Machine Learning Algorithms: Prediction and Feature Selection for Clinical Refracture after Surgically Treated Fragility Fracture
Abstract
:1. Introduction
2. Materials and Methods
2.1. Study Design and Patients
2.2. Prepared Models
2.2.1. Decision Tree Model
2.2.2. Feature Selection and Relative Importance
2.2.3. ANN: Artificial Neural Network Model
2.2.4. SVM: Support Vector Machine Model
2.2.5. Implementation Details
2.3. Statistical Analysis
3. Results
3.1. Study Characteristics
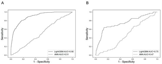
3.2. Comparison of the Models
3.3. Relevant Features by the LightGBM
3.4. Assessments in the Independent Dataset
4. Discussion
5. Conclusions
Author Contributions
Funding
Institutional Review Board Statement
Informed Consent Statement
Data Availability Statement
Acknowledgments
Conflicts of Interest
References
- Sambrook, P.; Cooper, C. Osteoporosis. Lancet 2006, 367, 2010–2018. [Google Scholar] [CrossRef]
- Borgström, F.; Sobocki, P.; Ström, O.; Jönsson, B. The societal burden of osteoporosis in Sweden. Bone 2007, 40, 1602–1609. [Google Scholar] [CrossRef] [PubMed]
- Burge, R.; Dawson-Hughes, B.; Solomon, D.H.; Wong, J.B.; King, A.; Tosteson, A. Incidence and economic burden of osteoporosis-related fractures in the United States, 2005–2025. J. Bone Miner. Res. 2007, 22, 465–475. [Google Scholar] [CrossRef] [PubMed]
- Harvey, N.; Dennison, E.; Cooper, C. Osteoporosis: Impact on health and economics. Nat. Rev. Rheumatol. 2010, 6, 99–105. [Google Scholar] [CrossRef] [PubMed]
- Phuan-Udom, R.; Lektrakul, N.; Katchamart, W. The association between 10-year fracture risk by FRAX and osteoporotic fractures with disease activity in patients with rheumatoid arthritis. Clin. Rheumatol. 2018, 37, 2603–2610. [Google Scholar] [CrossRef]
- Balasubramanian, A.; Zhang, J.; Chen, L.; Wenkert, D.; Daigle, S.G.; Grauer, A.; Curtis, J.R. Risk of subsequent fracture after prior fracture among older women. Osteoporos. Int. 2019, 30, 79–92. [Google Scholar] [CrossRef] [PubMed] [Green Version]
- van Staa, T.P.; Geusens, P.; Bijlsma, J.W.; Leufkens, H.G.; Cooper, C. Clinical assessment of the long-term risk of fracture in patients with rheumatoid arthritis. Arthritis Rheum. 2006, 54, 3104–3112. [Google Scholar] [CrossRef] [PubMed] [Green Version]
- Sujic, R.; Beaton, D.E.; Mamdani, M.; Cadarette, S.M.; Luo, J.; Jaglal, S.; Sale, J.E.M.; Jain, R.; Bogoch, E. Five-year refracture rates of a province-wide fracture liaison service. Osteoporos. Int. 2019, 30, 1671–1677. [Google Scholar] [CrossRef] [PubMed]
- Ishizu, H.; Shimizu, H.; Shimizu, T.; Ebata, T.; Ogawa, Y.; Miyano, M.; Arita, K.; Ohashi, Y.; Iwasaki, N. Rheumatoid arthritis is a risk factor for refracture in patients with fragility fractures. Mod. Rheumatol. 2021, 00, 1–6. [Google Scholar] [CrossRef] [PubMed]
- Lou, S.-J.; Hou, M.-F.; Chang, H.-T.; Chiu, C.-C.; Lee, H.-H.; Yeh, S.-C.J.; Shi, H.-Y. Machine learning algorithms to predict recurrence within 10 years after breast cancer surgery: A prospective cohort study. Cancers 2020, 12, 3817. [Google Scholar] [CrossRef] [PubMed]
- Mosayebi, A.; Mojaradi, B.; Bonyadi Naeini, A.; Khodadad Hosseini, S.H. Modeling and comparing data mining algorithms for prediction of recurrence of breast cancer. PLoS ONE 2020, 15, e0237658. [Google Scholar] [CrossRef] [PubMed]
- Wang, Q.; Wei, J.; Chen, Z.; Zhang, T.; Zhong, J.; Zhong, B.; Yang, P.; Li, W.; Cao, J. Establishment of multiple diagnosis models for colorectal cancer with artificial neural networks. Oncol. Lett. 2019, 17, 3314–3322. [Google Scholar] [CrossRef] [PubMed] [Green Version]
- Bertolaccini, L.; Solli, P.; Pardolesi, A.; Pasini, A. An overview of the use of artificial neural networks in lung cancer research. J Thorac. Dis. 2017, 9, 924–931. [Google Scholar] [CrossRef] [PubMed] [Green Version]
- Yamashita, R.; Nishio, M.; Do, R.K.G.; Togashi, K. Convolutional neural networks: An overview and application in radiology. Insights Imaging 2018, 9, 611–629. [Google Scholar] [CrossRef] [PubMed] [Green Version]
- Ardila, D.; Kiraly, A.P.; Bharadwaj, S.; Choi, B.; Reicher, J.J.; Peng, L.; Tse, D.; Etemadi, M.; Ye, W.; Corrado, G.; et al. End-to-end lung cancer screening with three-dimensional deep learning on low-dose chest computed tomography. Nat. Med. 2019, 25, 954–961. [Google Scholar] [CrossRef]
- Badža, M.M.; Barjaktarović, M.Č. Classification of Brain Tumors from MRI Images Using a Convolutional Neural Network. Appl. Sci. 2020, 10, 1999. [Google Scholar] [CrossRef] [Green Version]
- Fujioka, T.; Mori, M.; Kubota, K.; Kikuchi, Y.; Katsuta, L.; Adachi, M.; Oda, G.; Nakagawa, T.; Kitazume, Y.; Tateishi, U. Breast ultrasound image synthesis using deep convolutional generative adversarial networks. Diagnostics 2019, 9, 176. [Google Scholar] [CrossRef] [PubMed] [Green Version]
- Kwon, S.-H.; Hwang, Y.-J.; Lee, S.-K.; Park, K.-C. Heterogeneous pathology of melasma and its clinical implications. Int. J. Mol. Sci. 2016, 17, 824. [Google Scholar] [CrossRef] [PubMed]
- Moran, M.; Faria, M.; Giraldi, G.; Bastos, L.; Oliveira, L.; Conci, A. Classification of approximal caries in bitewing radiographs using convolutional neural networks. Sensors 2021, 21, 5192. [Google Scholar] [CrossRef] [PubMed]
- Chauhan, R.; Ghanshala, K.K.; Joshi, R.C. Convolutional Neural Network (CNN) for Image Detection and Recognition. In Proceedings of the 2018 First International Conference on Secure Cyber Computing and Communication (ICSCCC), Jalandhar, India, 15–17 December 2018; pp. 278–282. [Google Scholar]
- Zhang, J.; Mucs, D.; Norinder, U.; Svensson, F. LightGBM: An effective and scalable algorithm for prediction of chemical toxicity-application to the Tox21 and mutagenicity data sets. J. Chem. Inf. Model. 2019, 59, 4150–4158. [Google Scholar] [CrossRef] [PubMed]
- Wang, Y.; Wang, T. Application of improved LightGBM Model in blood glucose prediction. Appl. Sci. 2020, 10, 3227. [Google Scholar] [CrossRef]
- Ke, G.; Meng, Q.; Finley, T.; Wang, T.; Chen, W.; Ma, W.; Ye, Q.; Liu, T.-Y. LightGBM: A highly efficient gradient boosting decision tree. In Proceedings of the 31st International Conference on Neural Information Processing Systems, Long Beach, CA, USA, 4–9 December 2017; pp. 3149–3157. [Google Scholar]
- Yan, J.; Xu, Y.; Cheng, Q.; Jiang, S.; Wang, Q.; Xiao, Y.; Ma, C.; Yan, J.; Wang, X. LightGBM: Accelerated genomically designed crop breeding through ensemble learning. Genome Biol. 2021, 22, 271. [Google Scholar] [CrossRef] [PubMed]
- Sibbritt, D.; Gibberd, R. The effective use of a summary table and decision tree methodology to analyze very large healthcare datasets. Health Care Manag. Sci. 2004, 7, 163–171. [Google Scholar] [CrossRef] [PubMed]
- Zeng, H.; Yang, C.; Zhang, H.; Wu, Z.; Zhang, J.; Dai, G.; Babiloni, F.; Kong, W. A LightGBM-based EEG analysis method for driver mental states classification. Comput. Intell. Neurosci. 2019, 3761203. [Google Scholar] [CrossRef] [PubMed]
- Zhang, Y.; Jiang, Z.; Chen, C.; Wei, Q.; Gu, H.; Yu, B. DeepStack-DTIs: Predicting Drug-Target Interactions Using LightGBM Feature Selection and Deep-Stacked Ensemble Classifier. Interdiscip. Sci. 2021, 3, 1–20. [Google Scholar] [CrossRef] [PubMed]
- Shimodan, S.; Sato, D.; Takahashi, K.; Nakamura, Y.; Hyakkan, R.; Watanabe, T.; Hishimura, R.; Ota, M.; Shimizu, H.; Hojo, Y.; et al. Ten years change in post-fracture care for hip fracture patients. J. Bone Miner. Metab. 2020, 38, 222–229. [Google Scholar] [CrossRef] [PubMed]
- Natekin, A.; Knoll, A. Gradient boosting machines, a tutorial. Front. Neurorobot. 2013, 7, 21. [Google Scholar] [CrossRef] [PubMed] [Green Version]
- Arita, S.; Nishiyama, D.; Taniguchi, T.; Fukui, D.; Yamanaka, M.; Yamada, H. Feature selection to classify lameness using a smartphone-based inertial measurement unit. PLoS ONE 2021, 16, e0258067. [Google Scholar] [CrossRef] [PubMed]
- Zhang, L.; Liu, M.; Qin, X.; Liu, G. Succinylation site prediction based on protein sequences using the IFS-LightGBM (BO) model. Comput. Math. Methods Med. 2020, 2020, 8858489. [Google Scholar] [CrossRef] [PubMed]
- Zhou, K.; Hu, Y.; Pan, H.; Kong, L.; Liu, J.; Huang, Z.; Chen, T. Fast prediction of reservoir permeability based on embedded feature selection and LightGBM using direct logging data. Meas. Sci. Technol. 2020, 31, 045101. [Google Scholar] [CrossRef]
- Vapnik, V.N. Pattern recognition using generalized portrait method. Autom. Remote Control 1963, 24, 774–780. [Google Scholar]
- Noble, W.S. What is a support vector machine? Nat. Biotechnol. 2006, 24, 1565–1567. [Google Scholar] [CrossRef]
- Cortes, C.; Vapnik, V. Support-vector networks. Mach. Learn. 1995, 20, 273–297. [Google Scholar] [CrossRef]
- Moler, E.J.; Chow, M.L.; Mian, I.S. Analysis of molecular profile data using generative and discriminative methods. Physiol Genom. 2000, 4, 109–126. [Google Scholar] [CrossRef] [PubMed]
- Akobeng, A.K. Understanding diagnostic tests 3: Receiver operating characteristic curves. Acta Paediatr. 2007, 96, 644–647. [Google Scholar] [CrossRef] [PubMed]
- Belle, V.; Papantonis, I. Principles and practice of explainable machine learning. Front. Big Data 2021, 4, 688969. [Google Scholar] [CrossRef] [PubMed]
- Linardatos, P.; Papastefanopoulos, V.; Kotsiantis, S. Explainable AI: A review of machine learning interpretability methods. Entropy 2020, 23, 18. [Google Scholar] [CrossRef] [PubMed]
- Hruska, K.A.; Mathew, S.; Lund, R. Osteoporosis and cardiovascular disease: Lessons from chronic kidneydisease. Clin. Cases Miner. Bone Metab. 2008, 5, 35–39. [Google Scholar]
- Tasnim, N.; Dutta, P.; Nayeem, J.; Masud, P.; Ferdousi, A.; Ghosh, A.S.; Hossain, M.; Rajia, S.; Kubra, K.T.; Sakibuzzaman, M.; et al. Osteoporosis, an inevitable circumstance of chronic kidney disease: A Systematic Review. Cureus 2021, 13, e18488. [Google Scholar] [CrossRef] [PubMed]
- Llorente, I.; García-Castañeda, N.; Valero, C.; González-Álvaro, I.; Castañeda, S. Osteoporosis in Rheumatoid Arthritis: Dangerous Liaisons. Front. Med. 2020, 7, 601618. [Google Scholar] [CrossRef]
- Lacey, D.L.; Boyle, W.J.; Simonet, W.S.; Kostenuik, P.J.; Dougall, W.C.; Sullivan, J.K.; San Martin, J.; Dansey, R. Bench to bedside: Elucidation of the OPG-RANK-RANKL pathway and the development of denosumab. Nat. Rev. Drug Discov. 2012, 11, 401–419. [Google Scholar] [CrossRef]
- Drake, M.T.; Clarke, B.L.; Khosla, S. Bisphosphonates: Mechanism of action and role in clinical practice. Mayo Clin. Proc. 2008, 83, 1032–1045. [Google Scholar] [CrossRef] [Green Version]
- Conley, R.B.; Adib, G.; Adler, R.A.; Åkesson, K.E.; Alexander, I.M.; Amenta, K.C.; Blank, R.D.; Brox, W.T.; Carmody, E.E.; Chapman-Novakofski, K.; et al. Secondary fracture prevention: Consensus clinical recommendations from a multistakeholder coalition. J. Bone Miner. Res. 2020, 35, 36–52. [Google Scholar] [CrossRef] [Green Version]
- Iihara, N.; Ohara, E.; Bando, Y.; Yoshida, T.; Ohara, M.; Kirino, Y. Fragility fractures in older people in Japan based on the national health insurance claims database. Biol. Pharm. Bull. 2019, 42, 778–785. [Google Scholar] [CrossRef] [Green Version]
- Shimizu, T.; Takahata, M.; Kameda, Y.; Hamano, H.; Ito, T.; Kimura-Suda, H.; Todoh, M.; Tadano, S.; Iwasaki, N. Vitamin K-dependent carboxylation of osteocalcin affects the efficacy of teriparatide (PTH(1-34)) for skeletal repair. Bone 2014, 64, 95–101. [Google Scholar] [CrossRef] [Green Version]
- Elshaikh, A.O.; Shah, L.; Joy Mathew, C.; Lee, R.; Jose, M.T.; Cancarevic, I. Influence of Vitamin K on bone mineral density and osteoporosis. Cureus 2020, 12, e10816. [Google Scholar] [CrossRef] [PubMed]




| Variables | |
|---|---|
| Sex (female) | 79.7% |
| Age | 77.2 ± 0.15 |
| Body Mass Index | 21.7 ± 0.06 |
| Primary fracture site | |
| Proximal part of the femur | 73.7% |
| Proximal part of the humerus | 6.3% |
| Distal part of the radius | 20.0% |
| Diabetes | 19.1% |
| Chronic kidney disease | 21.6% |
| Rheumatoid arthritis | 2.6% |
| Chronic obstructive pulmonary disease | 3.9% |
| Presence of malignant tumor | 12.1% |
| Glucocorticoid use | 2.8% |
| Warfarin use | 5.2% |
| Pre-operative Ca or Vit. D | 6.2% |
| Pre-operative treatments for osteoporosis | 7.9% |
| Post-operative Ca or Vit. D | 12.7% |
| Post-operative treatments for osteoporosis | 28.6% |
| Follow-ups more than 24 months | 39.2% |
| Variables | Training Set | Test Set | p-Value |
|---|---|---|---|
| Sex (female) | 79.6% | 79.9% | 0.584 |
| Age | 77.2 ± 0.18 | 77.2 ± 0.28 | 0.834 |
| Body Mass Index | 21.6 ± 0.06 | 21.8 ± 0.13 | 0.975 |
| Primary fracture site | |||
| Proximal part of the femur | 73.6% | 73.9% | 0.837 |
| Proximal part of the humerus | 6.3% | 6.1% | 0.895 |
| Distal part of the radius | 19.9% | 20.1% | 0.758 |
| Diabetes | 19.6% | 18.8% | 0.459 |
| Chronic kidney disease | 21.6% | 21.5% | 0.915 |
| Rheumatoid arthritis | 2.7% | 2.5% | 0.785 |
| Chronic obstructive pulmonary disease | 3.8% | 4.1% | 0.588 |
| Presence of malignant tumor | 12.5% | 11.1% | 0.077 |
| Glucocorticoid use | 2.8% | 2.7% | 0.758 |
| Warfarin use | 5.0% | 5.5% | 0.333 |
| Pre-operative Ca or Vit. D | 6.0% | 6.7% | 0.262 |
| Pre-operative treatments for osteoporosis | 7.9% | 8.0% | 0.803 |
| Post-operative Ca or Vit. D | 12.9% | 12.4% | 0.63 |
| Post-operative treatments for osteoporosis | 28.7% | 28.6% | 0.92 |
| Follow-ups more than 24 months | 39.3% | 39.0% | 0.781 |
| Feature Names | Relative Importance |
|---|---|
| Chronic kidney disease | 52.1 |
| Rheumatoid arthritis | 31.4 |
| Presence of malignant tumor | 28.4 |
| Primary fracture site: proximal part of humerus | 27.8 |
| Warfarin use | 27.2 |
| No post-operative treatments for osteoporosis | 26.3 |
Publisher’s Note: MDPI stays neutral with regard to jurisdictional claims in published maps and institutional affiliations. |
© 2022 by the authors. Licensee MDPI, Basel, Switzerland. This article is an open access article distributed under the terms and conditions of the Creative Commons Attribution (CC BY) license (https://creativecommons.org/licenses/by/4.0/).
Share and Cite
Shimizu, H.; Enda, K.; Shimizu, T.; Ishida, Y.; Ishizu, H.; Ise, K.; Tanaka, S.; Iwasaki, N. Machine Learning Algorithms: Prediction and Feature Selection for Clinical Refracture after Surgically Treated Fragility Fracture. J. Clin. Med. 2022, 11, 2021. https://doi.org/10.3390/jcm11072021
Shimizu H, Enda K, Shimizu T, Ishida Y, Ishizu H, Ise K, Tanaka S, Iwasaki N. Machine Learning Algorithms: Prediction and Feature Selection for Clinical Refracture after Surgically Treated Fragility Fracture. Journal of Clinical Medicine. 2022; 11(7):2021. https://doi.org/10.3390/jcm11072021
Chicago/Turabian StyleShimizu, Hirokazu, Ken Enda, Tomohiro Shimizu, Yusuke Ishida, Hotaka Ishizu, Koki Ise, Shinya Tanaka, and Norimasa Iwasaki. 2022. "Machine Learning Algorithms: Prediction and Feature Selection for Clinical Refracture after Surgically Treated Fragility Fracture" Journal of Clinical Medicine 11, no. 7: 2021. https://doi.org/10.3390/jcm11072021
APA StyleShimizu, H., Enda, K., Shimizu, T., Ishida, Y., Ishizu, H., Ise, K., Tanaka, S., & Iwasaki, N. (2022). Machine Learning Algorithms: Prediction and Feature Selection for Clinical Refracture after Surgically Treated Fragility Fracture. Journal of Clinical Medicine, 11(7), 2021. https://doi.org/10.3390/jcm11072021

