Evaluation of Inhibitory Antibodies against the Muscarinic Acetylcholine Receptor Type 3 in Patients with Primary Biliary Cholangitis and Primary Sclerosing Cholangitis
Abstract
:1. Introduction
2. Materials and Methods
2.1. Study Population
2.2. Prevalence of Functional mAChR3 Auto-ab in PBC and PSC Patients
2.3. Baseline Characteristics
2.4. Evaluation of Treatment Response to Standard UDCA Therapy
2.5. Statistical Analysis
3. Results
3.1. Study Population
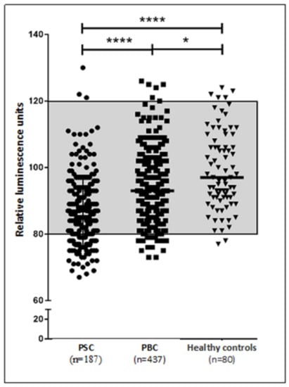
3.2. Prevalence of Functional mAChR3 Auto-ab in PBC and PSC
3.3. Relation between mAChR3 Auto-ab Status and Clinical and Laboratory Baseline Characteristics and Histological Stage of Patients
3.4. One-Year Treatment Response to UDCA in Correlation with Prevalence of Auto-ab in PBC and PSC
3.5. Relation between the Prevalence of Functional mAChR3inh+ Auto-ab and Long-Term Prognosis in PBC and PSC
3.6. Clinical Outcome in Correlation with Prevalence of Functional mAChR3 Auto-ab in PBC and PSC
4. Discussion
Supplementary Materials
Author Contributions
Funding
Institutional Review Board Statement
Informed Consent Statement
Conflicts of Interest
References
- Lindor, K.D.; Bowlus, C.L.; Boyer, J.; Levy, C.; Mayo, M. Primary biliary cholangitis: 2018 practice guidance from the american association for the study of liver diseases. Hepatology 2019, 69, 394–419. [Google Scholar] [CrossRef] [PubMed] [Green Version]
- Dyson, J.K.; Beuers, U.; Jones, D.E.J.; Lohse, A.W.; Hudson, M. Primary sclerosing cholangitis. Lancet 2018, 391, 2547–2559. [Google Scholar] [CrossRef]
- Lazaridis, K.N.; Strazzabosco, M.; Larusso, N.F. The cholangiopathies: Disorders of biliary epithelia. Gastroenterology 2004, 127, 1565–1577. [Google Scholar] [CrossRef]
- Banales, J.M.; Huebert, R.C.; Karlsen, T.; Strazzabosco, M.; LaRusso, N.F.; Gores, G.J. Cholangiocyte pathobiology. Nat. Rev. Gastroenterol. Hepatol. 2019, 16, 269–281. [Google Scholar] [CrossRef] [PubMed]
- Strazzabosco, M.; Fiorotto, R.; Cadamuro, M.; Spirli, C.; Mariotti, V.; Kaffe, E.; Scirpo, R.; Fabris, L. Pathophysiologic implications of innate immunity and autoinflammation in the biliary epithelium. Biochim. Biophys. Acta (BBA)-Mol. Basis Dis. 2018, 1864 Pt B, 1374–1379. [Google Scholar] [CrossRef] [PubMed]
- Beuers, U.; Hohenester, S.; de Buy Wenniger, L.J.M.; Kremer, A.E.; Jansen, P.L.M.; Elferink, R.P.J.O. The biliary HCO3− umbrella: A unifying hypothesis on pathogenetic and therapeutic aspects of fibrosing cholangiopathies. Hepatology 2010, 52, 1489–1496. [Google Scholar] [CrossRef]
- Hohenester, S.; Maillette De Buy Wenniger, L.; Jefferson, D.M.; Oude Elferink, R.P.; Beuers, U. Biliary bicarbonate secretion constitutes a protective mechanism against bile acid-induced injury in man. Dig. Dis. 2011, 29, 62–65. [Google Scholar] [CrossRef] [PubMed] [Green Version]
- Hohenester, S.; Maillette de Buy Wenniger, L.; Paulusma, C.C.; van Vliet, S.J.; Jefferson, D.M.; Oude Elferink, R.P.; Beuers, U. A biliary HCO3− umbrella constitutes a protective mechanism against bile acid-induced injury in human cholangiocytes. Hepatology 2012, 55, 173–183. [Google Scholar] [CrossRef]
- Trampert, D.C.; van de Graaf, S.F.J.; Jongejan, A.; Oude Elferink, R.P.J.; Beuers, U. Hepatobiliary acid-base homeostasis: Insights from analogous secretory epithelia. J. Hepatol. 2021, 74, 428–441. [Google Scholar] [CrossRef]
- Berg, P.A. The role of the innate immune recognition system in the pathogenesis of primary biliary cirrhosis: A conceptual view. Liver Int. 2011, 31, 920–931. [Google Scholar] [CrossRef]
- Cabral-Marques, O.; Riemekasten, G. Functional autoantibodies targeting G protein-coupled receptors in rheumatic diseases. Nat. Rev. Rheumatol. 2017, 13, 648–656. [Google Scholar] [CrossRef] [PubMed]
- Bacman, S.; Sterin-Borda, L.; Camusso, J.J.; Arana, R.; Hubscher, O.; Borda, E. Circulating antibodies against rat parotid gland M3 muscarinic receptors in primary Sjögren’s syndrome. Clin. Exp. Immunol. 1996, 104, 454–459. [Google Scholar] [CrossRef] [PubMed]
- Gao, J.; Cha, S.; Jonsson, R.; Opalko, J.; Peck, A.B. Detection of anti-type 3 muscarinic acetylcholine receptor autoantibodies in the sera of Sjögren’s syndrome patients by use of a transfected cell line assay. Arthritis Rheum. 2004, 50, 2615–2621. [Google Scholar] [CrossRef]
- Sumida, T.; Tsuboi, H.; Iizuka, M.; Asashima, H.; Matsumoto, I. Anti-M3 muscarinic acetylcholine receptor antibodies in patients with Sjögren’s syndrome. Mod. Rheumatol. 2013, 23, 841–845. [Google Scholar] [CrossRef] [PubMed]
- Tsuboi, H.; Matsumoto, I.; Wakamatsu, E.; Nakamura, Y.; Iizuka, M.; Hayashi, T.; Goto, D.; Ito, S.; Sumida, T. New epitopes and function of anti-M3 muscarinic acetylcholine receptor antibodies in patients with Sjögren’s syndrome. Clin. Exp. Immunol. 2010, 162, 53–61. [Google Scholar] [CrossRef] [PubMed] [Green Version]
- Musayeva, A.; Jiang, S.; Ruan, Y.; Zadeh, J.K.; Chronopoulos, P.; Pfeiffer, N.; Müller, W.E.; Ackermann, M.; Xia, N.; Li, H.; et al. Aged mice devoid of the M3 muscarinic acetylcholine receptor develop mild dry eye disease. Int. J. Mol. Sci. 2021, 22, 6133. [Google Scholar] [CrossRef]
- Lindor, K.D.; Gershwin, M.E.; Poupon, R.; Kaplan, M.; Bergasa, N.V.; Heathcote, E.J. Primary biliary cirrhosis. Hepatology 2009, 50, 291–308. [Google Scholar] [CrossRef]
- Selmi, C.; Gershwin, M.E. Chronic autoimmune epithelitis in sjögren’s syndrome and primary biliary cholangitis: A comprehensive review. Rheumatol. Ther. 2017, 4, 263–279. [Google Scholar] [CrossRef]
- Sun, Y.; Zhang, W.; Li, B.; Zou, Z.; Selmi, C.; Gershwin, M.E. The coexistence of Sjögren’s syndrome and primary biliary cirrhosis: A comprehensive review. Clin. Rev. Allergy Immunol. 2015, 48, 301–315. [Google Scholar] [CrossRef]
- Cassiman, D.; Libbrecht, L.; Sinelli, N.; Desmet, V.; Denef, C.; Roskams, T. The vagal nerve stimulates activation of the hepatic progenitor cell compartment via muscarinic acetylcholine receptor type 3. Am. J. Pathol. 2002, 161, 521–530. [Google Scholar] [CrossRef] [Green Version]
- Greverath, L.M.; Leicht, E.; Wald de Chamorro, N.; Wilde, A.C.B.; Steinhagen, L.M.; Lieb, C.; Schmelzle, M.; Chopra, S.; Shibolet, O.; Fischer, J.; et al. Evaluation of muscarinic acetylcholine receptor type 3 gene polymorphisms in patients with primary biliary cholangitis and primary sclerosing cholangitis. Hepatol. Res. 2020, 50, 321–329. [Google Scholar] [CrossRef] [PubMed]
- Alvaro, D.; Alpini, G.; Jezequel, A.M.; Bassotti, C.; Francia, C.; Fraioli, F.; Romeo, R.; Marucci, L.; Le Sage, G.; Glaser, S.S.; et al. Role and mechanisms of action of acetylcholine in the regulation of rat cholangiocyte secretory functions. J. Clin. Investig. 1997, 100, 1349–1362. [Google Scholar] [CrossRef] [PubMed]
- Tsuboi, H.; Ohira, H.; Asashima, H.; Tsuzuki, S.; Iizuka, M.; Matsuo, N.; Kondo, Y.; Matsumoto, I.; Sumida, T. Anti-M3 muscarinic acetylcholine receptor antibodies in patients with primary biliary cirrhosis. Hepatol. Res. 2014, 44, E471–E479. [Google Scholar] [CrossRef] [PubMed] [Green Version]
- Berg, C.P.; Blume, K.; Lauber, K.; Gregor, M.; Berg, P.A.; Wesselborg, S.; Stein, G.M. Autoantibodies to muscarinic acetylcholine receptors found in patients with primary biliary cirrhosis. BMC Gastroenterol. 2010, 10, 120. [Google Scholar] [CrossRef] [Green Version]
- Durchschein, F.; Krones, E.; Pollheimer, M.J.; Zollner, G.; Wagner, M.; Raufman, J.P.; Fickert, P. Genetic loss of the muscarinic M3 receptor markedly alters bile formation and cholestatic liver injury in mice. Hepatol. Res. 2018, 48, E68–E77. [Google Scholar] [CrossRef] [PubMed] [Green Version]
- Preuss, B.; Tunaru, S.; Henes, J.; Offermanns, S.; Klein, R. A novel luminescence-based method for the detection of functionally active antibodies to muscarinic acetylcholine receptors of the M3 type (mAchR3) in patients’ sera. Clin. Exp. Immunol. 2014, 177, 179–189. [Google Scholar] [CrossRef]
- Mayer, C.; Preuss, B.; Grottenthaler, J.; Berg, C.; Klein, R. Antibodies to the muscarinic acetylcholine receptor M3 in primary biliary cholangitis inhibit receptor function on cholangiocytes. Front. Immunol. 2020, 11, 1151. [Google Scholar] [CrossRef]
- European Association for the Study of Liver. EASL clinical practice guidelines: The diagnosis and management of patients with primary biliary cholangitis. J. Hepatol. 2017, 67, 145–172. [Google Scholar] [CrossRef]
- Wilde, A.C.B.; Lieb, C.; Leicht, E.; Greverath, L.M.; Steinhagen, L.M.; Chamorro, N.W.D.; Petersen, J.; Hofmann, W.P.; Hinrichsen, H.; Heyne, R.; et al. Real-world clinical management of patients with primary biliary cholangitis—A retrospective multicenter study from Germany. J. Clin. Med. 2021, 10, 1061. [Google Scholar] [CrossRef]
- De Valle, M.B.; Müller, T.; Björnsson, E.; Otten, M.; Volkmann, M.; Guckelberger, O.; Wiedenmann, B.; Sadik, R.; Schott, E.; Andersson, M.; et al. The impact of elevated serum IgG4 levels in patients with primary sclerosing cholangitis. Dig. Liver Dis. 2014, 46, 903–908. [Google Scholar] [CrossRef]
- Lohse, A.W.; Chazouilleres, O.; Dalekos, G.; Drenth, J.; Heneghan, M.; Hofer, H.; Lammert, F.; Lenzi, M. EASL clinical practice guidelines: Autoimmune hepatitis. J. Hepatol. 2015, 63, 971–1004. [Google Scholar] [CrossRef]
- Ludwig, J.; Dickson, E.R.; McDonald, G.S.A. Staging of chronic nonsuppurative destructive cholangitis (syndrome of primary biliary cirrhosis). Virchows Arch. A Pathol Anat Histol. 1978, 379, 103–112. [Google Scholar] [CrossRef] [PubMed]
- Goet, J.C.; Floreani, A.; Verhelst, X.; Cazzagon, N.; Perini, L.; Lammers, W.J.; de Vries, A.C.; van der Meer, A.J.; van Buuren, H.R.; Hansen, B.E. Validation, clinical utility and limitations of the Amsterdam-Oxford model for primary sclerosing cholangitis. J. Hepatol. 2019, 71, 992–999. [Google Scholar] [CrossRef] [PubMed]
- Corpechot, C.; Abenavoli, L.; Rabahi, N.; Chrétien, Y.; Andréani, T.; Johanet, C.; Chazouillères, O.; Poupon, R. Biochemical response to ursodeoxycholic acid and long-term prognosis in primary biliary cirrhosis. Hepatology 2008, 48, 871–877. [Google Scholar] [CrossRef]
- Carey, E.J.; Ali, A.H.; Lindor, K.D. Primary biliary cirrhosis. Lancet 2015, 386, 1565–1575. [Google Scholar] [CrossRef]
- Carbone, M.; Lleo, A.; Sandford, R.N.; Invernizzi, P. Implications of genome-wide association studies in novel therapeutics in primary biliary cirrhosis. Eur. J. Immunol. 2014, 44, 945. [Google Scholar] [CrossRef] [Green Version]
- Selmi, C.; Lleo, A.; Pasini, S.; Zuin, M.; Gershwin, M.E. Innate immunity and primary biliary cirrhosis. Curr. Mol. Med. 2009, 9, 326–327. [Google Scholar] [CrossRef]
- Inamura, K.; Tsuji, H.; Nakamoto, Y.; Suzuki, M.; Kaneko, S. Transgenic mice aberrantly expressing pyruvate dehydrogenase complex E2 component on biliary epithelial cells do not show primary biliary cirrhosis. Clin. Exp. Immunol. 2006, 145, 93–100. [Google Scholar] [CrossRef]
- Jones, D.E.; Palmer, J.M.; Kirby, J.A.; De Cruz, D.J.; McCaughan, G.W.; Sedgwick, J.D.; Yeaman, S.J.; Burt, A.D.; Bassendine, M.F. Experimental autoimmune cholangitis: A mouse model of immune-mediated cholangiopathy. Liver 2000, 20, 351–356. [Google Scholar] [CrossRef]
- Karrar, A.; Broomé, U.; Södergren, T.; Jaksch, M.; Bergquist, A.; Björnstedt, M.; Sumitran-Holgersson, S. Biliary epithelial cell antibodies link adaptive and innate immune responses in primary sclerosing cholangitis. Gastroenterology 2007, 132, 1504–1514. [Google Scholar] [CrossRef]
- Han, Y.; Glaser, S.; Meng, F.; Francis, H.; Marzioni, M.; McDaniel, K.; Alvaro, D.; Venter, J.; Carpino, G.; Onori, P.; et al. Recent advances in the morphological and functional heterogeneity of the biliary epithelium. Exp. Biol. Med. 2013, 238, 549–565. [Google Scholar] [CrossRef] [PubMed] [Green Version]
- Marzioni, M.M.; Glaser, S.S.; Francis, H.; Phinizy, J.L.; LeSage, G.; Alpini, G. Functional heterogeneity of cholangiocytes. Semin. Liver Dis. 2002, 22, 227–240. [Google Scholar] [CrossRef] [PubMed]
- Feng, Y.; Hu, X.; Liu, G.; Lu, L.; Zhao, W.; Shen, F.; Ma, K.; Sun, C.; Zhu, C.; Zhang, B. M3 muscarinic acetylcholine receptors regulate epithelial-mesenchymal transition, perineural invasion, and migration/metastasis in cholangiocarcinoma through the AKT pathway. Cancer Cell Int. 2018, 18, 173. [Google Scholar] [CrossRef] [PubMed] [Green Version]
- Feng, Y.J.; Zhang, B.Y.; Yao, R.Y.; Lu, Y. Muscarinic acetylcholine receptor M3 in proliferation and perineural invasion of cholangiocarcinoma cells. Hepatobiliary Pancreat. Dis. Int. 2012, 11, 418–423. [Google Scholar] [CrossRef]
- Hering, N.A.; Liu, V.; Kim, R.; Weixler, B.; Droeser, R.A.; Arndt, M.; Pozios, I.; Beyer, K.; Kreis, M.E.; Seeliger, H. Blockage of cholinergic signaling via muscarinic acetylcholine receptor 3 inhibits tumor growth in human colorectal adenocarcinoma. Cancers 2021, 13, 3220. [Google Scholar] [CrossRef] [PubMed]






| Parameter | mAChR3inh+ PBC | n | mAChR3− PBC | n | p |
|---|---|---|---|---|---|
| mAChR3inh+/− status in patients (%) | 11.8 | 46/389 | 88.2 | 343/389 | - |
| Sex: female (%) | 91.3 | 42/46 | 92.1 | 316/343 | ns |
| Age at time of diagnosis (years) | 58(18) | 31/ 46 | 55 (15) | 243/341 | ns |
| Age > 40 (%) | 87.0 | 27/31 | 92.5 | 225/243 | ns |
| Age < 40 (%) | 13.0 | 4/31 | 7.2 | 18/243 | ns |
| AMA | 75.0 | 24/32 | 75.4 | 193/256 | ns |
| Elastography (kPa) * | 8.5 (2.8) | 11/46 | 8.0 (4.7) | 157/343 | ns |
| Clear signs of fibrosis based on ultrasound (%) ** | 65.0 | 13/20 | 49.6 | 120/242 | ns |
| Advanced histological stage (%) *** | 63.6 | 7/11 | 38.7 | 41/106 | ns |
| Sicca syndrome (%) | 17.9 | 5/28 | 15 | 39/260 | ns |
| Autoimmune thyreoiditis (%) | 14.8 | 4/27 | 9.6 | 25/260 | ns |
| Autoimmune hepatitis (%) | 14.3 | 4/28 | 17.3 | 45/260 | ns |
| Rheumatic disorders (%) | 3.7 | 1/27 | 17.3 | 45/260 | ns |
| Alanine aminotransferase (ULN) | 1.7 (1.9) | 45 | 1.3 (1.2) | 329 | 0.01 |
| Aspartate aminotransferase (ULN) | 1.3 (1.5) | 46 | 0.9 (0.7) | 327 | 0.002 |
| Alkaline phosphatase (ULN) | 4.0 (2.9) | 46 | 1.8 (1.9) | 332 | <0.001 |
| Gamma-glutamyltransferase (ULN) | 5.4 (9.8) | 45 | 3.4 (5.2) | 332 | <0.001 |
| Bilirubin (ULN) | 0.7 (0.8) | 46 | 0.4 (0.4) | 311 | <0.001 |
| Albumin (g/dl) | 4.3 (0.5) | 23 | 4.4 (0.5) | 188 | ns |
| INR | 1.1 (0.2) | 6 | 1.0 (0.1) | 67 | ns |
| Platelet count (/nl) | 235 (97) | 37 | 260 (79) | 283 | ns |
| Parameter | mAChR3inh+ PSC | n | mAChR3− PSC | n | p |
|---|---|---|---|---|---|
| mAChR3inh+/− status in patients (%) | 38.1 | 45/118 | 61.9 | 73/118 | - |
| Sex: male (%) | 73.3 | 33/45 | 57.5 | 42/73 | ns |
| Age at time of diagnosis (years) | 37 (15) | 42/45 | 33 (19) | 65/73 | ns |
| Elastography (kPa) * | 7.9 (8.7) | 7/45 | 8.75 (6.25) | 8/73 | ns |
| Clear signs of fibrosis based on ultrasound (%) ** | 50.0 | 19/38 | 50.9 | 28/55 | ns |
| Advanced histological stage (%) *** | 20.6 | 7/34 | 28.4 | 19/67 | ns |
| Ulcerative Colitis (%) | 51.1 | 23/45 | 57.5 | 42/73 | ns |
| Crohn’s disease (%) | 15.6 | 7/45 | 9.6 | 7/73 | ns |
| Autoimmune hepatitis (%) | 22.2 | 10/45 | 2.7 | 2/73 | 0.001 |
| Alanine aminotransferase (ULN) | 1.93 (1.89) | 27 | 2.15 (2.53) | 46 | ns |
| Aspartate aminotransferase (ULN) | 1.06 (0.75) | 28 | 1.06 (1.31) | 45 | ns |
| Alkaline phosphatase (ULN) | 3.06 (4.36) | 26 | 2.78 (3.08) | 46 | ns |
| Gamma-glutamyltransferase (ULN) | 4.93 (5.26) | 26 | 3.77 (6.24) | 46 | ns |
| Bilirubin (ULN) | 0.7 (0.57) | 13 | 0.63 (0.51) | 26 | ns |
| Albumin (g/dl) | 4.3 (1) | 15 | 4.4 (0.6) | 37 | ns |
| Platelet count (/nl) | 278 (88.8) | 27 | 241 (114.9) | 45 | ns |
| Parameter | mAChR3inh+ PBC | n | mAChR3− PBC | n | p |
| Cirrhosis (%) | 64.4 | 29/45 | 42 | 140/333 | 0.019 |
| Ascites, Varices (%) | 46.7 | 7/15 | 17.8 | 32/180 | 0.014 |
| Carcinoma (HCC/CCC) (%) | 5.0 | 1/20 | 0.9 | 2/225 | ns |
| Liver transplant (%) | 13.3 | 6/45 | 5.9 | 20/339 | ns |
| Parameter | mAChR3inh+ PSC | n | mAChR3− PSC | n | p |
| Cirrhosis (%) | 36.8 | 14/38 | 31.6 | 18/57 | ns |
| Ascites (%) | 15.8 | 6/38 | 7.0 | 4/57 | ns |
| Cholangiocarcinoma (HCC/CCC) (%) | 4.4 | 2/45 | 6.8 | 9/73 | ns |
| Liver transplant (%) | 46.0 | 29/63 | 50.8 | 63/124 | ns |
Publisher’s Note: MDPI stays neutral with regard to jurisdictional claims in published maps and institutional affiliations. |
© 2022 by the authors. Licensee MDPI, Basel, Switzerland. This article is an open access article distributed under the terms and conditions of the Creative Commons Attribution (CC BY) license (https://creativecommons.org/licenses/by/4.0/).
Share and Cite
Wilde, A.-C.B.; Greverath, L.M.; Steinhagen, L.M.; de Chamorro, N.W.; Leicht, E.; Fischer, J.; Herta, T.; Berg, T.; Preuss, B.; Klein, R.; et al. Evaluation of Inhibitory Antibodies against the Muscarinic Acetylcholine Receptor Type 3 in Patients with Primary Biliary Cholangitis and Primary Sclerosing Cholangitis. J. Clin. Med. 2022, 11, 681. https://doi.org/10.3390/jcm11030681
Wilde A-CB, Greverath LM, Steinhagen LM, de Chamorro NW, Leicht E, Fischer J, Herta T, Berg T, Preuss B, Klein R, et al. Evaluation of Inhibitory Antibodies against the Muscarinic Acetylcholine Receptor Type 3 in Patients with Primary Biliary Cholangitis and Primary Sclerosing Cholangitis. Journal of Clinical Medicine. 2022; 11(3):681. https://doi.org/10.3390/jcm11030681
Chicago/Turabian StyleWilde, Anne-Christin Beatrice, Lena Maria Greverath, Lara Marleen Steinhagen, Nina Wald de Chamorro, Elise Leicht, Janett Fischer, Toni Herta, Thomas Berg, Beate Preuss, Reinhild Klein, and et al. 2022. "Evaluation of Inhibitory Antibodies against the Muscarinic Acetylcholine Receptor Type 3 in Patients with Primary Biliary Cholangitis and Primary Sclerosing Cholangitis" Journal of Clinical Medicine 11, no. 3: 681. https://doi.org/10.3390/jcm11030681
APA StyleWilde, A.-C. B., Greverath, L. M., Steinhagen, L. M., de Chamorro, N. W., Leicht, E., Fischer, J., Herta, T., Berg, T., Preuss, B., Klein, R., Tacke, F., & Müller, T. (2022). Evaluation of Inhibitory Antibodies against the Muscarinic Acetylcholine Receptor Type 3 in Patients with Primary Biliary Cholangitis and Primary Sclerosing Cholangitis. Journal of Clinical Medicine, 11(3), 681. https://doi.org/10.3390/jcm11030681

