Oncologic and Long-Term Outcomes of Laparoscopic and Open Extended Cholecystectomy for Gallbladder Cancer
Abstract
:1. Introduction
2. Materials and Methods
2.1. Patients
2.2. Operative Procedures
2.3. Statistical Analyses
3. Results
3.1. Patient Demographics and Baseline Clinical Data
3.2. Perioperative Outcomes
3.3. Histopathologic Data and Tumor Stage
3.4. Recurrence Pattern and Treatment after Recurrence
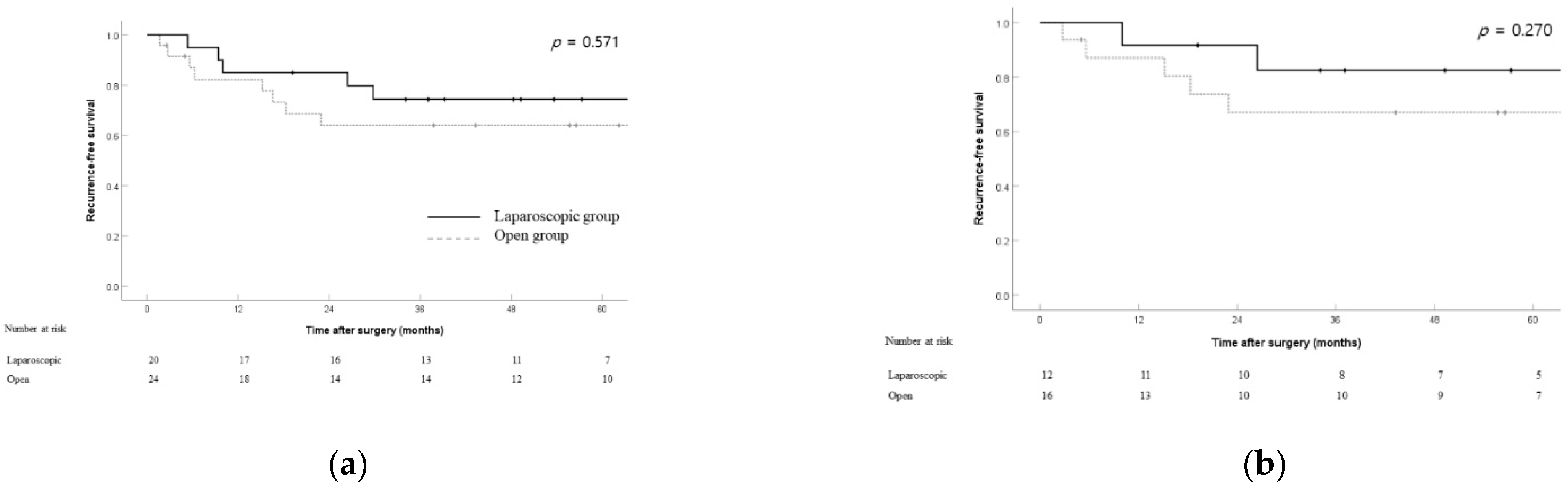
3.5. Long-Term Outcomes
4. Discussion
5. Conclusions
Supplementary Materials
Author Contributions
Funding
Institutional Review Board Statement
Informed Consent Statement
Data Availability Statement
Conflicts of Interest
References
- Lacy, A.M.; Garcia-Valdecasas, J.C.; Delgado, S.; Castells, A.; Taura, P.; Pique, J.M.; Visa, J. Laparoscopy-assisted colectomy versus open colectomy for treatment of non-metastatic colon cancer: A randomised trial. Lancet 2002, 359, 2224–2229. [Google Scholar] [CrossRef]
- Kim, Y.W.; Yoon, H.M.; Yun, Y.H.; Nam, B.H.; Eom, B.W.; Baik, Y.H.; Lee, S.E.; Lee, Y.; Kim, Y.A.; Park, J.Y.; et al. Long-term outcomes of laparoscopy-assisted distal gastrectomy for early gastric cancer: Result of a randomized controlled trial (COACT 0301). Surg. Endosc. 2013, 27, 4267–4276. [Google Scholar] [CrossRef] [PubMed]
- Reddy, Y.P.; Sheridan, W.G. Port-site metastasis following laparoscopic cholecystectomy: A review of the literature and a case report. Eur. J. Surg. Oncol. 2000, 26, 95–98. [Google Scholar] [CrossRef]
- Berger-Richardson, D.; Chesney, T.R.; Englesakis, M.; Govindarajan, A.; Cleary, S.P.; Swallow, C.J. Trends in port-site metastasis after laparoscopic resection of incidental gallbladder cancer: A systematic review. Surgery 2017, 161, 618–627. [Google Scholar] [CrossRef] [PubMed]
- Cho, J.Y.; Han, H.S.; Yoon, Y.S.; Ahn, K.S.; Kim, Y.H.; Lee, K.H. Laparoscopic approach for suspected early-stage gallbladder carcinoma. Arch. Surg. 2010, 145, 128–133. [Google Scholar] [CrossRef] [PubMed] [Green Version]
- De Aretxabala, X.; Leon, J.; Hepp, J.; Maluenda, F.; Roa, I. Gallbladder cancer: Role of laparoscopy in the management of potentially resectable tumors. Surg. Endosc. 2010, 24, 2192–2196. [Google Scholar] [CrossRef] [PubMed]
- Lee, S.E.; Jang, J.Y.; Lim, C.S.; Kang, M.J.; Kim, S.W. Systematic review on the surgical treatment for T1 gallbladder cancer. World J. Gastroenterol. 2011, 17, 174–180. [Google Scholar] [CrossRef]
- Gumbs, A.A.; Jarufe, N.; Gayet, B. Minimally invasive approaches to extrapancreatic cholangiocarcinoma. Surg. Endosc. 2013, 27, 406–414. [Google Scholar] [CrossRef]
- Agarwal, A.K.; Javed, A.; Kalayarasan, R.; Sakhuja, P. Minimally invasive versus the conventional open surgical approach of a radical cholecystectomy for gallbladder cancer: A retrospective comparative study. HPB 2015, 17, 536–541. [Google Scholar] [CrossRef] [Green Version]
- Itano, O.; Oshima, G.; Minagawa, T.; Shinoda, M.; Kitago, M.; Abe, Y.; Hibi, T.; Yagi, H.; Ikoma, N.; Aiko, S.; et al. Novel strategy for laparoscopic treatment of pT2 gallbladder carcinoma. Surg. Endosc. 2015, 29, 3600–3607. [Google Scholar] [CrossRef]
- Shirobe, T.; Maruyama, S. Laparoscopic radical cholecystectomy with lymph node dissection for gallbladder carcinoma. Surg. Endosc. 2015, 29, 2244–2250. [Google Scholar] [CrossRef] [PubMed]
- Yoon, Y.S.; Han, H.S.; Cho, J.Y.; Choi, Y.; Lee, W.; Jang, J.Y.; Choi, H. Is Laparoscopy Contraindicated for Gallbladder Cancer? A 10-Year Prospective Cohort Study. J. Am. Coll. Surg. 2015, 221, 847–853. [Google Scholar] [CrossRef]
- Palanisamy, S.; Patel, N.; Sabnis, S.; Palanisamy, N.; Vijay, A.; Palanivelu, P.; Parthasarthi, R.; Chinnusamy, P. Laparoscopic radical cholecystectomy for suspected early gall bladder carcinoma: Thinking beyond convention. Surg. Endosc. 2016, 30, 2442–2448. [Google Scholar] [CrossRef] [PubMed]
- Kim, S.; Yoon, Y.S.; Han, H.S.; Cho, J.Y.; Choi, Y. Laparoscopic extended cholecystectomy for T3 gallbladder cancer. Surg. Endosc. 2018, 32, 2984–2985. [Google Scholar] [CrossRef]
- Whalen, G.F.; Bird, I.; Tanski, W.; Russell, J.C.; Clive, J. Laparoscopic cholecystectomy does not demonstrably decrease survival of patients with serendipitously treated gallbladder cancer. J. Am. Coll. Surg. 2001, 192, 189–195. [Google Scholar] [CrossRef]
- Ouchi, K.; Mikuni, J.; Kakugawa, Y. Laparoscopic cholecystectomy for gallbladder carcinoma: Results of a Japanese survey of 498 patients. J. Hepatobiliary Pancreat. Surg. 2002, 9, 256–260. [Google Scholar] [CrossRef] [PubMed]
- Goetze, T.; Paolucci, V. Does laparoscopy worsen the prognosis for incidental gallbladder cancer? Surg. Endosc. 2006, 20, 286–293. [Google Scholar] [CrossRef]
- Amin, M.B.; American Joint Committee on Cancer; American Cancer Society. AJCC Cancer Staging Manual, 8th ed.; Edge, S.B., Byrd, D.R., Compton, C.C., Fritz, A.G., Greene, F.L., Trotti, A., Eds.; Springer: Chicago, IL, USA, 2017; p. xvii. 1024p. [Google Scholar]
- Maker, A.V.; Butte, J.M.; Oxenberg, J.; Kuk, D.; Gonen, M.; Fong, Y.; Dematteo, R.P.; D’Angelica, M.I.; Allen, P.J.; Jarnagin, W.R. Is port site resection necessary in the surgical management of gallbladder cancer? Ann. Surg. Oncol. 2012, 19, 409–417. [Google Scholar] [CrossRef]
- Fuks, D.; Regimbeau, J.M.; Pessaux, P.; Bachellier, P.; Raventos, A.; Mantion, G.; Gigot, J.F.; Chiche, L.; Pascal, G.; Azoulay, D.; et al. Is port-site resection necessary in the surgical management of gallbladder cancer? J. Visc. Surg. 2013, 150, 277–284. [Google Scholar] [CrossRef]
- Han, H.S.; Yoon, Y.S.; Agarwal, A.K.; Belli, G.; Itano, O.; Gumbs, A.A.; Yoon, D.S.; Kang, C.M.; Lee, S.E.; Wakai, T.; et al. Laparoscopic Surgery for Gallbladder Cancer: An Expert Consensus Statement. Dig. Surg. 2019, 36, 1–6. [Google Scholar] [CrossRef]
- Greene, F.L.; American Joint Committee on Cancer; American Cancer Society. AJCC Cancer Staging Manual, 6th ed.; Springer: New York, NY, USA, 2002; p. xiv. 421p. [Google Scholar]
- Castro, C.M.; Santibanez, S.P.; Rivas, T.C.; Cassis, N.J. Totally Laparoscopic Radical Resection of Gallbladder Cancer: Technical Aspects and Long-Term Results. World J. Surg. 2018, 42, 2592–2598. [Google Scholar] [CrossRef] [PubMed]
- Liang, X.; Ying, H.; Wang, H.; Xu, H.; Liu, M.; Zhou, H.; Ge, H.; Jiang, W.; Feng, L.; Liu, H.; et al. Enhanced recovery care versus traditional care after laparoscopic liver resections: A randomized controlled trial. Surg. Endosc. 2018, 32, 2746–2757. [Google Scholar] [CrossRef] [PubMed]
- Vega, E.A.; De Aretxabala, X.; Qiao, W.; Newhook, T.E.; Okuno, M.; Castillo, F.; Sanhueza, M.; Diaz, C.; Cavada, G.; Jarufe, N.; et al. Comparison of oncological outcomes after open and laparoscopic re-resection of incidental gallbladder cancer. Br. J. Surg. 2020, 107, 289–300. [Google Scholar] [CrossRef] [PubMed]




| Laparoscopic Group (n = 20) | Open Group (n = 24) | p-Value | |
|---|---|---|---|
| Age, years | 71.85 ± 9.11 | 68.08 ± 10.64 | 0.219 |
| BMI, kg/m2 | 24.88 ± 2.98 | 24.39 ± 2.70 | 0.568 |
| Sex, n (%) | 0.153 | ||
| Male | 5 (25.0) | 11 (45.8) | |
| Female | 15 (75.0) | 13 (54.2) | |
| Diabetes mellitus, n (%) | 7 (35.0) | 10 (41.7) | 0.651 |
| Hypertension, n (%) | 10 (50.0) | 14 (58.3) | 0.580 |
| Hepatitis, n (%) | 0 (0.0) | 2 (8.3) | 0.493 |
| Liver cirrhosis, n (%) | 0 (0.0) | 1 (4.2) | 1.000 |
| Preoperative bilirubin, mg/dL | 0.58 ± 0.26 | 0.83 ± 0.68 | 0.119 |
| Preoperative albumin, g/dL | 3.97 ± 0.46 | 3.90 ± 0.42 | 0.557 |
| Preoperative CA19-9, U/mL | 10.65 ± 7.51 | 24.56 ± 29.54 | 0.097 |
| Postoperative CA19-9, U/mL | 10.64 ± 7.40 | 20.68 ± 19.99 | 0.040 * |
| Incidental GBC, n (%) | 7 (35.0) | 7 (29.2) | 0.679 |
| Open conversion, n (%) | – | 2 (8.3) | – |
| Adjuvant chemotherapy, n (%) | 6 (30.0) | 10 (41.7) | 0.423 |
| Liver resection, n (%) | 0.034 | ||
| No | 1 (5.0) | 1 (4.2) | |
| Wedge | 4 (20.0) | 13 (54.2) | |
| S4b/5 | 15 (75.0) | 10 (41.7) | |
| Extrahepatic common bile duct resection, n (%) | 1 (5.0) | 3 (12.5) | 0.614 |
| Overall survival, months | 51.28 ± 25.81 | 51.65 ± 34.29 | 0.969 |
| Recurrence-free survival, months | 48.9 ± 27.76 | 46.46 ± 35.54 | 0.804 |
| Laparoscopic Group (n = 20) | Open Group (n = 24) | p-Value | |
|---|---|---|---|
| Operative time, min | 186.60 ± 88.14 | 231.67 ± 82.97 | 0.088 |
| Estimated blood loss, mL | 320.00 ± 451.72 | 593.75 ± 912.04 | 0.205 |
| Transfusion, n (%) | 6 (30.0) | 12 (50.0) | 0.179 |
| R0 resection, n (%) | 19 (95.0) | 23 (95.8) | 1.000 |
| Postoperative complications, n (%) | 2 (10.0) | 5 (20.8) | 0.428 |
| Bile leakage | 1 (5.0) | 0 (0.0) | 0.455 |
| Abdominal fluid collection | 1 (5.0) | 4 (16.7) | 0.673 |
| Pulmonary complication | 0 (0.0) | 1 (4.2) | 1.000 |
| Postoperative hospital stay, days | 10.95 ± 4.82 | 12.80 ± 4.87 | 0.216 |
| 90-day mortality, n (%) | 0 (0.0) | 1 (4.2) | 1.000 |
| Laparoscopic Group (n = 20) | Open Group (n = 24) | p-Value | |
|---|---|---|---|
| Tumor size, cm | 3.21 ± 1.90 | 3.64 ± 2.31 | 0.223 |
| Perineural invasion, n (%) | 3 (17.6) | 2 (15.4) | 1.000 |
| Lymphovascular invasion, n (%) | 3 (16.7) | 2 (8.7) | 0.638 |
| Grade, n (%) | 0.549 | ||
| Well/moderate | 15 (75.0) | 14 (58.3) | |
| Poor/undifferentiated | 3 (15.0) | 5 (20.8) | |
| Unknown | 2 (10.0) | 5 (20.8) | |
| pT stage, n (%) | 0.906 | ||
| T1 | 4 (20.0) | 5 (20.8) | |
| T2 | 12 (60.0) | 16 (66.7) | |
| T3 | 4 (20.0) | 3 (12.5) | |
| pN stage | 0.457 | ||
| N0 | 14 (70.0) | 17 (70.8) | |
| N1 | 2 (10.0) | 5 (20.8) | |
| Nx | 4 (20.0) | 2 (8.3) | |
| Pathologic stage (n = 37), n (%) | 0.780 | ||
| I | 4 (20.0) | 4 (16.7) | |
| II | 11 (55.0) | 12 (50.0) | |
| IIIA | 2 (10.0) | 2 (8.3) | |
| IIIB | 2 (10.0) | 4 (16.7) | |
| IVA | 1 (5.0) | 2 (8.3) | |
| Hepatic invasion, n (%) | 3 (15.0) | 3 (12.5) | 1.000 |
| Lymph node metastasis, n (%) | 2 (10.0) | 5 (20.8) | 0.328 |
| Number of retrieved lymph nodes | 5.75 ± 3.54 | 6.75 ± 4.17 | 0.402 |
| Laparoscopic Group (n = 20) | Open Group (n = 24) | p-Value | |
|---|---|---|---|
| Recurrence, n (%) | 0.895 | ||
| None | 15 (75.0) | 16 (66.7) | |
| Locoregional | 2 (10.0) | 4 (16.7) | |
| Distant | 3 (15.0) | 4 (16.7) | |
| Recurrence site, n (%) | |||
| Port-site or incisional site | 0 (0.0) | 0 (0.0) | – |
| Regional lymph nodes | 2 (10.0) | 3 (12.5) | 1.000 |
| Liver | 2 (10.0) | 2 (8.3) | 1.000 |
| Liver cut surface | 0 (0.0) | 2 (8.3) | 0.493 |
| Peritoneum | 2 (10.0) | 2 (8.3) | 1.000 |
| Chemotherapy after recurrence (n = 13) | 2/5 (40) | 8/8 (100) | 0.035 * |
Publisher’s Note: MDPI stays neutral with regard to jurisdictional claims in published maps and institutional affiliations. |
© 2022 by the authors. Licensee MDPI, Basel, Switzerland. This article is an open access article distributed under the terms and conditions of the Creative Commons Attribution (CC BY) license (https://creativecommons.org/licenses/by/4.0/).
Share and Cite
Lee, J.W.; Kwon, J.H.; Lee, J.W. Oncologic and Long-Term Outcomes of Laparoscopic and Open Extended Cholecystectomy for Gallbladder Cancer. J. Clin. Med. 2022, 11, 2132. https://doi.org/10.3390/jcm11082132
Lee JW, Kwon JH, Lee JW. Oncologic and Long-Term Outcomes of Laparoscopic and Open Extended Cholecystectomy for Gallbladder Cancer. Journal of Clinical Medicine. 2022; 11(8):2132. https://doi.org/10.3390/jcm11082132
Chicago/Turabian StyleLee, Jong Woo, Jae Hyun Kwon, and Jung Woo Lee. 2022. "Oncologic and Long-Term Outcomes of Laparoscopic and Open Extended Cholecystectomy for Gallbladder Cancer" Journal of Clinical Medicine 11, no. 8: 2132. https://doi.org/10.3390/jcm11082132
APA StyleLee, J. W., Kwon, J. H., & Lee, J. W. (2022). Oncologic and Long-Term Outcomes of Laparoscopic and Open Extended Cholecystectomy for Gallbladder Cancer. Journal of Clinical Medicine, 11(8), 2132. https://doi.org/10.3390/jcm11082132

