Polus, F.; Stinkens, R.; Stessel, B. A new viewpoint on endoscopic CABG: Technique description and clinical experience. J. Cardiol. 2020, 75, 614–620. [Google Scholar] [CrossRef]
- Diegeler, A.; Börgermann, J.; Kappert, U.; Breuer, M.; Böning, A.; Ursulescu, A.; Rastan, A.; Holzhey, D.; Treede, H.; Rieß, F.C.; et al. Off-pump versus on-pump coronary-artery bypass grafting in elderly patients. N. Engl. J. Med. 2013, 368, 1189–1198. [Google Scholar] [CrossRef]
- Van Praet, K.M.; van Kampen, A.; Kofler, M.; Richter, G.; Sündermann, S.H.; Meyer, A.; Unbehaun, A.; Kurz, S.; Jacobs, S.; Falk, V.; et al. Minimally invasive surgical aortic valve replacement: The RALT approach. J. Card. Surg. 2020, 35, 2341–2346. [Google Scholar] [CrossRef]
- Meyer, A.; van Kampen, A.; Kiefer, P.; Sündermann, S.; Van Praet, K.M.; Borger, M.A.; Falk, V.; Kempfert, J. Minithoracotomy versus full sternotomy for isolated aortic valve replacement: Propensity matched data from two centers. J. Card. Surg. 2021, 36, 97–104. [Google Scholar] [CrossRef]
- Bonacchi, M.; Dokollari, A.; Parise, O.; Sani, G.; Prifti, E.; Bisleri, G.; Gelsomino, S. Ministernotomy compared with right anterior minithoracotomy for aortic valve surgery. J. Thorac. Cardiovasc. Surg. 2021. [Google Scholar] [CrossRef]
- Ribeiro, I.B.; Ruel, M. Right Anterior Minithoracotomy for Aortic Valve Replacement: A Widely Applicable, Simple, and Stepwise Approach. Innovations 2019, 14, 321–329. [Google Scholar] [CrossRef]
- Vola, M.; Fuzellier, J.F.; Chavent, B.; Duprey, A. First human totally endoscopic aortic valve replacement: An early report. J. Thorac. Cardiovasc Surg. 2014, 147, 1091–1093. [Google Scholar] [CrossRef][Green Version]
- Webb, J.G.; Altwegg, L.; Masson, J.B.; Al Bugami, S.; Al Ali, A.; Boone, R.A. A new transcatheter aortic valve and percutaneous valve delivery system. J. Am. Coll. Cardiol. 2009, 53, 1855–1858. [Google Scholar] [CrossRef] [PubMed]
- Mohr, F.W.; Falk, V.; Diegeler, A.; Walther, T.; van Son, J.A.; Autschbach, R. Minimally invasive port-access mitral valve surgery. J. Thorac. Cardiovasc. Surg. 1998, 115, 567–574. [Google Scholar] [CrossRef]
- Jiang, Q.; Yu, T.; Huang, K.; Liu, L.; Zhang, X.; Hu, S. Feasibility, safety, and short-term outcome of totally thoracoscopic mitral valve procedure. J. Cardiothorac. Surg. 2018, 13, 133. [Google Scholar] [CrossRef] [PubMed]
- Anja Desomer Kvdh, M.T.; Paget, J.; de Boer, D.; Kohn, L.; Cleemput, I. Use of Patient-Reported Outcome and Experience Measures in Patient Care and Policy; KCE: Brussel, Belgium, 2018. [Google Scholar]
- Wray, J.; Al-Ruzzeh, S.; Mazrani, W.; Nakamura, K.; George, S.; Ilsley, C.; Amrani, M. Quality of life and coping following minimally invasive direct coronary artery bypass (MIDCAB) surgery. Qual. Life Res. 2004, 13, 915–924. [Google Scholar] [CrossRef]
- Tran, T.T.; Kaneva, P.; Mayo, N.E.; Fried, G.M.; Feldman, L.S. Short-stay surgery: What really happens after discharge? Surgery 2014, 156, 20–27. [Google Scholar] [CrossRef]
- Bue Bjorner, J. SF Health Surveys 2020. 2020. Available online: https://www.optum.com/solutions/life-sciences/answer-research/patient-insights/sf-health-surveys.html?s=PPC&pstc=optum:ppc:LS_4.1_2018:g:ls:Frm:18wd1fk01rr23&ppcid=sf%2036&adid=247796573515&adgroupid=51056682455&campaignid=1036340767&o=optum:ppc:LS_4.1_2018:frm:ls:Frm:18wd1fk01rr23&gclid=CjwKCAjwxaXtBRBbEiwAPqPxcNMLB8IAfj-0M16UxeZ_MAVi2XagBIXmZdpO0iSvelquf-cAcqtyOBoC2SMQAvD_BwE (accessed on 20 December 2021).
- ER., F. EQ-5D® Is a Standardized Instrument for Use as a Measure of Health Outcome. 2019. Available online: https://euroqol.org (accessed on 20 December 2021).
- Brattwall, M.; Warrén Stomberg, M.; Rawal, N.; Segerdahl, M.; Jakobsson, J.; Houltz, E. Patients’ assessment of 4-week recovery after ambulatory surgery. Acta Anaesthesiol. Scand. 2011, 55, 92–98. [Google Scholar] [CrossRef]
- Stessel, B.; Hendrickx, M.; Pelckmans, C.; De Wachter, G.; Appeltans, B.; Braeken, G.; Herbots, J.; Joosten, E.; Van de Velde, M.; Buhre, W. One-month recovery profile and prevalence and predictors of quality of recovery after painful day case surgery: Secondary analysis of a randomized controlled trial. PLoS ONE 2021, 16, e0245774. [Google Scholar] [CrossRef]
- Stessel, B.; Fiddelers, A.A.; Joosten, E.A.; Hoofwijk, D.M.N.; Gramke, H.-F.; Buhre, W.F.F.A. Prevalence and Predictors of Quality of Recovery at Home After Day Surgery. Medicine 2015, 94, e1553. [Google Scholar] [CrossRef]
- Bonaros, N.; Schachner, T.; Wiedemann, D.; Oehlinger, A.; Ruetzler, E.; Feuchtner, G.; Kolbitsch, C.; Velik-Salchner, C.; Friedrich, G.; Pachinger, O.; et al. Quality of life improvement after robotically assisted coronary artery bypass grafting. Cardiology 2009, 114, 59–66. [Google Scholar] [CrossRef]
- Nasso, G.; Bonifazi, R.; Romano, V.; Bartolomucci, F.; Rosano, G.; Massari, F.; Fattouch, K.; Del Prete, G.; Riccioni, G.; Del Giglio, M.; et al. Three-year results of repaired Barlow mitral valves via right minithoracotomy versus median sternotomy in a randomized trial. Cardiology 2014, 128, 97–105. [Google Scholar] [CrossRef]
- Ferrari, R.; Vidotto, G.; Muzzolon, C.; Auriemma, S.; Salvador, L. Neurocognitive deficit and quality of life after mitral valve repair. J. Heart Valve Dis. 2014, 23, 72–78. [Google Scholar] [PubMed]
- Gaudino, M.; Rahouma, M.; Di Mauro, M.; Yanagawa, B.; Abouarab, A.; Demetres, M.; Di Franco, A.; Arisha, M.J.; Ibrahim, D.A.; Baudo, M.; et al. Early Versus Delayed Stroke After Cardiac Surgery: A Systematic Review and Meta-Analysis. J. Am. Heart Assoc. 2019, 8, e012447. [Google Scholar] [CrossRef] [PubMed]
- Portahealth. Federal Public Service Health Food Chain Safety and Environment. 4 April 2020. Available online: https://www.health.belgium.be/nl/gezondheid (accessed on 20 December 2021).
- Yilmaz, A.; Rehman, A.; Sonker, U.; Kloppenburg, G.T. Minimal access aortic valve replacement using a minimal extracorporeal circulatory system. Ann. Thorac. Surg. 2009, 87, 720–725. [Google Scholar] [CrossRef] [PubMed]
- Stoliński, J.; Plicner, D.; Grudzień, G.; Wąsowicz, M.; Musiał, R.; Andres, J.; Kapelak, B. A comparison of minimally invasive and standard aortic valve replacement. J. Thorac. Cardiovasc. Surg. 2016, 152, 1030–1039. [Google Scholar] [CrossRef] [PubMed]
- Reser, D.; Hemelrijck, M.; Pavicevic, J.; Tolboom, H.; Holubec, T.; Falk, V.; Jacobs, S. Mid-Term Outcomes of Minimally Invasive Direct Coronary Artery Bypass Grafting. Thorac. Cardiovasc. Surg. 2015, 63, 313–318. [Google Scholar] [CrossRef] [PubMed]
- Raffa, G.M.; Malvindi, P.G.; Ornaghi, D.; Citterio, E.; Cappai, A.; Basciu, A.; Barbone, A.; Fossati, F.; Tarelli, G.; Settepani, F. Minimally invasive direct coronary artery bypass in the era of percutaneous coronary intervention. J. Cardiovasc. Med. 2015, 16, 118–124. [Google Scholar] [CrossRef]
- McCambridge, J.; Witton, J.; Elbourne, D.R. Systematic review of the Hawthorne effect: New concepts are needed to study research participation effects. J. Clin. Epidemiol. 2014, 67, 267–277. [Google Scholar] [CrossRef]
- Hobart, J.C.; Williams, L.S.; Moran, K.; Thompson, A.J. Quality of life measurement after stroke: Uses and abuses of the SF-36. Stroke 2002, 33, 1348–1356. [Google Scholar] [CrossRef]





| TECS (n = 193) | Endo-CABG (n = 99) | Open CABG (n = 8) | p-Value | Yil-AVR (n = 57) | TAVI (n = 8) | p-Value | MVATS (n = 16) | Combination (n = 23) | |
|---|---|---|---|---|---|---|---|---|---|
| Age (years) | 70 (62–77) | 67 (61.5–73.5) | 70 (68–75.5) | 0.441 | 73 (65–76) | 85.5 (77.75–87.75) | <0.001 | 72.5 (64.75–80.25) | 75 (69–78) |
| BMI (kg/m2) | 26.87 (25–29.75) | 26.73 (25.09–29.61) | 27.84 (22.66–29.43) | 0.859 | 27.04 (23.99–30.85) | 26.04 (24.47–26.91) | 0.259 | 26. 11(22.86–28.1) | 27.59 (26.02–30.93) |
| Euroscore II (%) | 1.55 (1.04–2.62) | 1.29 (0.93–2.17) | 3.54 (1.90–4.55) | 0.021 | 1.37 (1.04–2.31) | - | - | 2.25 (1.93–3.35) | 2.69 (2.01–6.04) |
| Gender (male) | 146 (75.65) | 86 (86.87) | 6 (75) | 0.352 | 33 (57.89) | 5 (62.50) | 0.805 | 13 (81.25) | 15 (65.22) |
| Smoking | 0.277 | 0.146 | |||||||
| Active | 42 (21.76) | 24 (24.24) | 4 (50) | 11 (19.3) | 0 (0) | 5 (31.25) | 3 (13.04) | ||
| Stopped | 38 (19.69) | 22 (22.22) | 1 (12.50) | 8 (14.04) | 3 (37.50) | 1 (6.25) | 7 (30.43) | ||
| DiM | 0.840 | 0.480 | |||||||
| Type I | 4 (2.07) | 3 (3.03) | 0 (0) | 1 (1.75) | 0 (0) | 0 (0) | 0 (0) | ||
| Type II | 44 (22.8) | 29 (29.29) | 2 (25) | 6 (10.53) | 2 (25) | 3 (18.75) | 7 (30.43) | ||
| AHT | 130 (67.36) | 70 (70.7) | 7 (87.5) | 0.309 | 35 (61.40) | 5 (62.50) | 0.952 | 7 (43.75) | 20 (86.96) |
| Profession | 0.799 | 0.068 | |||||||
| Independent contractor | 11 (5.7) | 7 (7.07) | 0 (0) | 4 (7.02) | 0 (0) | 0 (0) | 0 (0) | ||
| Employed | 18 (9.33) | 9 (9.09) | 1 (12.5) | 6 (10.53) | 0 (0) | 2 (12.5) | 1 (4.35) | ||
| Volunteer | 0 (0) | 0 (0) | 0 (0) | 0 (0) | 0 (0) | 0 (0) | 0 (0) | ||
| Unemployed | 5 (2.59) | 2 (2.02) | 0 (0) | 0 (0) | 0 (0) | 2 (12.50) | 1 (4.35) | ||
| Incapacity of work | 11 (5.7) | 8 (8.08) | 0 (0) | 1 (1.75) | 0 (0) | 1 (6.25) | 1 (4.35) | ||
| Retired | 148 (76.68) | 73 (73.73) | 7 (87.5) | 46 (80.70) | 8 (100) | 11 (68.75) | 20 (86.96) | ||
| Education | 0.696 | 0.067 | |||||||
| Elementary | 20 (10.36) | 12 (12.12) | 1 (12.5) | 5 (8.77) | 3 (37.50) | 1 (6.25) | 2 (8.70) | ||
| Middle school | 28 (14.51) | 12 (12.12) | 1 (12.5) | 8 (14.04) | 0 (0) | 4 (25) | 5 (21.74) | ||
| High school | 91 (47.15) | 44 (44.44) | 2 (25) | 30 (52.63) | 4 (50) | 6 (37.5) | 22 (47.83) | ||
| Higher education | 35 (18.13) | 22 (22.22) | 2 (25) | 8 (14.04) | 0 (0) | 4 (25) | 1 (4.35) | ||
| University | 17 (8.81) | 8 (8.08) | 2 (25) | 5 (8.77) | 0 (0) | 1 (6.25) | 4 (17.39) | ||
| PhD | 2 (1.04) | 1 (1.01) | 0 (0) | 1 (1.75) | 1 (12.50) | 0 (0) | 0 (0) |
| TECS (n = 193) | Endo-CABG (n = 99) | Open CABG (n = 8) | Yil-AVR (n = 57) | TAVI (n = 8) | MVATS (n = 16) | Combination (n = 23) | |
|---|---|---|---|---|---|---|---|
| CPB time (min) | 93.50 (71–177) | 78 (58–109) | 98.5 (91–118) | 94 (79–112) | - | 95 ( 86–111) | 149 (115–162) |
| Clamping time (min) | 59 (42–75) | 50 (32–62.75) | 77 (69–98) | 62 (55–77) | - | 63.50 (49–74) | 100 (81–120) |
| Number of grafts | - | 2 (2–3) | 3.50 (2.75–4.00) | - | - | - | - |
| Ventilation time (h) | 4 (3–7) | 5 (3–7.50) | 5.38 (4.88–8.38) | 3.25 (2–5) | - | 4 (2.13–6.25) | 6 (5–22.69) |
| ICU LOS (h) | 42 (23–68) | 42.50 (23–67.50) | 69.50 (42–78) | 27 (23–53) | 23.50 (20–24) | 24 (22–61) | 65.50 (39–141) |
| Hospital LOS (days) | 5 (4–7) | 5 (4–6) | 6 (4–8) | 5 (3–6.25) | 3 (2–4.25) | 5.50 (4–7.75) | 6 (5–10) |
| Bleeding 24 h (mL) | 300 (183.8–600) | 335 (187.5–693.8) | 700 (557.5–882.5) | 235 (160–300) | - | 280 (132.5–405) | 280 (175–538.8) |
| Early revision | 10 (5.21) | 6 (6.06) | 0 (0) | 2 (3.51) | 1 (12.50) | 1 (6.67) | 1 (4.35) |
| Late revision | 4 (2.08) | 1 (1.01) | 0 (0) | 0 (0) | 0 (0) | 1 (6.67) | 2 (8.70) |
| Neurological | |||||||
| CVA | 2 (1.04) | 1 (1.01) | 0 (0) | 1 (1.75) | 0 (0) | 0 (0) | 0 (0) |
| TIA | 2 (1.04) | 2 (2.02) | 0 (0) | 0 (0) | 0 (0) | 0 (0) | 0 (0) |
| Epilepsy | 1 (0.52) | 0 (0) | 0 (0) | 0 (0) | 0 (0) | 0 (0) | 1 (4.35) |
| Delirium | 1 (0.52) | 0 (0) | 0 (0) | 1 (1.75) | 0 (0) | 0 (0) | 0 (0) |
| Mortality | 8 (4.17) | 1 (1.01) | 0 (0) | 2 (3.51) | 0 (0) | 0 (0) | 5 (21.74) |
| 30-day mortality | 5 (2.59) | 0 (0) | 0 (0) | 1 (1.75) | 0 (0) | 0 (0) | 4 (17.39)) |
| Coefficient | SE | OR | 95% CI | p-Value | |
|---|---|---|---|---|---|
| A. Univariate factors correlated with 30-day recovery | |||||
| Age | −0.040 | 0.018 | 0.960 | 0.928–0.994 | 0.021 |
| CPB time | −0.009 | 0.004 | 0.991 | 0.983–0.999 | 0.022 |
| AHT | −0.711 | 0.341 | 0.491 | 0.252–0.958 | 0.037 |
| Smoking | - | - | - | - | 0.048 |
| Euroscore II | 0.167 | 0.085 | 0.849 | 0.719–1.002 | 0.053 |
| ICU LOS | −0.006 | 0.003 | 0.994 | 0.988–1.000 | 0.052 |
| Hospital LOS | −0.071 | 0.038 | 0.931 | 0.864–1.004 | 0.062 |
| Education | - | - | - | - | 0.075 |
| Combinations | −0.879 | 0.497 | 0.415 | 0.157–1.101 | 0.077 |
| Clamping time | −0.008 | 0.005 | 0.992 | 0.982–1.001 | 0.091 |
| B. Multiple regression model for 30-day recovery | |||||
| AHT | -0.733 | 0.349 | 0.480 | 0.242–0.952 | 0.036 |
| ICU LOS | -0.006 | 0.003 | 0.994 | 0.988–1.000 | 0.046 |
| C. Univariate factors correlated with 90-day improvement | |||||
| BMI | 0.073 | 1.064 | 0.127 | 0.997–1.159 | 0.059 |
| Hospital LOS | −0.076 | 0.042 | 0.927 | 0.854–1.006 | 0.070 |
| Clamping time | 0.008 | 0.005 | 1.008 | 0.999–1.018 | 0.094 |
| D. Multiple regression model for 90-day improvement | |||||
| Clamping time | 0.011 | 0.005 | 1.011 | 1.001–1.022 | 0.034 |
| Hospital LOS | −0.095 | 0.047 | 0.909 | 0.829–0.997 | 0.044 |
Publisher’s Note: MDPI stays neutral with regard to jurisdictional claims in published maps and institutional affiliations. |
© 2022 by the authors. Licensee MDPI, Basel, Switzerland. This article is an open access article distributed under the terms and conditions of the Creative Commons Attribution (CC BY) license (https://creativecommons.org/licenses/by/4.0/).
Share and Cite
Claessens, J.; Yilmaz, A.; Mostien, T.; Van Genechten, S.; Claes, M.; Packlé, L.; Pierson, M.; Vandenbrande, J.; Kaya, A.; Stessel, B. 90-Day Patient-Centered Outcomes after Totally Endoscopic Cardiac Surgery: A Prospective Cohort Study. J. Clin. Med. 2022, 11, 2674. https://doi.org/10.3390/jcm11092674
Claessens J, Yilmaz A, Mostien T, Van Genechten S, Claes M, Packlé L, Pierson M, Vandenbrande J, Kaya A, Stessel B. 90-Day Patient-Centered Outcomes after Totally Endoscopic Cardiac Surgery: A Prospective Cohort Study. Journal of Clinical Medicine. 2022; 11(9):2674. https://doi.org/10.3390/jcm11092674
Chicago/Turabian StyleClaessens, Jade, Alaaddin Yilmaz, Toon Mostien, Silke Van Genechten, Marithé Claes, Loren Packlé, Maud Pierson, Jeroen Vandenbrande, Abdullah Kaya, and Björn Stessel. 2022. "90-Day Patient-Centered Outcomes after Totally Endoscopic Cardiac Surgery: A Prospective Cohort Study" Journal of Clinical Medicine 11, no. 9: 2674. https://doi.org/10.3390/jcm11092674
APA StyleClaessens, J., Yilmaz, A., Mostien, T., Van Genechten, S., Claes, M., Packlé, L., Pierson, M., Vandenbrande, J., Kaya, A., & Stessel, B. (2022). 90-Day Patient-Centered Outcomes after Totally Endoscopic Cardiac Surgery: A Prospective Cohort Study. Journal of Clinical Medicine, 11(9), 2674. https://doi.org/10.3390/jcm11092674

