The Clinical Course and Outcomes of Patients Hospitalized Due to COVID-19 during Three Pandemic Waves in Poland: A Single Center Observational Study
Abstract
1. Introduction and Background
2. Material and Methods
2.1. Local Standard of Care
2.2. Study Design
2.3. Statistical Analysis
3. Results
3.1. Comparison between Three Pandemic Waves
3.1.1. Clinical Evaluation on Admission and Comorbidities
3.1.2. Laboratory Findings
3.1.3. Treatment
3.1.4. Complications
3.1.5. Multivariate Analysis
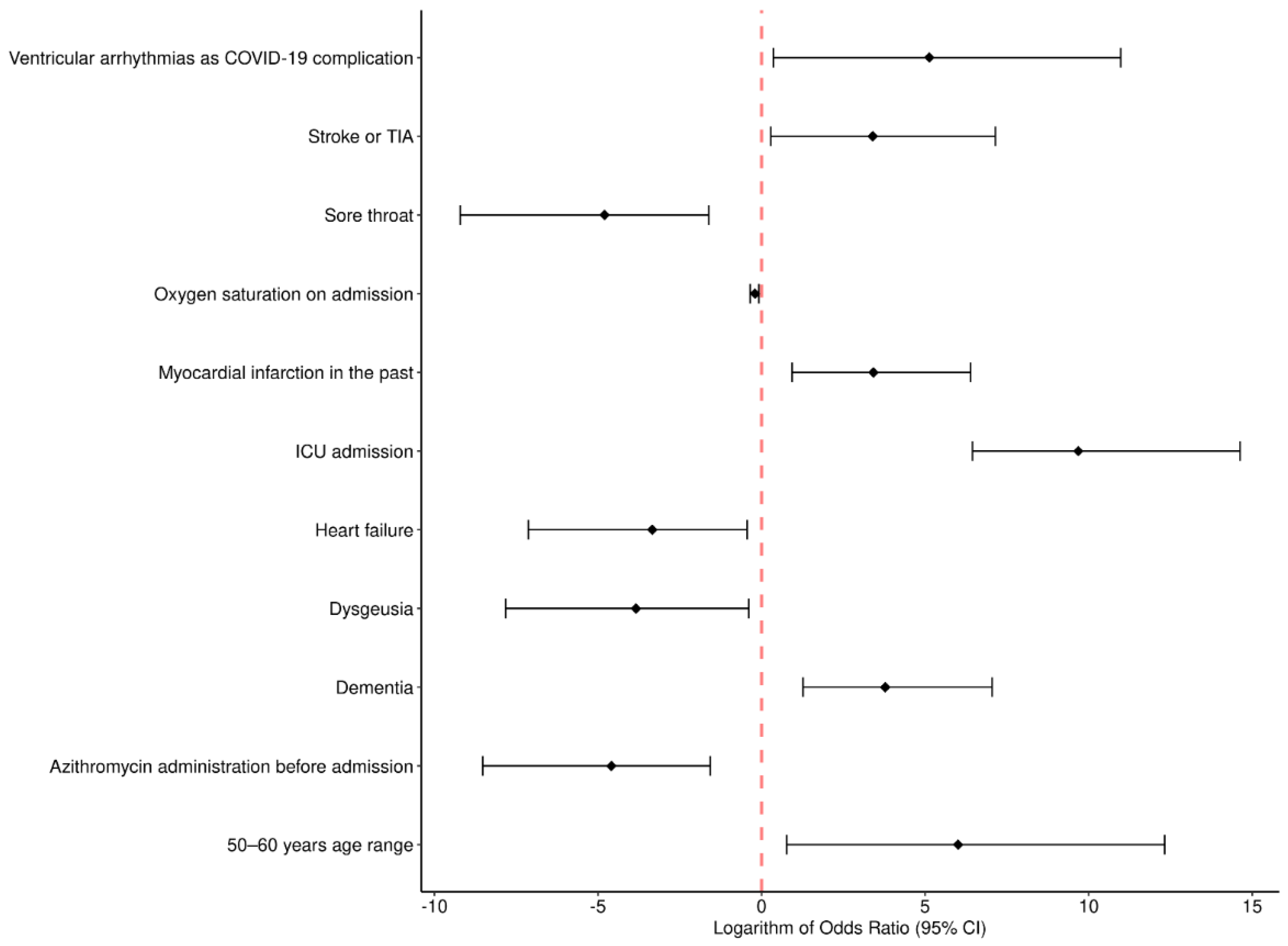
- During the first wave (Figure 2):
- 50–60 years age range, OR 407.37; 95% CI 2.17–223,060.46, p = 0.035;
- Oxygen saturation on admission, OR 0.82; 95% CI 0.71–0.92, p = 0.003;
- Myocardial infarction in the past, OR 30.44; 95% CI 2.53–597.84, p = 0.011;
- Heart failure, OR 0.04; 95% CI 0.00–0.65, p = 0.042;
- Stroke or TIA, OR 29.86; 95% CI 1.33–1278.97, p = 0.047;
- Dementia, OR 43.93; 95% CI 3.54–1158.45, p = 0.008;
- Sore throat, OR 0.01; 95% CI 0.00–0.20, p = 0.012;
- Dysgeusia, OR 0.02; 95% CI 0.00–0.68, p = 0.041;
- Ventricular arrhythmias as COVID-19 complication, OR 168.58; 95% CI 1.43–56,448.69, p = 0.045;
- ICU admission, OR 15,973.93; 95% CI 634.60–2,260,123.88, p < 0.001;
- Azithromycin administration before admission, OR 0.01; 95% CI 0.00–0.21, p = 0.010.
- During the second wave (Figure 3):
- Oxygen saturation on admission, OR 0.92; 95% CI 0.86–0.98, p = 0.008;
- Diabetes mellitus requiring pharmacotherapy, and with diabetes-associated organ damage, OR 0.01; 95% CI 0.00–0.24, p = 0.006;
- Atrial fibrillation/flutter, OR 5.28; 95% CI 1.29–22.09, p = 0.020;
- Supraventricular arrhythmias as COVID-19 complication, OR 29.09; 95% CI 2.46–426.20, p = 0.010;
- Pneumothorax as complication, OR <0.001; 95% CI 0.00–0.07, p = 0.014;
- Bacterial pneumonia as complication OR, 7.98; 95% CI 1.90–35.79, p = 0.005;
- ICU admission, OR 151.44; 95% CI 30.98–943.98, p < 0.001.
- During the third wave:
- None of the factors that were significant in the univariate model were significant in the multivariate analysis.


4. Discussion
Author Contributions
Funding
Institutional Review Board Statement
Informed Consent Statement
Data Availability Statement
Conflicts of Interest
References
- Flisiak, R.; Rzymski, P.; Zarębska-Michaluk, D.; Rogalska, M.; Rorat, M.; Czupryna, P.; Lorenc, B.; Ciechanowski, P.; Kozielewicz, D.; Piekarska, A.; et al. Demographic and Clinical Overview of Hospitalized COVID-19 Patients during the First 17 Months of the Pandemic in Poland. J. Clin. Med. 2022, 11, 117. [Google Scholar] [CrossRef] [PubMed]
- Current Data Polish COVID-19 Epidemiological Sutiation. Available online: https://koronawirusunas.pl/ (accessed on 3 March 2022).
- Włodarczyk, W.C. Remarks on COVID-19 Pandemic in Poland: A Health Policy Perspective. Zesz. Nauk. Ochr. Zdrowia 2020, 18, 126–148. [Google Scholar] [CrossRef]
- Ong, S.W.X.; Chiew, C.J.; Ang, L.W.; Mak, T.M.; Cui, L.; Toh, M.P.H.S.; Lim, Y.D.; Lee, P.H.; Lee, T.H.; Chia, P.Y.; et al. Clinical and Virological Features of Severe Acute Respiratory Syndrome Coronavirus 2 (SARS-CoV-2) Variants of Concern: A Retrospective Cohort Study Comparing B.1.1.7 (Alpha), B.1.351 (Beta), and B.1.617.2 (Delta). Clin. Infect. Dis. 2021, 75, e1128–e1136. [Google Scholar] [CrossRef] [PubMed]
- Toyoshima, Y.; Nemoto, K.; Matsumoto, S.; Nakamura, Y.; Kiyotani, K. SARS-CoV-2 genomic variations associated with mortality rate of COVID-19. J. Hum. Genet. 2020, 65, 1075–1082. [Google Scholar] [CrossRef]
- Wrenn, J.O.; Pakala, S.B.; Vestal, G.; Shilts, M.H.; Brown, H.M.; Bowen, S.M.; Strickland, B.A.; Williams, T.; Mallal, S.A.; Jones, I.D.; et al. COVID-19 severity from Omicron and Delta SARS-CoV-2 variants. Influenza Other Respir. Viruses 2022, 16, 832–836. [Google Scholar] [CrossRef]
- Flisiak, R.; Zarębska-Michaluk, D.; Flisiak-Jackiewicz, M.; Rzymski, P. Updates in Management of SARS-CoV-2 Infection. J. Clin. Med. 2022, 11, 4472. [Google Scholar] [CrossRef]
- Skrzat-Klapaczyńska, A.; Bieńkowski, C.; Kowalska, J.; Paciorek, M.; Puła, J.; Krogulec, D.; Stengiel, J.; Pawełczyk, A.; Perlejewski, K.; Osuch, S.; et al. The Beneficial Effect of the COVID-19 Vaccine Booster Dose among Healthcare Workers in an Infectious Diseases Center. Vaccines 2022, 10, 552. [Google Scholar] [CrossRef]
- Orlewska, K.; Kozieł, D.; Klusek, J.; Orlewska, E. Burden of COVID-19 Mortality and Morbidity in Poland in 2020. Int. J. Environ. Res. Public Health 2022, 19, 5432. [Google Scholar] [CrossRef]
- Flisiak, R.; Horban, A.; Jaroszewicz, J.; Kozielewicz, D.; Mastalerz-Migas, A.; Owczuk, R.; Parczewski, M.; Pawłowska, M.; Piekarska, A.; Simon, K.; et al. Management of SARS-CoV-2 infection: Recommendations of the Polish Association of Epidemiologists and Infectiologists as of April 26, 2021. Pol. Arch. Intern. Med. 2021, 131, 487–496. [Google Scholar] [CrossRef]
- Flisiak, R.; Parczewski, M.; Horban, A.; Jaroszewicz, J.; Kozielewicz, D.; Pawłowska, M.; Piekarska, A.; Simon, K.; Tomasiewicz, K.; Zarębska-Michaluk, D. Management of SARS-CoV-2 infection: Recommendations of the Polish Association of Epidemiologists and Infectiologists. Annex no. 2 as of October 13, 2020. Pol. Arch. Intern. Med. 2020, 130, 915–918. [Google Scholar] [CrossRef]
- Khodaverdi, M.; Price, B.S.; Santangelo, S.L.; Anzalone, A.; Kimble, W.; Porterfield, J.Z.; Vest, M.T.; Hodder, S.L.; Hendricks, B.; Rosen, C.j.; et al. 447. An Ordinal Scale Assessing SARS-CoV-2 Infected Patient Outcomes Using Electronic Health Records. Open Forum Infect. Dis. 2021, 8, S324–S325. [Google Scholar] [CrossRef]
- von Elm, E.; Altman, D.G.; Egger, M.; Pocock, S.J.; Gøtzsche, P.C.; Vandenbroucke, J.P. The Strengthening the Reporting of Observational Studies in Epidemiology (STROBE) statement: Guidelines for reporting observational studies. J. Clin. Epidemiol. 2008, 61, 344–349. [Google Scholar] [CrossRef] [PubMed]
- Stidsen, J.V.; Green, A.; Rosengaard, L.; Højlund, K. Risk of severe COVID-19 infection in persons with diabetes during the first and second waves in Denmark: A nationwide cohort study. Front. Endocrinol. 2022, 13, 1025699. [Google Scholar] [CrossRef] [PubMed]
- Hadadi, A.; Pirzadeh, M.; Kazemian, S.; Ashraf, H.; Ebrahimi, M.; Karbalai Saleh, S.; Talebpour, M. COVID-19 in Iran: Clinical presentations and outcomes in three different surges of COVID-19 infection. Virol. J. 2022, 19, 123. [Google Scholar] [CrossRef] [PubMed]
- Cusinato, M.; Gates, J.; Jajbhay, D.; Planche, T.; Ong, Y.E. Increased risk of death in COVID-19 hospital admissions during the second wave as compared to the first epidemic wave: A prospective, single-centre cohort study in London, UK. Infection 2022, 50, 457–465. [Google Scholar] [CrossRef]
- Bowen, A.; Zucker, J.; Shen, Y.; Huang, S.; Yan, Q.; Annavajhala, M.K.; Uhlemann, A.-C.; Kuhn, L.; Sobieszczyk, M.; Castor, D. Reduction in Risk of Death Among Patients Admitted With COVID-19 Between the First and Second Epidemic Waves in New York City. Open Forum Infect. Dis. 2022, 9, ofac436. [Google Scholar] [CrossRef] [PubMed]
- Ziuzia-Januszewska, L.; Januszewski, M.; Sosnowska-Nowak, J.; Janiszewski, M.; Dobrzyński, P.; Jakimiuk, A.A.; Jakimiuk, A.J. COVID-19 Severity and Mortality in Two Pandemic Waves in Poland and Predictors of Poor Outcomes of SARS-CoV-2 Infection in Hospitalized Young Adults. Viruses 2022, 14, 1700. [Google Scholar] [CrossRef]
- Oda, Y.; Shimada, M.; Shiraishi, S.; Kurai, O. Treatment and outcome of COVID-19 patients in a specialized hospital during the third wave: Advance of age and increased mortality compared with the first/second waves. JA Clin. Rep. 2021, 7, 85. [Google Scholar] [CrossRef]
- Fang, X.; Li, S.; Yu, H.; Wang, P.; Zhang, Y.; Chen, Z.; Li, Y.; Cheng, L.; Li, W.; Jia, H.; et al. Epidemiological, comorbidity factors with severity and prognosis of COVID-19: A systematic review and meta-analysis. Aging 2020, 12, 12493–12503. [Google Scholar] [CrossRef]
- Deshmukh, V.; Motwani, R.; Kumar, A.; Kumari, C.; Raza, K. Histopathological observations in COVID-19: A systematic review. J. Clin. Pathol. 2021, 74, 76–83. [Google Scholar] [CrossRef]
- National Institutes of Health. RT-COVAR Map of SARS-CoV-2 Variants and Mutations from National Institute of Public Health. 2022. Available online: https://covar.mi2.ai/poland/regions (accessed on 3 April 2022).
- Yakovleva, A.; Kovalenko, G.; Redlinger, M.; Liulchuk, M.G.; Bortz, E.; Zadorozhna, V.I.; Scherbinska, A.M.; Wertheim, J.O.; Goodfellow, I.; Meredith, L.; et al. Tracking SARS-COV-2 Variants Using Nanopore Sequencing in Ukraine in Summer 2021. Res. Sq. 2021. [Google Scholar] [CrossRef]
- GISAID Data on SARS-CoV-2 Variants in Each Country. Available online: https://covariants.org/per-country?region=World (accessed on 3 March 2022).
- Zhang, C.; Jin, H.; Wen, Y.F.; Yin, G. Efficacy of COVID-19 Treatments: A Bayesian Network Meta-Analysis of Randomized Controlled Trials. Front. Public Health 2021, 9, 729559. [Google Scholar] [CrossRef] [PubMed]
- Efficacy and safety of two neutralising monoclonal antibody therapies, sotrovimab and BRII-196 plus BRII-198, for adults hospitalised with COVID-19 (TICO): A randomised controlled trial. Lancet Infect. Dis. 2021. [CrossRef]
- Singh, B.; Ryan, H.; Kredo, T.; Chaplin, M.; Fletcher, T. Chloroquine or hydroxychloroquine for prevention and treatment of COVID-19. Cochrane Database Syst. Rev. 2021, 2, Cd013587. [Google Scholar] [CrossRef] [PubMed]
- Million, M.; Roussel, Y.; Gautret, P.; Raoult, D. Effect of hydroxychloroquine and azithromycin on SARS-CoV-2 clearance in COVID-19 patients, a meta-analysis. Int. J. Antimicrob. Agents 2021, 57, 106240. [Google Scholar] [CrossRef] [PubMed]
- Fiolet, T.; Guihur, A.; Rebeaud, M.E.; Mulot, M.; Peiffer-Smadja, N.; Mahamat-Saleh, Y. Effect of hydroxychloroquine with or without azithromycin on the mortality of coronavirus disease 2019 (COVID-19) patients: A systematic review and meta-analysis. Clin. Microbiol. Infect. 2021, 27, 19–27. [Google Scholar] [CrossRef]
- Verdejo, C.; Vergara-Merino, L.; Meza, N.; Pérez-Bracchiglione, J.; Carvajal-Juliá, N.; Madrid, E.; Rada, G.; Rojas Reyes, M.X. Macrolides for the treatment of COVID-19: A living, systematic review. Medwave 2020, 20, e8074. [Google Scholar] [CrossRef]
- National Institutes of Health. COVID-19 Treatment Guidelines Panel. Coronavirus Disease 2019 (COVID-19) Treatment Guidelines. Available online: https://www.covid19treatmentguidelines.nih.gov (accessed on 7 April 2022).
- Zarębska-Michaluk, D.; Jaroszewicz, J.; Rogalska, M.; Martonik, D.; Pabjan, P.; Berkan-Kawińska, A.; Bolewska, B.; Oczko-Grzesik, B.; Kozielewicz, D.; Tudrujek-Zdunek, M.; et al. Effectiveness of Tocilizumab with and without Dexamethasone in Patients with Severe COVID-19: A Retrospective Study. J. Inflamm. Res. 2021, 14, 3359–3366. [Google Scholar] [CrossRef]
- Flisiak, R.; Jaroszewicz, J.; Rogalska, M.; Łapiński, T.; Berkan-Kawińska, A.; Bolewska, B.; Tudrujek-Zdunek, M.; Kozielewicz, D.; Rorat, M.; Leszczyński, P.; et al. Tocilizumab Improves the Prognosis of COVID-19 in Patients with High IL-6. J. Clin. Med. 2021, 10, 1583. [Google Scholar] [CrossRef]
- Kowalska, J.D.; Skrzat-Klapaczyńska, A.; Bursa, D.; Balayan, T.; Begovac, J.; Chkhartishvili, N.; Gokengin, D.; Harxhi, A.; Jilich, D.; Jevtovic, D.; et al. HIV care in times of the COVID-19 crisis—Where are we now in Central and Eastern Europe? Int. J. Infect. Dis. 2020, 96, 311–314. [Google Scholar] [CrossRef]
- Gujski, M.; Jankowski, M.; Rabczenko, D.; Goryński, P.; Juszczyk, G. Characteristics and Clinical Outcomes of 116,539 Patients Hospitalized with COVID-19—Poland, March–December 2020. Viruses 2021, 13, 1458. [Google Scholar] [CrossRef] [PubMed]

| Characteristic | Total | 1st Wave | 2nd Wave | 3rd Wave | p-Value |
|---|---|---|---|---|---|
| n = 2138 | n = 1225 | n = 687 | n = 226 | ||
| Age in years, median [IQR *] | 64 [50–74] | 63 [48–73] | 65 [53–74] | 64 [50–74] | 0.051 |
| Aged 18–50 years, n (%) | 527 (24.6) | 323 (26.4) | 145 (21.1) | 59 (26.1) | 0.008 |
| Aged 50–60 years, n (%) | 326 (15.2) | 190 (15.5) | 97 (14.1) | 39 (17.3) | |
| Aged 60–70 years, n (%) | 542 (25.4) | 282 (23.0) | 210 (30.6) | 50 (22.1) | |
| Aged >70 years, n (%) | 743 (34.8) | 430 (35.1) | 235 (34.2) | 78 (34.5) | |
| Male sex, n (%) | 1235 (57.8) | 726 (59.3) | 380 (55.3) | 129 (57.1) | 0.238 |
| BMI in kg/m2, median [IQR] | 28.4 [25.2–32.4] | 28.3 [24.9–32.0] | 28.5 [26.0–32.8] | 29.0 [24.6–33.8] | 0.08 |
| Healthcare worker, n (%) | 132 (6.5) | 112 (9.7) | 14 (2.1) | 6 (2.7) | <0.001 |
| Comorbidities | |||||
| Past myocardial infarction, n (%) | 152 (7.2) | 65 (5.4) | 70 (10.3) | 17 (7.6) | <0.001 |
| Heart failure, n (%) | 229 (10.8) | 131 (10.8) | 71 (10.4) | 27 (12.1) | 0.781 |
| Atrial fibrillation/flutter, n (%) | 191 (9.1) | 113 (9.3) | 61 (9.0) | 17 (7.6) | 0.701 |
| Hypertension, n (%) | 1042 (49.1) | 588 (48.4) | 341 (50.0) | 113 (50.4) | 0.732 |
| Peripheral vascular disease, n (%) | 73 (3.5) | 39 (3.2) | 31 (4.6) | 3 (1.4) | 0.062 |
| Stroke or TIA **, n (%) | 94 (4.4) | 49 (4.0) | 36 (5.3) | 9 (4.0) | 0.439 |
| Hemiplegia, n (%) | 65 (3.1) | 33 (2.7) | 27 (4.0) | 5 (2.3) | 0.244 |
| Dementia, n (%) | 111 (5.2) | 59 (4.9) | 33 (4.8) | 19 (8.4) | 0.072 |
| COPD ***, n (%) | 111 (5.2) | 59 (4.9) | 37 (5.4) | 15 (6.8) | 0.486 |
| Asthma, n (%) | 134 (6.4) | 79 (6.6) | 47 (6.9) | 8 (3.6) | 0.197 |
| Interstitial lung disease, n (%) | 20 (0.9) | 9 (0.7) | 8 (1.2) | 3 (1.4) | 0.524 |
| Connective tissue disease, n (%) | 45 (2.1) | 24 (2.0) | 15 (2.2) | 6 (2.7) | 0.784 |
| Gastric ulcer, n (%) | 60 (2.8) | 39 (3.2) | 18 (2.6) | 3 (1.3) | 0.28 |
| Liver disease | |||||
| None, n (%) | 2068 (97.6) | 1177 (97.1) | 674 (98.7) | 217 (97.2) | 0.111 |
| Chronic hepatitis or cirrhosis without portal hypertension, n (%) | 39 (1.8) | 24 (2.0) | 9 (1.3) | 6 (2.7) | |
| Cirrhosis and portal hypertension with no history of esophageal varices bleeding, n (%) | 10 (0.5) | 10 (0.8) | 0 (0.0) | 0 (0.0) | |
| Cirrhosis and portal hypertension with a history of bleeding from esophageal varices, n (%) | 1 (0.0) | 1 (0.1) | 0 (0.0) | 0 (0.0) | |
| Diabetes mellitus | |||||
| None or diet-controlled, n (%) | 1725 (81.1) | 1008 (82.8) | 530 (77.5) | 187 (83.5) | 0.016 |
| Requiring pharmacotherapy, without diabetes-associated organ damage, n (%) | 339 (15.9) | 176 (14.4) | 135 (19.7) | 28 (12.5) | |
| Requiring pharmacotherapy, with diabetes-associated organ damage, n (%) | 62 (2.9) | 34 (2.8) | 19 (2.8) | 9 (4.0) | |
| Kidney failure ****, n (%) | 375 (17.7) | 186 (15.3) | 139 (20.6) | 50 (22.1) | 0.003 |
| Tumor | |||||
| None, n (%) | 1988 (93.9) | 1150 (94.6) | 631 (92.9) | 207 (92.8) | 0.586 |
| Without metastases, n (%) | 108 (5.1) | 54 (4.4) | 40 (5.9) | 14 (6.3) | |
| With metastases, n (%) | 22 (1.0) | 12 (1.0) | 8 (1.2) | 2 (0.9) | |
| Lymphoma, n (%) | 26 (1.2) | 15 (1.2) | 7 (1.0) | 4 (1.8) | 0.666 |
| AIDS *****, n (%) | 24 (1.1) | 15 (1.2) | 8 (1.2) | 1 (0.5) | 0.596 |
| HIV ****** infection | |||||
| None, n (%) | 2090 (98.7) | 1199 (98.6) | 668 (98.5) | 223 (99.6) | 0.801 |
| Not treated | 6 (0.3) | 4 (0.3) | 2 (0.3) | 0 (0.0) | |
| On treatment | 22 (1.0) | 13 (1.1) | 8 (1.2) | 1 (0.4) | |
| Immunosuppressive treatment, n (%) | 61 (2.9) | 35 (2.9) | 16 (2.4) | 10 (4.5) | 0.262 |
| Past alcohol abuse (>1 month), n (%) | 63 (3.2) | 27 (2.3) | 26 (4.2) | 10 (5.0) | 0.032 |
| Alcohol abuse during last month, n (%) | 37 (2.0) | 19 (1.8) | 11 (1.8) | 7 (3.4) | 0.272 |
| Smoker, n (%) | 116 (5.9) | 63 (5.4) | 40 (6.5) | 13 (6.4) | 0.625 |
| Non-smoker for at least for 6 months, n (%) | 336 (17.4) | 181 (16.0) | 121 (20.0) | 34 (17.2) | 0.113 |
| Clinical evaluation on admission | |||||
| Oxygen saturation on admission as %, median [IQR] | 93.0 [88.0–97.0] | 94.0 [90.0–97.0] | 90.0 [85.0–94.0] | 91.0 [86.5–96.0] | <0.001 |
| Time interval between first symptoms and admission in days, median [IQR] | 8.0 [6.0–11.0] | 8.0 [6.0–11.0] | 8.0 [6.0–11.0] | 7.0 [5.0–10.0] | 0.022 |
| The three most common symptoms (malaise, fever, cough), n (%) | 2012 (95.3) | 1136 (93.3) | 658 (98.2) | 218 (96.9) | <0.001 |
| Fever >38 degrees Celsius, n (%) | 1560 (74.6) | 880 (73.0) | 513 (77.6) | 167 (74.9) | 0.088 |
| Musculoskeletal pain, n (%) | 836 (40.7) | 497 (42.1) | 272 (41.3) | 67 (31.2) | 0.01 |
| Sore throat, n (%) | 306 (14.9) | 170 (14.4) | 106 (16.1) | 30 (14.2) | 0.579 |
| Rhinitis, n (%) | 256 (12.5) | 135 (11.5) | 86 (13.1) | 35 (16.7) | 0.094 |
| Cough, n (%) | 1655 (79.4) | 934 (77.7) | 544 (81.9) | 177 (81.2) | 0.077 |
| Dyspnea, n (%) | 1301 (62.2) | 690 (57.3) | 465 (69.7) | 146 (65.8) | <0.001 |
| Chest pain, n (%) | 351 (17.1) | 229 (19.4) | 98 (14.9) | 24 (11.2) | 0.003 |
| Hemoptysis, n (%) | 51 (2.5) | 25 (2.1) | 19 (2.9) | 7 (3.3) | 0.435 |
| Dysgeusia, n (%) | 464 (22.6) | 300 (25.4) | 131 (19.9) | 33 (15.6) | <0.001 |
| Dysosmia, n (%) | 452 (22.0) | 299 (25.3) | 118 (17.9) | 35 (16.5) | <0.001 |
| Headache, n (%) | 590 (28.8) | 363 (30.7) | 181 (27.5) | 46 (21.9) | 0.024 |
| Nausea/emesis, n (%) | 369 (18.0) | 209 (17.7) | 132 (20.1) | 28 (13.1) | 0.062 |
| Diarrhea, n (%) | 488 (23.7) | 263 (22.2) | 177 (26.9) | 48 (22.2) | 0.07 |
| Abdominal pain, n (%) | 191 (9.3) | 116 (9.8) | 65 (9.9) | 10 (4.7) | 0.052 |
| Malaise, n (%) | 1557 (74.8) | 852 (71.1) | 543 (81.7) | 162 (74.3) | <0.001 |
| Conjunctivitis, n (%) | 66 (3.2) | 34 (2.9) | 29 (4.4) | 3 (1.4) | 0.059 |
| Laboratory findings on admission | |||||
| C-reactive protein concentration in mg/L (norm: <10 mg/L), median [IQR] | 63.0 [34.0–160.0] | 60.0 [30.0–159.2] | 69 [43.8–166.0] | 63.5 [32.5–148.0] | <0.001 |
| Procalcitonin concentration in ng/ml (norm: <0.5 ng/ml), median [IQR] | 0.1 [0.0–0.2] | 0.0 [0.0–0.1] | 0.1 [0.0–0.2] | 0.1 [0.1–0.4] | <0.001 |
| Interleukin 6 concentration in pg/ml (norm: <6.65 pg/ml), median [IQR] | 43.2 [18.2–87.3] | 37.9 [16.1–77.4] | 51.8 [22.4–95.1] | 40.2 [16.1–100.0] | <0.001 |
| D-dimers concentration in ng/L (norm: <500 ng/L), median [IQR] | 1059.8 [680.2–1799.0] | 1011.8 [638.0–1793.3] | 1127.6 [775.1–1818.3] | 1076.4 [625.0–1781.5] | 0.002 |
| Fibrinogen concentration in g/L (norm: 2.2–5.0), median [IQR] | 6.7 [5.3–8.2] | 6.5 [5.2–8.1] | 7.0 [5.6–8.7] | 6.1 [4.7–7.9] | <0.001 |
| Platelet count in 1000 cells/mm3 (norm: 125.3–396.2 cells/mm3), median [IQR] | 214.0 [163.0–282.0] | 219.0 [168.0–291.0] | 207.0 [157.2–271.0] | 204.0 [156.2–271.5] | 0.001 |
| Creatinine concentration between 46 and 92 μmol/L, n (%) | 1477 (69.9) | 868 (71.6) | 467 (69.2) | 142 (62.8) | 0.101 |
| Creatinine concentration <46 μmol/L, n (%) | 81 (3.8) | 46 (3.8) | 26 (3.9) | 9 (4.0) | |
| Creatinine concentration >92 μmol/L, n (%) | 555 (26.3) | 298 (24.6) | 182 (27.0) | 75 (33.2) | |
| Urea concentration between 2.5 and 7.1 mmol/L, n (%), | 1350 (64.0) | 794 (65.6) | 427 (63.5) | 129 (57.1) | 0.105 |
| Urea concentration >7.1 mmol/L, n (%) | 702 (33.3) | 388 (32.1) | 225 (33.5) | 89 (39.4) | |
| Sodium concentration between 137 and 145 mmol/L, n (%) | 1229 (58.4) | 739 (61.2) | 344 (51.0) | 146 (65.2) | <0.001 |
| Sodium concentration <137 mmol/L, n (%) | 830 (39.4) | 447 (37.0) | 317 (47.0) | 66 (29.5) | |
| Sodium concentration >145 mmol/L, n (%) | 47 (2.2) | 22 (1.8) | 13 (1.9) | 12 (5.4) | |
| Potassium concentration between 3.6 and 5.0 mmol/L, n (%) | 1704 (80.9) | 984 (81.4) | 538 (79.8) | 182 (81.2) | 0.421 |
| Potassium concentration <3.6 mmol/L, n (%) | 299 (14.2) | 166 (13.7) | 106 (15.7) | 27 (12.1) | |
| Potassium concentration >5.0 mmol/L, n (%) | 59 (4.9) | 30 (4.5) | 15 (6.7) | 104 (4.9) | |
| Alanine aminotransferase activity between 4 and 35 U/L in women and 4 and 50 U/L in men, n (%) | 1327 (63.0) | 804 (66.3) | 394 (58.7) | 129 (57.3) | <0.001 |
| Alanine aminotransferase concentration >35 U/L in women and >50 U/L in men, n (%) | 781 (37.0) | 408 (33.7) | 277 (41.3) | 96 (42.7) | |
| Aspartate aminotransferase activity between 10 and 36 U/L in women and 10–59 U/L in men, n (%) | 1034 (49.2) | 659 (54.6) | 278 (41.7) | 97 (42.9) | <0.001 |
| Aspartate aminotransferase >36 U/L in women and >59 U/L in men, n (%) | 1066 (50.8) | 548 (45.4) | 389 (58.3) | 129 (57.1) | |
| Lipase activity in U/L between 23 and 300 U/L, n (%) | 1602 (82.7) | 883 (82.6) | 533 (81.7) | 186 (86.1) | 0.34 |
| Lipase activity >300 U/L, n (%) | 304 (15.7) | 172 (16.1) | 107 (16.4) | 25 (11.6) | |
| Phosphocreatine kinase between 30 and 135 U/L in women and 30 and 170 U/L in men, n (%) | 855 (42.3) | 511 (44.3) | 266 (40.7) | 78 (36.1) | <0.001 |
| Phosphocreatine kinase >135 U/L in women and >170 U/L in men, n (%) | 712 (35.2) | 356 (30.9) | 257 (39.3) | 99 (45.8) | |
| Treatment | |||||
| Chloroquine, n (%) | 28 (1.3) | 26 (2.1) | 1 (0.1) | 1 (0.4) | 0.001 |
| Hydroxychloroquine, n (%) | 32 (1.5) | 32 (2.7) | 0 (0.0) | 0 (0.0) | <0.001 |
| Tocilizumab, n (%) | 36 (1.7) | 16 (1.3) | 11 (1.6) | 9 (4.0) | 0.015 |
| Remdesivir, n (%) | 1035 (49.0) | 434 (35.8) | 466 (68.6) | 135 (60.5) | <0.001 |
| Steroids, n (%) | 1351 (63.9) | 639 (52.8) | 547 (80.7) | 165 (73.0) | <0.001 |
| Heparin, n (%) | 1737 (83.8) | 914 (77.1) | 627 (94.4) | 196 (87.5) | <0.001 |
| Azithromycin, n (%) | 374 (18.3) | 259 (22.1) | 98 (15.0) | 17 (7.7) | <0.001 |
| Other antibiotics, n (%) | 1646 (79.0) | 888 (74.4) | 589 (88.3) | 169 (76.1) | <0.001 |
| Complications during hospitalization | |||||
| Supraventricular arrhythmias, n (%) | 52 (2.5) | 23 (1.9) | 22 (3.3) | 7 (3.2) | 0.144 |
| Ventricular arrhythmias, n (%) | 25 (1.2) | 7 (0.6) | 16 (2.4) | 2 (0.9) | 0.002 |
| Myocardial infarction, n (%) | 37 (1.7) | 15 (1.2) | 17 (2.5) | 5 (2.2) | 0.114 |
| Stroke, n (%) | 16 (0.8) | 6 (0.5) | 9 (1.3) | 1 (0.4) | 0.118 |
| Pneumothorax, n (%) | 26 (1.2) | 5 (0.4) | 11 (1.6) | 10 (4.5) | <0.001 |
| Nosocomial infection, n (%) | 261 (12.3) | 133 (11.0) | 100 (14.7) | 28 (12.5) | 0.062 |
| Bacterial pneumonia, n (%) | 248 (11.7) | 129 (10.7) | 90 (13.2) | 29 (12.9) | 0.209 |
| Thromboembolic complications, n (%) | 129 (6.1) | 46 (3.8) | 57 (8.4) | 26 (11.6) | <0.001 |
| Gastrointestinal hemorrhage, n (%) | 20 (0.9) | 16 (1.3) | 3 (0.4) | 1 (0.4) | 0.119 |
| ICU ****** admission, n (%) | 180 (8.4) | 90 (7.3) | 62 (9.0) | 28 (12.4) | 0.034 |
| Death, n (%) | 274 (12.8) | 131 (10.7) | 105 (15.3) | 36 (16.8) | 0.003 |
Publisher’s Note: MDPI stays neutral with regard to jurisdictional claims in published maps and institutional affiliations. |
© 2022 by the authors. Licensee MDPI, Basel, Switzerland. This article is an open access article distributed under the terms and conditions of the Creative Commons Attribution (CC BY) license (https://creativecommons.org/licenses/by/4.0/).
Share and Cite
Bieńkowski, C.; Kowalska, J.D.; Paciorek, M.; Wasilewski, P.; Uliczny, P.; Garbacz-Łagożna, E.; Pihowicz, A.; Mrozińska, M.; Dyda, T.; Makowiecki, M.; et al. The Clinical Course and Outcomes of Patients Hospitalized Due to COVID-19 during Three Pandemic Waves in Poland: A Single Center Observational Study. J. Clin. Med. 2022, 11, 7386. https://doi.org/10.3390/jcm11247386
Bieńkowski C, Kowalska JD, Paciorek M, Wasilewski P, Uliczny P, Garbacz-Łagożna E, Pihowicz A, Mrozińska M, Dyda T, Makowiecki M, et al. The Clinical Course and Outcomes of Patients Hospitalized Due to COVID-19 during Three Pandemic Waves in Poland: A Single Center Observational Study. Journal of Clinical Medicine. 2022; 11(24):7386. https://doi.org/10.3390/jcm11247386
Chicago/Turabian StyleBieńkowski, Carlo, Justyna D. Kowalska, Marcin Paciorek, Piotr Wasilewski, Paweł Uliczny, Ewelina Garbacz-Łagożna, Andrzej Pihowicz, Monika Mrozińska, Tomasz Dyda, Michał Makowiecki, and et al. 2022. "The Clinical Course and Outcomes of Patients Hospitalized Due to COVID-19 during Three Pandemic Waves in Poland: A Single Center Observational Study" Journal of Clinical Medicine 11, no. 24: 7386. https://doi.org/10.3390/jcm11247386
APA StyleBieńkowski, C., Kowalska, J. D., Paciorek, M., Wasilewski, P., Uliczny, P., Garbacz-Łagożna, E., Pihowicz, A., Mrozińska, M., Dyda, T., Makowiecki, M., Puła, J., & Horban, A. (2022). The Clinical Course and Outcomes of Patients Hospitalized Due to COVID-19 during Three Pandemic Waves in Poland: A Single Center Observational Study. Journal of Clinical Medicine, 11(24), 7386. https://doi.org/10.3390/jcm11247386

