Comparison of Clinical and Pathological Factors Affecting Early and Late Recurrences in Patients with Operable Breast Cancer †
Abstract
1. Introduction
2. Materials and Methods
3. Results
3.1. Baseline Characteristics
3.2. Risk Factors for Early and Late Recurrences
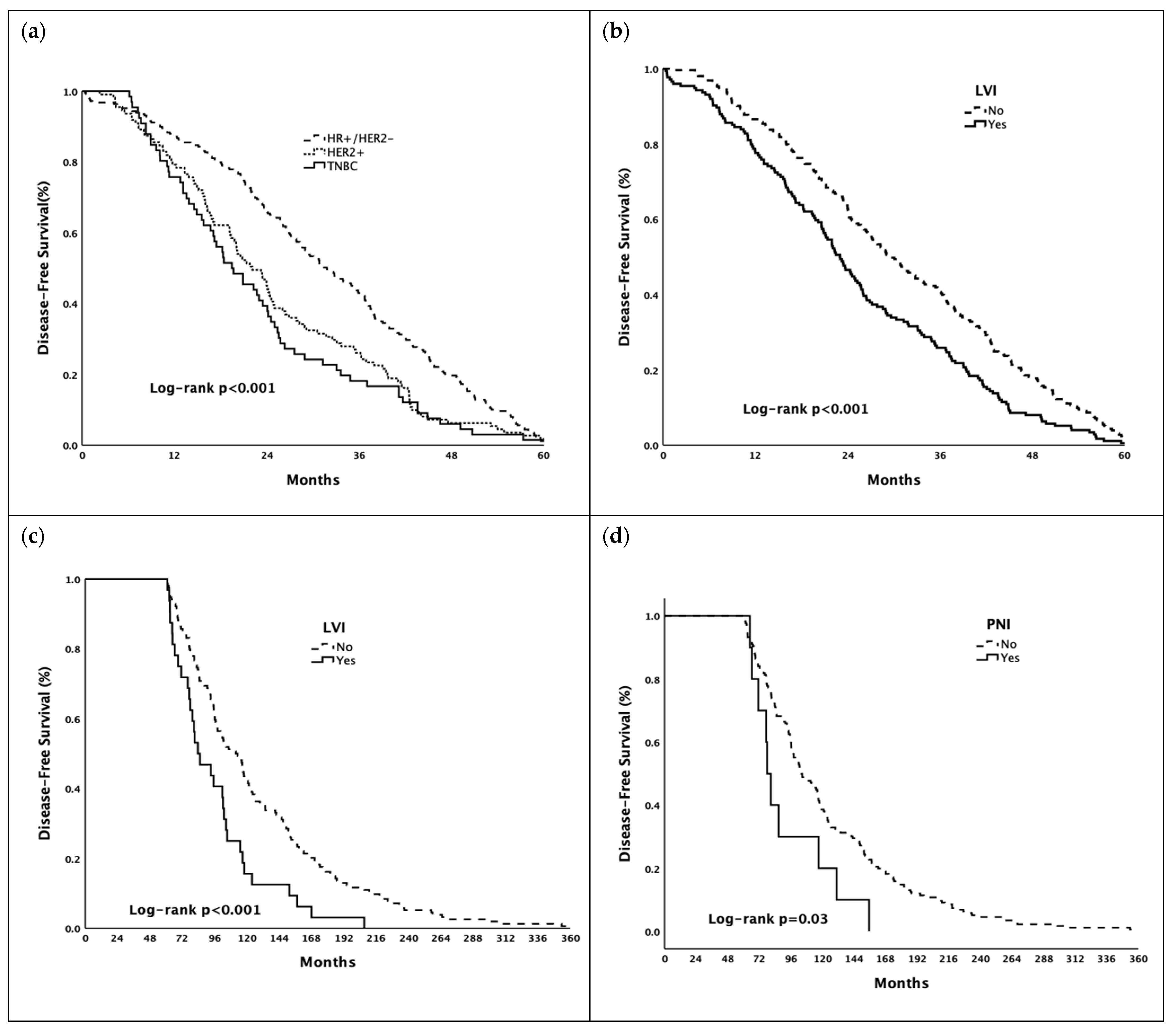
3.3. Prognostic Factors for Disease-Free Survival According to Recurrence Interval
4. Discussion
5. Conclusions
Author Contributions
Funding
Institutional Review Board Statement
Informed Consent Statement
Data Availability Statement
Conflicts of Interest
References
- Siegel, R.L.; Miller, K.D.; Fuchs, H.E.; Jemal, A. Cancer statistics, 2022. CA Cancer. J. Clin. 2022, 72, 7–33. [Google Scholar] [CrossRef] [PubMed]
- Surveillance, Epidemiology, and End Results Program Cancer Stat Facts: Female Breast Cancer. Available online: https://seer.cancer.gov/statfacts/html/breast.html (accessed on 10 January 2022).
- Colleoni, M.; Sun, Z.; Price, K.N.; Karlsson, P.; Forbes, J.F.; Thurlimann, B.; Gianni, L.; Castiglione, M.; Gelber, R.D.; Coates, A.S.; et al. Annual Hazard Rates of Recurrence for Breast Cancer During 24 Years of Follow-Up: Results from the International Breast Cancer Study Group Trials I to V. J. Clin. Oncol. 2016, 34, 927–935. [Google Scholar] [CrossRef] [PubMed]
- Nishimura, R.; Osako, T.; Nishiyama, Y.; Tashima, R.; Nakano, M.; Fujisue, M.; Toyozumi, Y.; Arima, N. Evaluation of factors related to late recurrence--later than 10 years after the initial treatment--in primary breast cancer. Oncology 2013, 85, 100–110. [Google Scholar] [CrossRef]
- Grasic-Kuhar, C.; Bracko, M.; Zakotnik, B. Risk factors for late relapse and death in patients with early breast cancer. Neoplasma 2008, 55, 416–420. [Google Scholar] [PubMed]
- Wangchinda, P.; Ithimakin, S. Factors that predict recurrence later than 5 years after initial treatment in operable breast cancer. World J. Surg. Oncol. 2016, 14, 223. [Google Scholar] [CrossRef]
- Kantarjian, H.M.; Wolff, R.A.; Koller, C.A. The MD Anderson Manual of Medical Oncology; McGraw-Hill Education: New York, NY, USA, 2011. [Google Scholar]
- Hilsenbeck, S.G.; Ravdin, P.M.; de Moor, C.A.; Chamness, G.C.; Osborne, C.K.; Clark, G.M. Time-dependence of hazard ratios for prognostic factors in primary breast cancer. Breast Cancer Res. Treat. 1998, 52, 227–237. [Google Scholar] [CrossRef]
- Hess, K.R.; Pusztai, L.; Buzdar, A.U.; Hortobagyi, G.N. Estrogen receptors and distinct patterns of breast cancer relapse. Breast Cancer Res. Treat. 2003, 78, 105–118. [Google Scholar] [CrossRef]
- Strasser-Weippl, K.; Horick, N.; Smith, I.E.; O’Shaughnessy, J.; Ejlertsen, B.; Boyle, F.; Buzdar, A.U.; Fumoleau, P.; Gradishar, W.; Martin, M.; et al. Long-term hazard of recurrence in HER2+ breast cancer patients untreated with anti-HER2 therapy. Breast Cancer Res. 2015, 17, 56. [Google Scholar] [CrossRef]
- Elston, C.W.; Ellis, I.O. Pathological prognostic factors in breast cancer. I. The value of histological grade in breast cancer: Experience from a large study with long-term follow-up. Histopathology 1991, 19, 403–410. [Google Scholar] [CrossRef]
- Elston, C.W. The assessment of histological differentiation in breast cancer. Aust. N. Z. J. Surg. 1984, 54, 11–15. [Google Scholar] [CrossRef]
- Yamashita, H.; Ogiya, A.; Shien, T.; Horimoto, Y.; Masuda, N.; Inao, T.; Osako, T.; Takahashi, M.; Endo, Y.; Hosoda, M.; et al. Clinicopathological factors predicting early and late distant recurrence in estrogen receptor-positive, HER2-negative breast cancer. Breast Cancer 2016, 23, 830–843. [Google Scholar] [CrossRef] [PubMed]
- Fitzpatrick, D.J.; Lai, C.S.; Parkyn, R.F.; Walters, D.; Humeniuk, V.; Walsh, D.C. Time to breast cancer relapse predicted by primary tumour characteristics, not lymph node involvement. World J. Surg. 2014, 38, 1668–1675. [Google Scholar] [CrossRef] [PubMed]
- Sahoo, P.K.; Jana, D.; Mandal, P.K.; Basak, S. Effect of lymphangiogenesis and lymphovascular invasion on the survival pattern of breast cancer patients. Asian Pac. J. Cancer Prev. 2014, 15, 6287–6293. [Google Scholar] [CrossRef] [PubMed]
- Davila-Arias, C.; Ocon, O.; Fernandez, M.F.; Arrebola, J.P.; Sanchez, M.J.; Aneiros, J.; Torne, P.; Olea, N. Disease-free survival related factors in breast cancer. Med. Clin. 2014, 143, 293–299. [Google Scholar] [CrossRef]
- Takeuchi, H.; Muto, Y.; Tashiro, H. Clinicopathological characteristics of recurrence more than 10 years after surgery in patients with breast carcinoma. Anticancer Res. 2009, 29, 3445–3448. [Google Scholar]
- McCready, D.R.; Chapman, J.A.; Hanna, W.M.; Kahn, H.J.; Murray, D.; Fish, E.B.; Trudeau, M.E.; Andrulis, I.L.; Lickley, H.L. Factors affecting distant disease-free survival for primary invasive breast cancer: Use of a log-normal survival model. Ann. Surg. Oncol. 2000, 7, 416–426. [Google Scholar] [CrossRef]
- Duraker, N.; Caynak, Z.C.; Turkoz, K. Perineural invasion has no prognostic value in patients with invasive breast carcinoma. Breast 2006, 15, 629–634. [Google Scholar] [CrossRef]
- Elkin, E.B.; Hudis, C.; Begg, C.B.; Schrag, D. The effect of changes in tumor size on breast carcinoma survival in the U.S.: 1975–1999. Cancer 2005, 104, 1149–1157. [Google Scholar] [CrossRef]
- Payandeh, M.; Sadeghi, M.; Sadeghi, E. Differences in Prognostic Factors between Early and Late Recurrence Breast Cancers. Asian Pac. J. Cancer Prev. 2015, 16, 6575–6579. [Google Scholar] [CrossRef][Green Version]
- Sestak, I.; Dowsett, M.; Zabaglo, L.; Lopez-Knowles, E.; Ferree, S.; Cowens, J.W.; Cuzick, J. Factors predicting late recurrence for estrogen receptor-positive breast cancer. J. Natl. Cancer Inst. 2013, 105, 1504–1511. [Google Scholar] [CrossRef]
- Carter, C.L.; Allen, C.; Henson, D.E. Relation of tumor size, lymph node status, and survival in 24,740 breast cancer cases. Cancer 1989, 63, 181–187. [Google Scholar] [CrossRef]
- Chen, X.L.; Fan, Y.; Xu, B.H. Clinicopathological features and prognosis of HER2-negative luminal-type breast cancer patients with early and late recurrence. Chin. J. Oncol. 2016, 38, 448–453. [Google Scholar] [CrossRef]
- Demicheli, R.; Bonadonna, G.; Hrushesky, W.J.; Retsky, M.W.; Valagussa, P. Menopausal status dependence of the timing of breast cancer recurrence after surgical removal of the primary tumour. Breast Cancer Res. 2004, 6, R689–R696. [Google Scholar] [CrossRef] [PubMed]
- World Cancer Research Fund Food, Nutrition, Physical Activity and the Prevention of Cancer: A Global Perspective. Available online: http://www.aicr.org/assets/docs/pdf/reports/Second_Expert_Report.pdf (accessed on 14 January 2021).
- Protani, M.; Coory, M.; Martin, J.H. Effect of obesity on survival of women with breast cancer: Systematic review and meta-analysis. Breast Cancer Res. Treat. 2010, 123, 627–635. [Google Scholar] [CrossRef]
- Loi, S.; Milne, R.L.; Friedlander, M.L.; McCredie, M.R.; Giles, G.G.; Hopper, J.L.; Phillips, K.A. Obesity and outcomes in premenopausal and postmenopausal breast cancer. Cancer epidemiology, biomarkers & prevention: A publication of the American Association for Cancer Research, cosponsored by the American Society of Preventive. Oncology 2005, 14, 1686–1691. [Google Scholar] [CrossRef]
- Kamineni, A.; Anderson, M.L.; White, E.; Taplin, S.H.; Porter, P.; Ballard-Barbash, R.; Malone, K.; Buist, D.S. Body mass index, tumor characteristics, and prognosis following diagnosis of early-stage breast cancer in a mammographically screened population. Cancer Causes Control. 2013, 24, 305–312. [Google Scholar] [CrossRef]
- Foldi, J.; O’Meara, T.; Marczyk, M.; Sanft, T.; Silber, A.; Pusztai, L. Defining Risk of Late Recurrence in Early-Stage Estrogen Receptor-Positive Breast Cancer: Clinical Versus Molecular Tools. J. Clin. Oncol. 2019, 37, 1365–1369. [Google Scholar] [CrossRef]

| All Patients | Early Recurrence (≤5 years) | Late Recurrence (>5 years) | ||||
|---|---|---|---|---|---|---|
| n = 854 | (%) | n = 432 | (%) | n = 205 | (%) | |
| Age at diagnosis-years, median (IQR) | 45 (39–53) | 45 (37–54) | 45 (39–52) | |||
| Histological Subtypes | ||||||
| Invasive Ductal Carcinoma | 712 | 83.4 | 378 | 87.5 | 165 | 80.5 |
| Invasive Lobular Carcinoma | 40 | 4.7 | 12 | 2.8 | 14 | 6.8 |
| Other | 80 | 9.4 | 40 | 9.3 | 15 | 7.3 |
| Missing | 22 | 2.6 | 2 | 0.5 | 11 | 5.4 |
| Molecular Subtypes | ||||||
| HR+/HER2− | 509 | 59.6 | 249 | 57.6 | 128 | 62.4 |
| HER2+ | 154 | 18.0 | 111 | 25.7 | 21 | 10.3 |
| Triple Negative | 111 | 13.0 | 66 | 15.3 | 22 | 10.8 |
| Missing | 80 | 9.4 | 6 | 1.4 | 34 | 16.5 |
| T Stage | ||||||
| T1 | 173 | 20.3 | 64 | 14.8 | 49 | 23.9 |
| T2 | 464 | 54.3 | 259 | 60.0 | 101 | 49.3 |
| T3 | 130 | 15.2 | 79 | 18.3 | 24 | 11.7 |
| T4 | 23 | 2.7 | 19 | 4.4 | 3 | 1.5 |
| Missing | 64 | 7.5 | 11 | 2.5 | 28 | 22.6 |
| N Stage | ||||||
| N0 | 320 | 37.5 | 121 | 28.0 | 75 | 36.6 |
| N1 | 213 | 24.9 | 110 | 25.5 | 58 | 28.3 |
| N2 | 120 | 14.1 | 65 | 15.0 | 29 | 14.1 |
| N3 | 164 | 19.2 | 125 | 28.9 | 28 | 13.7 |
| Missing | 37 | 4.3 | 11 | 2.5 | 15 | 7.3 |
| Lymphovascular Invasion | ||||||
| No | 577 | 67.6 | 253 | 58.6 | 154 | 75.1 |
| Yes | 233 | 27.3 | 174 | 40.3 | 32 | 15.6 |
| Missing | 44 | 5.2 | 5 | 1.2 | 19 | 9.3 |
| Perineural Invasion | ||||||
| No | 745 | 87.2 | 380 | 88.0 | 176 | 85.9 |
| Yes | 65 | 7.6 | 47 | 10.9 | 10 | 4.9 |
| Missing | 44 | 5.2 | 5 | 1.2 | 19 | 9.3 |
| Grade | ||||||
| 1 | 75 | 8.8 | 26 | 6.0 | 19 | 9.3 |
| 2 | 294 | 34.4 | 161 | 37.3 | 61 | 29.8 |
| 3 | 297 | 34.8 | 208 | 48.1 | 47 | 22.9 |
| Missing | 188 | 22.0 | 37 | 8.6 | 78 | 38.0 |
| Menopausal Status | ||||||
| Pre- | 523 | 61.2 | 269 | 62.3 | 117 | 57.0 |
| Post- | 328 | 38.4 | 162 | 37.5 | 86 | 42.0 |
| Missing | 3 | 0.4 | 1 | 0.2 | 2 | 1.0 |
| Obesity | ||||||
| No | 575 | 67.3 | 276 | 63.9 | 132 | 64.4 |
| Yes | 190 | 22.2 | 103 | 23.8 | 52 | 25.4 |
| Missing | 89 | 10.4 | 53 | 12.3 | 21 | 10.2 |
| Type of Surgery | ||||||
| Modified Radical Mastectomy | 674 | 78.9 | 328 | 75.9 | 167 | 81.5 |
| Breast Conserving Surgery | 180 | 21.1 | 104 | 24.1 | 38 | 18.5 |
| Adjuvant Chemotherapy | ||||||
| No | 100 | 11.7 | 37 | 8.6 | 30 | 14.6 |
| Yes | 731 | 85.6 | 387 | 89.6 | 164 | 80.0 |
| Missing | 23 | 2.7 | 8 | 1.9 | 11 | 5.4 |
| Adjuvant Hormonal Therapy | ||||||
| No | 264 | 30.9 | 134 | 31.0 | 60 | 29.3 |
| Yes | 586 | 68.6 | 295 | 68.3 | 145 | 70.7 |
| Missing | 4 | 0.5 | 3 | 0.7 | 0 | 0 |
| Adjuvant HER-2 Targeted Therapy | ||||||
| No | 745 | 87.2 | 350 | 81.0 | 189 | 92.2 |
| Yes | 86 | 10.1 | 74 | 17.1 | 5 | 2.4 |
| Missing | 23 | 2.7 | 8 | 1.9 | 11 | 5.4 |
| Adjuvant Radiotherapy | ||||||
| No | 264 | 30.9 | 96 | 22.2 | 72 | 35.1 |
| Yes | 588 | 68.9 | 336 | 77.8 | 132 | 64.4 |
| Missing | 2 | 0.2 | 0 | 0 | 1 | 0.5 |
| Recurrence Locations | ||||||
| Locoregional | 168 | 19.7 | 88 | 20.4 | 80 | 39.0 |
| Distant | 470 | 55.0 | 344 | 79.6 | 125 | 61.0 |
| Missing | 216 | 25.3 | 0 | 0 | 0 | 0 |
| Early Recurrence (≤5 years) | p Value | Late Recurrence (>5 years) | p Value | |||
|---|---|---|---|---|---|---|
| OR | 95% CI | OR | 95% CI | |||
| Age | 0.012 | 0.245 | ||||
| ≤35 | 1.61 | 1.11–2.33 | 1 | |||
| >35 | 1 | 1.30 | 0.83–2.04 | |||
| Histological Subtypes | 0.049 | 0.812 | ||||
| Ductal | 1.48 | 1.01–2.18 | 0.94 | 0.60–1.48 | ||
| Non-ductal | 1 | 1 | ||||
| Molecular Subtypes | ||||||
| HR+/HER2− | 1 | 1 | ||||
| HER2+ | 2.69 | 1.82–3.99 | <0.001 | 0.47 | 0.28–0.77 | 0.003 |
| Triple Negative | 1.53 | 1.01–2.32 | 0.045 | 0.73 | 0.44–1.22 | 0.236 |
| T Stage | 0.003 | 0.117 | ||||
| T12 | 1 | 1 | ||||
| T34 | 1.73 | 1.20–2.49 | 0.69 | 0.44–1.09 | ||
| Lymph Node Metastasis | <0.001 | 0.921 | ||||
| No | 1 | 1 | ||||
| Yes | 2.50 | 1.87–3.34 | 0.98 | 0.70–1.37 | ||
| Lymphovascular Invasion | <0.001 | <0.001 | ||||
| No | 1 | 1 | ||||
| Yes | 3.77 | 2.69–5.29 | 0.43 | 0.28–0.66 | ||
| Perineural Invasion | 0.001 | 0.134 | ||||
| No | 1 | 1 | ||||
| Yes | 2.50 | 1.43–4.39 | 0.58 | 0.29–1.17 | ||
| Grade | <0.001 | 0.153 | ||||
| 1 | 1 | 1 | ||||
| 2/3 | 3.09 | 1.87–5.12 | 0.66 | 0.37–1.16 | ||
| Menopausal Status | 0.562 | 0.200 | ||||
| Pre- | 1 | 1 | ||||
| Post- | 0.92 | 0.69–1.21 | 1.23 | 0.89–1.69 | ||
| Obesity | 0.138 | 0.218 | ||||
| No | 1 | 1 | ||||
| Yes | 1.28 | 0.92–1.78 | 1.26 | 0.87–1.83 | ||
| Surgery Type | 0.030 | 0.307 | ||||
| Mastectomy | 1 | 1 | ||||
| Breast Conserving | 1.44 | 1.03–2.01 | 1.23 | 0.82–1.83 | ||
| Early Recurrence (≤5 years) | p Value | Late Recurrence (>5 years) | p Value | |||
|---|---|---|---|---|---|---|
| aOR * | 95% CI | aOR * | 95% CI | |||
| Age | 0.137 | |||||
| ≤35 | 1.46 | 0.88–2.40 | ||||
| >35 | 1 | |||||
| Histological Subtypes | 0.377 | |||||
| Ductal | 1.27 | 0.74–2.16 | ||||
| Non-ductal | 1 | |||||
| Molecular Subtypes | ||||||
| HR+/HER2− | 1 | 1 | ||||
| HER2+ | 1.73 | 1.10–2.72 | 0.018 | 0.49 | 0.29–0.84 | 0.010 |
| Triple Negative | 1.42 | 0.86–2.34 | 0.170 | 0.76 | 0.45–1.28 | 0.310 |
| T Stage | 0.363 | |||||
| T12 | 1 | |||||
| T34 | 1.23 | 0.78–1.96 | ||||
| Lymph Node Metastasis | 0.009 | |||||
| No | 1 | |||||
| Yes | 1.67 | 1.13–2.48 | ||||
| Lymphovascular Invasion | <0.001 | 0.001 | ||||
| No | 1 | 1 | ||||
| Yes | 2.42 | 1.61–3.63 | 0.49 | 0.31–0.76 | ||
| Perineural Invasion | 0.279 | |||||
| No | 1 | |||||
| Yes | 1.43 | 0.74–2.77 | ||||
| Grade | 0.014 | |||||
| 1 | 1 | |||||
| 2/3 | 2.09 | 1.16–3.77 | ||||
| Surgery | 0.166 | |||||
| Mastectomy | 1 | |||||
| Breast Conserving | 1.36 | 0.87–2.12 | ||||
| Early Recurrence (≤5 years) | Late Recurrence (>5 years) | |||
|---|---|---|---|---|
| Months | p | Months | p | |
| Age | 0.993 | 0.053 | ||
| ≤35 | 32.2 | 118.2 | ||
| >35 | 30.5 | 103.9 | ||
| Histological Subtypes | 0.963 | 0.191 | ||
| Ductal | 26.1 | 104.6 | ||
| Non-ductal | 29.1 | 97.2 | ||
| Molecular Subtypes | <0.001 | 0.185 | ||
| HR+/HER2− | 31.8 | 98.1 | ||
| HER2+ | 22.1 | 91.8 | ||
| Triple Negative | 19.4 | 106.5 | ||
| T Stage | 0.472 | 0.523 | ||
| T12 | 26.3 | 98.2 | ||
| T34 | 26.4 | 117.5 | ||
| Lymph Node Metastasis | 0.753 | 0.046 | ||
| No | 28.2 | 103.9 | ||
| Yes | 25.9 | 102.8 | ||
| Lymphovascular Invasion | <0.001 | <0.001 | ||
| No | 29.5 | 111.7 | ||
| Yes | 22.9 | 83.7 | ||
| Perineural Invasion | 0.996 | 0.030 | ||
| No | 26.1 | 103.9 | ||
| Yes | 29.1 | 77.9 | ||
| Grade | 0.314 | 0.806 | ||
| 1 | 33.4 | 95.6 | ||
| 2/3 | 26.1 | 93.3 | ||
| Menopausal Status | 0.668 | 0.600 | ||
| Pre- | 26.4 | 111.1 | ||
| Post- | 27.0 | 102.4 | ||
| Obesity | 0.380 | 0.075 | ||
| No | 26.1 | 113.1 | ||
| Yes | 27.0 | 102.8 | ||
| Surgery Type | 0.186 | 0.494 | ||
| Mastectomy | 26.6 | 113.1 | ||
| Breast Conserving | 26.1 | 97.2 | ||
| Early Recurrence (≤5 years) | Late Recurrence (>5 years) | |||||
|---|---|---|---|---|---|---|
| Hazard Ratio * | 95% CI | p | Hazard Ratio * | 95% CI | p | |
| Molecular Subtypes | ||||||
| HR+/HER2− | 1 | |||||
| HER2+ | 1.37 | 1.09–1.73 | 0.007 | |||
| Triple Negative | 1.64 | 1.25–2.17 | <0.001 | |||
| Lymph Node Metastasis | 0.200 | |||||
| No | 1 | |||||
| Yes | 1.23 | 0.89–1.69 | ||||
| Lymphovascular Invasion | 0.001 | 0.005 | ||||
| No | 1 | 1 | ||||
| Yes | 1.38 | 1.13–1.69 | 1.79 | 1.19–2.69 | ||
| Perineural Invasion | 0.036 | |||||
| No | 1 | |||||
| Yes | 1.99 | 1.04–3.81 | ||||
Publisher’s Note: MDPI stays neutral with regard to jurisdictional claims in published maps and institutional affiliations. |
© 2022 by the authors. Licensee MDPI, Basel, Switzerland. This article is an open access article distributed under the terms and conditions of the Creative Commons Attribution (CC BY) license (https://creativecommons.org/licenses/by/4.0/).
Share and Cite
Yekedüz, E.; Dizdar, Ö.; Kertmen, N.; Aksoy, S. Comparison of Clinical and Pathological Factors Affecting Early and Late Recurrences in Patients with Operable Breast Cancer. J. Clin. Med. 2022, 11, 2332. https://doi.org/10.3390/jcm11092332
Yekedüz E, Dizdar Ö, Kertmen N, Aksoy S. Comparison of Clinical and Pathological Factors Affecting Early and Late Recurrences in Patients with Operable Breast Cancer. Journal of Clinical Medicine. 2022; 11(9):2332. https://doi.org/10.3390/jcm11092332
Chicago/Turabian StyleYekedüz, Emre, Ömer Dizdar, Neyran Kertmen, and Sercan Aksoy. 2022. "Comparison of Clinical and Pathological Factors Affecting Early and Late Recurrences in Patients with Operable Breast Cancer" Journal of Clinical Medicine 11, no. 9: 2332. https://doi.org/10.3390/jcm11092332
APA StyleYekedüz, E., Dizdar, Ö., Kertmen, N., & Aksoy, S. (2022). Comparison of Clinical and Pathological Factors Affecting Early and Late Recurrences in Patients with Operable Breast Cancer. Journal of Clinical Medicine, 11(9), 2332. https://doi.org/10.3390/jcm11092332

