Impact of Deprivation on Obesity in Children with PWS
Abstract
:1. Introduction
2. Materials and Methods
2.1. Definition of obesity
2.2. Statistical Analysis
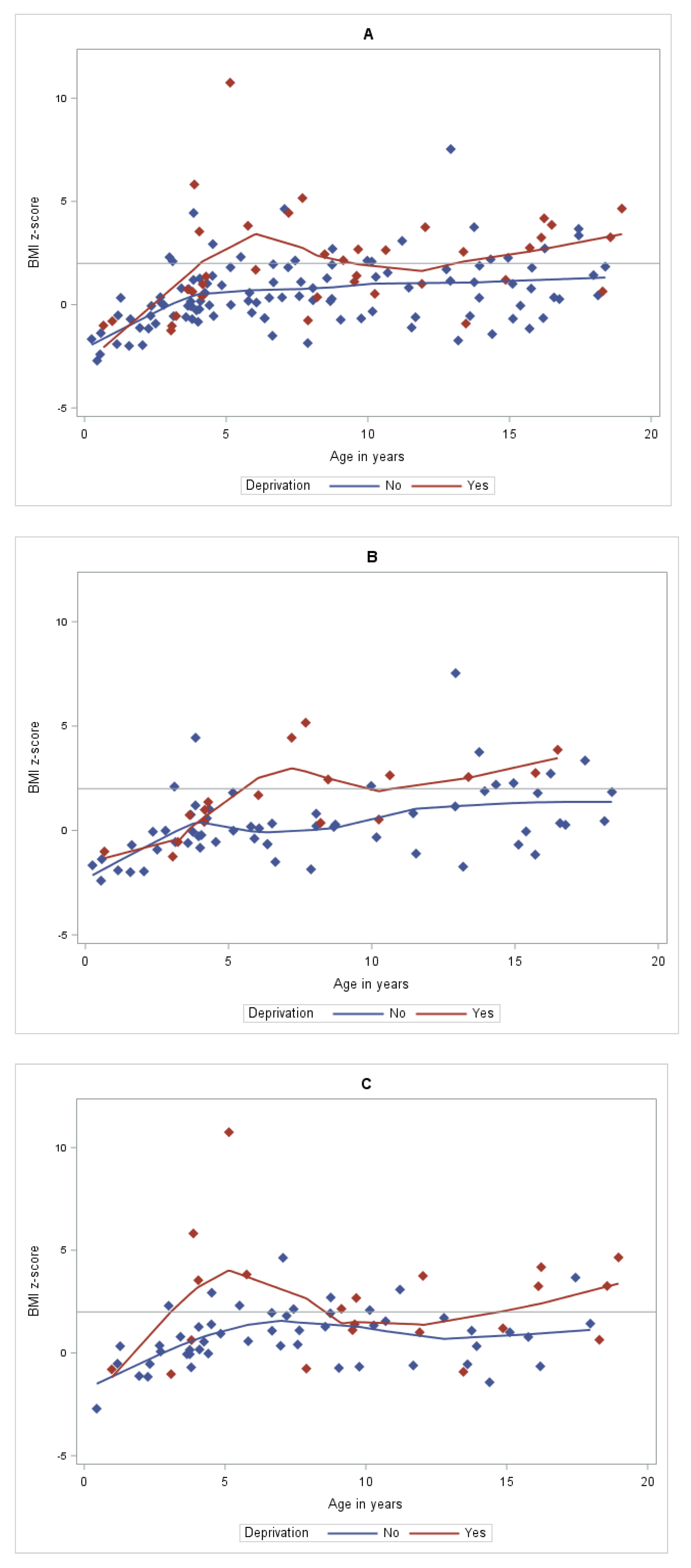
3. Results
3.1. Comparison of the Characteristics of Children with and without Deprivation
3.2. Comparison of the Characteristics of the Children with or without Obesity in the Deprived Group
3.3. Multisteps Analysis
4. Discussion
Limitations and Strengths of the Study
5. Conclusions
Author Contributions
Funding
Institutional Review Board Statement
Informed Consent Statement
Data Availability Statement
Conflicts of Interest
Appendix A
| Questions | Score | |
|---|---|---|
| Yes | No | |
| 1. Do you sometimes meet with a social worker (welfare worker, educator)? | 10.06 | 0 |
| 2. Do you have complementary health insurance (mutual insurance)? | −11.83 | 0 |
| 3. Do you live as a couple? | −8.28 | 0 |
| 4. Are you a homeowner or will you be one in the near future? | −8.28 | 0 |
| 5. Are there periods in the month when you have real financial difficulties in facing your needs (food, rent, electricity)? | 14.80 | 0 |
| 6. Have you participated in any sports activities in the last 12 months? | −6.51 | 0 |
| 7. Have you gone to any shows (cinema, theatre) in the last 12 months? | −7.10 | 0 |
| 8. Have you gone on holiday during the past 12 months? | −7.10 | 0 |
| 9. Have you seen any family members in the past six months (other than your parents or children)? | −9.47 | 0 |
| 10. Did you have difficulties (financial, family, or health), and is there anyone around you who could take you in for a few days? | −9.47 | 0 |
| 11. Did you have difficulties (financial, family, or health), and is there anyone around you who could help you financially (material aid such as lending you money)? | −7.10 | 0 |
| Intercept | 75.14 | 0 |
References
- Bar, C.; Diene, G.; Molinas, C.; Bieth, E.; Casper, C.; Tauber, M. Early diagnosis and care is achieved but should be improved in infants with Prader-Willi syndrome. Orphanet J. Rare Dis. 2017, 12, 118. [Google Scholar] [CrossRef] [Green Version]
- Tauber, M.; Hoybye, C. Endocrine disorders in Prader-Willi syndrome: A model to understand and treat hypothalamic dysfunction. Lancet. Diabetes Endocrinol. 2021, 9, 235–246. [Google Scholar] [CrossRef]
- Miller, J.L.; Lynn, C.H.; Driscoll, D.C.; Goldstone, A.P.; Gold, J.A.; Kimonis, V.; Dykens, E.; Butler, M.G.; Shuster, J.J.; Driscoll, D.J. Nutritional phases in Prader-Willi syndrome. Am. J. Med. Genetics. Part A 2011, 155A, 1040–1049. [Google Scholar] [CrossRef] [PubMed] [Green Version]
- Theodoro, M.F.; Talebizadeh, Z.; Butler, M.G. Body composition and fatness patterns in Prader-Willi syndrome: Comparison with simple obesity. Obesity 2006, 14, 1685–1690. [Google Scholar] [CrossRef] [PubMed]
- Alsaif, M.; Elliot, S.A.; MacKenzie, M.L.; Prado, C.M.; Field, C.J.; Haqq, A.M. Energy Metabolism Profile in Individuals with Prader-Willi Syndrome and Implications for Clinical Management: A Systematic Review. Adv. Nutr. 2017, 8, 905–915. [Google Scholar] [CrossRef] [Green Version]
- Butler, M.G.; Theodoro, M.F.; Bittel, D.C.; Donnelly, J.E. Energy expenditure and physical activity in Prader-Willi syndrome: Comparison with obese subjects. Am. J. Med. Genetics. Part A 2007, 143A, 449–459. [Google Scholar] [CrossRef] [Green Version]
- Diene, G.; Mimoun, E.; Feigerlova, E.; Caula, S.; Molinas, C.; Grandjean, H.; Tauber, M.; French Reference Centre for PWS. Endocrine disorders in children with Prader-Willi syndrome—Data from 142 children of the French database. Horm. Res. Paediatr. 2010, 74, 121–128. [Google Scholar] [CrossRef]
- Emerick, J.E.; Vogt, K.S. Endocrine manifestations and management of Prader-Willi syndrome. Int. J. Pediatric Endocrinol. 2013, 2013, 14. [Google Scholar] [CrossRef] [Green Version]
- Rosenberg, A.G.W.; Pellikaan, K.; Poitou, C.; Goldstone, A.P.; Hoybye, C.; Markovic, T.; Grugni, G.; Crino, A.; Caixas, A.; Coupaye, M.; et al. Central Adrenal Insufficiency Is Rare in Adults With Prader-Willi Syndrome. J. Clin. Endocrinol. Metab. 2020, 105, e2563–e2571. [Google Scholar] [CrossRef]
- Irizarry, K.A.; Miller, M.; Freemark, M.; Haqq, A.M. Prader Willi Syndrome: Genetics, Metabolomics, Hormonal Function, and New Approaches to Therapy. Adv. Pediatrics 2016, 63, 47–77. [Google Scholar] [CrossRef] [Green Version]
- Thuilleaux, D.; Laurier, V.; Copet, P.; Tricot, J.; Demeer, G.; Mourre, F.; Tauber, M.; Jauregi, J. A model to characterize psychopathological features in adults with Prader-Willi syndrome. Am. J. Med. Genetics. Part A 2018, 176, 41–47. [Google Scholar] [CrossRef] [PubMed]
- Salles, J.; Lacassagne, E.; Benvegnu, G.; Berthoumieu, S.C.; Franchitto, N.; Tauber, M. The RDoC approach for translational psychiatry: Could a genetic disorder with psychiatric symptoms help fill the matrix? the example of Prader-Willi syndrome. Transl. Psychiatry 2020, 10, 274. [Google Scholar] [CrossRef]
- Salles, J.; Lacassagne, E.; Eddiry, S.; Franchitto, N.; Salles, J.P.; Tauber, M. What can we learn from PWS and SNORD116 genes about the pathophysiology of addictive disorders? Mol. Psychiatry 2021, 26, 51–59. [Google Scholar] [CrossRef] [PubMed]
- Deal, C.L.; Tony, M.; Hoybye, C.; Allen, D.B.; Tauber, M.; Christiansen, J.S.; the 2011 Growth Hormone in Prader-Willi Syndrome Clinical Care Guidelines Workshop Participants. GrowthHormone Research Society workshop summary: Consensus guidelines for recombinant human growth hormone therapy in Prader-Willi syndrome. J. Clin. Endocrinol. Metab. 2013, 98, E1072–E1087. [Google Scholar] [CrossRef] [PubMed]
- Cadoudal, T.; Buleon, M.; Sengenes, C.; Diene, G.; Desneulin, F.; Molinas, C.; Eddiry, S.; Conte-Auriol, F.; Daviaud, D.; Martin, P.G.; et al. Impairment of adipose tissue in Prader-Willi syndrome rescued by growth hormone treatment. Int. J. Obes. (Lond.) 2014, 38, 1234–1240. [Google Scholar] [CrossRef] [PubMed]
- Coupaye, M.; Lorenzini, F.; Lloret-Linares, C.; Molinas, C.; Pinto, G.; Diene, G.; Mimoun, E.; Demeer, G.; Labrousse, F.; Jauregi, J.; et al. Growth hormone therapy for children and adolescents with Prader-Willi syndrome is associated with improved body composition and metabolic status in adulthood. J. Clin. Endocrinol. Metab. 2013, 98, E328–E335. [Google Scholar] [CrossRef] [Green Version]
- Coupaye, M.; Tauber, M.; Cuisset, L.; Laurier, V.; Bieth, E.; Lacorte, J.M.; Oppert, J.M.; Clement, K.; Poitou, C. Effect of Genotype and Previous GH Treatment on Adiposity in Adults With Prader-Willi Syndrome. J. Clin. Endocrinol. Metab. 2016, 101, 4895–4903. [Google Scholar] [CrossRef]
- Labbe, E.; Blanquet, M.; Gerbaud, L.; Poirier, G.; Sass, C.; Vendittelli, F.; Moulin, J.J. A new reliable index to measure individual deprivation: The EPICES score. Eur. J. Public Health 2015, 25, 604–609. [Google Scholar] [CrossRef] [Green Version]
- Dykens, E.M.; Maxwell, M.A.; Pantino, E.; Kossler, R.; Roof, E. Assessment of hyperphagia in Prader-Willi syndrome. Obesity 2007, 15, 1816–1826. [Google Scholar] [CrossRef] [Green Version]
- Dykens, E.M.; Miller, J.; Angulo, M.; Roof, E.; Reidy, M.; Hatoum, H.T.; Willey, R.; Bolton, G.; Korner, P. Intranasal carbetocin reduces hyperphagia in individuals with Prader-Willi syndrome. JCI Insight 2018, 3, e98333. [Google Scholar] [CrossRef]
- de Onis, M.; Martorell, R.; Garza, C.; Lartey, A.; Reference, W.M.G. WHO Child Growth Standards based on length/height, weight and age. Acta Paediatr. 2006, 95, 76–85. [Google Scholar] [CrossRef]
- de Onis, M.; Onyango, A.W.; Borghi, E.; Siyam, A.; Nishida, C.; Siekmann, J. Development of a WHO growth reference for school-aged children and adolescents. B World Health Organ. 2007, 85, 660–667. [Google Scholar] [CrossRef] [PubMed]
- Jacoby, W.G. Loess: A nonparametric, graphical tool for depicting relationships between variables. Elect. Stud. 2000, 19, 577–613. [Google Scholar] [CrossRef]
- Francois, P.; Guyomard, A.; Baudet, D.; Dubois-Fabing, D.; Boussuges, S.; Perrin, F.; Seigneurin, A. [Evaluation of an obesity prevention program for school-aged children in deprived urban areas]. Arch. Pediatr. 2014, 21, 727–735. [Google Scholar] [CrossRef] [PubMed]
- Ayala-Marin, A.M.; Iguacel, I.; Miguel-Etayo, P.; Moreno, L.A. Consideration of Social Disadvantages for Understanding and Preventing Obesity in Children. Front. Public Health 2020, 8, 423. [Google Scholar] [CrossRef]
- Spinosa, J.; Christiansen, P.; Dickson, J.M.; Lorenzetti, V.; Hardman, C.A. From Socioeconomic Disadvantage to Obesity: The Mediating Role of Psychological Distress and Emotional Eating. Obesity 2019, 27, 559–564. [Google Scholar] [CrossRef] [Green Version]
- Davis, E.; Sawyer, M.G.; Lo, S.K.; Priest, N.; Wake, M. Socioeconomic risk factors for mental health problems in 4-5-year-old children: Australian population study. Acad. Pediatr. 2010, 10, 41–47. [Google Scholar] [CrossRef]
- Iguacel, I.; Michels, N.; Fernandez-Alvira, J.M.; Bammann, K.; De Henauw, S.; Felso, R.; Gwozdz, W.; Hunsberger, M.; Reisch, L.; Russo, P.; et al. Associations between social vulnerabilities and psychosocial problems in European children. Results from the IDEFICS study. Eur. Child Adolesc. Psychiatry 2017, 26, 1105–1117. [Google Scholar] [CrossRef] [Green Version]
- Kayadjanian, N.; Schwartz, L.; Farrar, E.; Comtois, K.A.; Strong, T.V. High levels of caregiver burden in Prader-Willi syndrome. PLoS ONE 2018, 13, e0194655. [Google Scholar] [CrossRef] [Green Version]



| All Patients N = 147 | Non-Obese N = 111 (75.5%) | Obese * N = 36 (24.5%) | p | Non Deprivation N = 109 (74.1%) | Deprivation ** N = 38 (25.9%) | p | |
|---|---|---|---|---|---|---|---|
| Boys | 75 (51.0) | 59 (53.2) | 16 (44.4) | 0.36 | 58 (53.2) | 17 (44.7) | 0.37 |
| Age in years *** | 7.1/8.1 ± 5.2 | 6.0/7.3 ± 5.0 | 10.1/10.6 ± 5.0 | 0.0006 | 6.6/7.8 ± 5.1 | 8.3/9.0 ± 5.3 | 0.22 |
| Age at diagnosis in months | 1.0/3.3 ± 8.7 | 1.0/2.7 ± 7.0 | 1.0/5.2 ± 12.2 | 0.16 | 1.0 (1.8 ± 3.2) | 1.0/7.7 ± 15.6 | 0.13 |
| Genetic subtype Deletion (n = 146) | 71 (48.6) | 52 (46.9) | 19 (54.3) | 0.44 | 53 (49.1) | 18 (47.4) | 0.86 |
| Obesity (BMI z-score > 2) | 36 (24.5) | - | - | - | 18 (16.5) | 18 (47.4) | 0.0001 |
| GH treatment of children | 131 (89.1) | 102 (91.9) | 29 (80.6) | 0.069 | 100 (91.7) | 31 (81.6) | 0.13 |
| Psychotropic treatment | 16 (10.9) | 11 (9.9) | 5 (13.9) | 0.54 | 11 (10.1) | 5 (13.2) | 0.56 |
| NIV | 17 (11.6) | 9 (8.1) | 8 (22.2) | 0.033 | 12 (11.0) | 5 (13.2) | 0.77 |
| HQ Total Score (n = 40) | 19.5/20.8 ± 7.5 | 19.0/20.4 ± 7.5 | 29.0/25.3 ± 7.2 | NA £ | 20.0/20.6 ± 7.6 | 18.0/21.6 ± 7.3 | NA µ |
| HQ-CT (n = 40) | 4.5/6.6 ± 6.0 | 4.0/6.3 ± 6.0 | 10.0/9.7 ± 4.5 | NA £ | 5.0/6.6 ± 6.1 | 4.0/6.2 ± 5.6 | NA µ |
| Special schooling (n = 83) | 67 (80.7) | 43 (76.8) | 24 (88.9) | 0.19 | 46 (78.0) | 21 (87.5) | 0.38 |
| Deprivation (Score EPICES ≥ 30) | 38 (25.9) | 20 (18.0) | 18 (50.0) | 0.0001 | - | - | - |
| At least one parent with overweight (n = 122) | 60 (49.2) | 43 (46.7) | 17 (56.7) | 0.35 | 45 (48.4) | 15 (51.7) | 0.75 |
| Mother overweight (n = 130) | 28 (21.5) | 13 (13.3) | 15 (46.9) | <0.0001 | 16 (16.7) | 12 (35.3) | 0.0232 |
| Father overweight (n = 123) | 50 (40.7) | 36 (39.1) | 14 (45.2) | 0.55 | 39 (41.9) | 11 (36.7) | 0.61 |
| Study level of Mother: Higher level vs. lower to intermediate (n = 99) | 63 (63.6) | 54 (70.1) | 9 (40.9) | 0.012 | 57 (75.0) | 6 (26.1) | <0.0001 |
| Study level of Father: Higher level vs. lower to intermediate (n = 95) | 57 (60.0) | 47 (63.5) | 10 (47.6) | 0.19 | 49 (67.1) | 8 (36.4) | 0.0098 |
| Variables | Non-Obese N = 20 | Obese * N = 18 | p |
|---|---|---|---|
| Boys | 10 (50.0) | 7 (38.9) | 0.49 |
| Age in years ** | 5.2 (7.1 ± 4.9) | 10.1 (11.1 ± 5.0) | 0.021 |
| Age at diagnosis in months | 0.7 (5.9 ± 14.7) | 1.0 (9.6 ± 16.7) | 0.024 |
| Genetic subtype: Deletion (n = 38) | 10 (50.0) | 8 (44.4) | 0.73 |
| GH treatment | 18 (90.0) | 13 (72.2) | 0.22 |
| Psychotropic treatment | 3 (15.0) | 2 (11.1) | 1.0 |
| NIV | 1 (5.0) | 4 (22.2) | 0.17 |
| Special schooling (n = 24) | 8 (80.0) | 13 (92.9) | 0.55 |
| At least one parent with overweight (n = 29) | 6 (42.9) | 9 (60.0) | 0.36 |
| Mother overweight (n = 34) | 4 (22.2) | 8 (50.0) | 0.091 |
| Father overweight (n = 30) | 4 (28.6) | 7 (43.8) | 0.39 |
| Study level of Mother: Higher level vs. lower to intermediate (n = 23) | 4 (30.8) | 2 (20.0) | 0.66 |
| Study level of Father: Higher level vs. lower to intermediate (n = 22) | 4 (33.3) | 4 (40.0) | 1.0 |
| Logistic Regression | Univariate Analysis | Multivariate Analysis (N = 130, 88.4%) 32 Obese (88.9% Among 36) 98 Non-Obese (88.3% Among 111) | ||
|---|---|---|---|---|
| Variables | OR (95% CI) | p-Value | OR (95% CI) | p-Value |
| Boys | 1.42 (0.66–3.02) | 0.36 | ||
| Age in years *** | 1.13 (1.05–1.22) | 0.0013 | 1.16 (1.06–1.28) | 0.002 |
| Age at diagnosis ≤ 1 month | 0.88 (0.39–1.98) | 0.76 | ||
| Deprivation | 4.55 (2.02–10.3) | 0.0003 | 3.31 (1.26–8.73) | 0.016 |
| Genetic subtype: deletion (n = 146) | 1.35 (0.63–2.89) | 0.44 | ||
| Special schooling (n = 83) | 2.42 (0.63–9.34) | 0.20 | Special schooling not integrated in multivariate analysis due to data not applicable for children less than 6 years old | |
| Mother overweight (n = 130) | 5.77 (2.33–14.29) | 0.0002 | 6.76 (2.36–19.37) | 0.0004 |
| Father overweight (n = 123) | 1.28 (0.56–2.91) | 0.56 | NS | |
| Study level of mother: higher level vs. lower to intermediate (n = 99) | 0.29 (0.11–0.79) | 0.015 | Study level of parents not integrated in multivariate analysis due to too many missing data | |
| Study level of father: higher level vs. lower to intermediate (n = 95) | 0.52 (0.20–1.39) | 0.19 | ||
| GH treatment | 0.37 (0.13–1.07) | 0.065 | NS | |
| Psychotropic treatment | 1.47 (0.47–4.55) | 0.51 | ||
| NIV | 3.24 (1.14–9.16) | 0.027 | NS | |
Publisher’s Note: MDPI stays neutral with regard to jurisdictional claims in published maps and institutional affiliations. |
© 2022 by the authors. Licensee MDPI, Basel, Switzerland. This article is an open access article distributed under the terms and conditions of the Creative Commons Attribution (CC BY) license (https://creativecommons.org/licenses/by/4.0/).
Share and Cite
Grolleau, S.; Delagrange, M.; Souquiere, M.; Molinas, C.; Diene, G.; Valette, M.; Tauber, M. Impact of Deprivation on Obesity in Children with PWS. J. Clin. Med. 2022, 11, 2255. https://doi.org/10.3390/jcm11082255
Grolleau S, Delagrange M, Souquiere M, Molinas C, Diene G, Valette M, Tauber M. Impact of Deprivation on Obesity in Children with PWS. Journal of Clinical Medicine. 2022; 11(8):2255. https://doi.org/10.3390/jcm11082255
Chicago/Turabian StyleGrolleau, Sabrina, Marine Delagrange, Melina Souquiere, Catherine Molinas, Gwenaëlle Diene, Marion Valette, and Maithé Tauber. 2022. "Impact of Deprivation on Obesity in Children with PWS" Journal of Clinical Medicine 11, no. 8: 2255. https://doi.org/10.3390/jcm11082255
APA StyleGrolleau, S., Delagrange, M., Souquiere, M., Molinas, C., Diene, G., Valette, M., & Tauber, M. (2022). Impact of Deprivation on Obesity in Children with PWS. Journal of Clinical Medicine, 11(8), 2255. https://doi.org/10.3390/jcm11082255

