Long-Term Domiciliary High-Flow Nasal Therapy in Patients with Bronchiectasis: A Preliminary Retrospective Observational Case-Control Study
Abstract
1. Introduction
2. Materials and Methods
2.1. Study Design
2.2. Patient Population
2.3. Control Population
2.4. High-Flow Nasal Therapy
2.5. Data Collection and Outcome Assessment
2.6. Bronchiectasis Severity Evaluation
2.7. Outcomes
2.8. Statistical Analysis
3. Results
3.1. Baseline Patient Characteristics
3.2. Primary Outcome
3.3. Secondary Outcomes
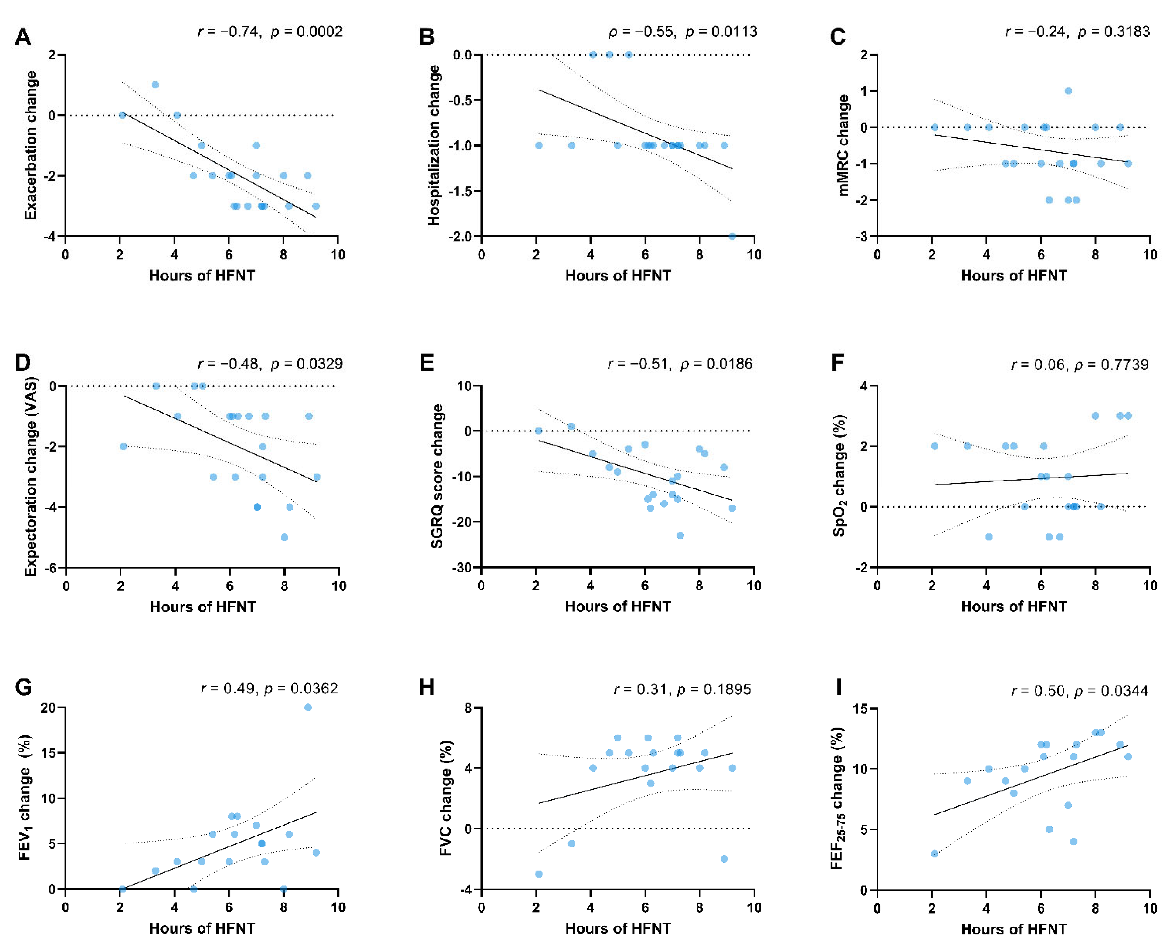
3.4. Correlation between Time of High-Flow Nasal Therapy Use and Outcomes Changes
3.5. Safety
4. Discussion
5. Conclusions
Author Contributions
Funding
Institutional Review Board Statement
Informed Consent Statement
Data Availability Statement
Conflicts of Interest
Abbreviations
| BE | Bronchiectasis |
| BMI | Body mass index |
| BSI | Bronchiectasis Severity Index |
| COPD | Chronic obstructive pulmonary disease |
| FEF25–75 | Forced expiratory flow between 25% and 75% of FVC |
| FEV1 | Forced expiratory volume in the 1st second |
| FVC | Forced vital capacity |
| HFNT | High-flow nasal therapy |
| ICS | Inhaled corticosteroids |
| LABA | Long-acting beta2-agonist |
| LAMA | Long-acting muscarinic antagonist |
| mMRC | modified Medical Research Council |
| SGRQ | Saint George Respiratory Questionnaire |
| SpO2 | Peripheral blood oxygen saturation |
| VAS | Visual analog scale |
References
- Aliberti, S.; Goeminne, P.C.; O’Donnell, A.E.; Aksamit, T.R.; Al-Jahdali, H.; Barker, A.F.; Blasi, F.; Boersma, W.G.; Crichton, M.L.; De Soyza, A.; et al. Criteria and definitions for the radiological and clinical diagnosis of bronchiectasis in adults for use in clinical trials: International consensus recommendations. Lancet Respir. Med. 2022, 10, 298–306. [Google Scholar] [CrossRef] [PubMed]
- O’Donnell, A.E. Bronchiectasis—A Clinical Review. N. Engl. J. Med. 2022, 387, 533–545. [Google Scholar] [CrossRef] [PubMed]
- Crimi, C.; Ferri, S.; Crimi, N. Bronchiectasis and asthma: A dangerous liaison? Curr. Opin. Allergy Clin. Immunol. 2019, 19, 46–52. [Google Scholar] [CrossRef]
- Crimi, C.; Ferri, S.; Campisi, R.; Crimi, N. The Link between Asthma and Bronchiectasis: State of the Art. Respiration 2020, 99, 463–476. [Google Scholar] [CrossRef] [PubMed]
- Crimi, C.; Campisi, R.; Nolasco, S.; Ferri, S.; Cacopardo, G.; Impellizzeri, P.; Pistorio, M.P.; Fagone, E.; Pelaia, C.; Heffler, E.; et al. Type 2-High Severe Asthma with and without Bronchiectasis: A Prospective Observational Multicentre Study. J. Asthma Allergy 2021, 14, 1441–1452. [Google Scholar] [CrossRef]
- Quint, J.K.; Millett, E.R.; Joshi, M.; Navaratnam, V.; Thomas, S.L.; Hurst, J.R.; Smeeth, L.; Brown, J.S. Changes in the incidence, prevalence and mortality of bronchiectasis in the UK from 2004 to 2013: A population-based cohort study. Eur. Respir. J. 2016, 47, 186–193. [Google Scholar] [CrossRef]
- Diel, R.; Chalmers, J.D.; Rabe, K.F.; Nienhaus, A.; Loddenkemper, R.; Ringshausen, F.C. Economic burden of bronchiectasis in Germany. Eur. Respir. J. 2019, 53, 1802033. [Google Scholar] [CrossRef]
- Vestbo, J.; Prescott, E.; Lange, P. Association of chronic mucus hypersecretion with FEV1 decline and chronic obstructive pulmonary disease morbidity. Copenhagen City Heart Study Group. Am. J. Respir. Crit. Care Med. 1996, 153, 1530–1535. [Google Scholar] [CrossRef]
- Melton, L. Does mucus hypersecretion matter in airway disease? Lancet 2002, 359, 1924. [Google Scholar] [CrossRef]
- Lange, P.; Nyboe, J.; Appleyard, M.; Jensen, G.; Schnohr, P. Relation of ventilatory impairment and of chronic mucus hypersecretion to mortality from obstructive lung disease and from all causes. Thorax 1990, 45, 579–585. [Google Scholar] [CrossRef] [PubMed]
- Flude, L.J.; Agent, P.; Bilton, D. Chest physiotherapy techniques in bronchiectasis. Clin. Chest. Med. 2012, 33, 351–361. [Google Scholar] [CrossRef]
- Maiz Carro, L.; Martinez-Garcia, M.A. Nebulized hypertonic saline in noncystic fibrosis bronchiectasis: A comprehensive review. Ther. Adv. Respir. Dis. 2019, 13, 1753466619866102. [Google Scholar] [CrossRef]
- Kilgour, E.; Rankin, N.; Ryan, S.; Pack, R. Mucociliary function deteriorates in the clinical range of inspired air temperature and humidity. Intensive Care Med. 2004, 30, 1491–1494. [Google Scholar] [CrossRef] [PubMed]
- Mauri, T.; Turrini, C.; Eronia, N.; Grasselli, G.; Volta, C.A.; Bellani, G.; Pesenti, A. Physiologic Effects of High-Flow Nasal Cannula in Acute Hypoxemic Respiratory Failure. Am. J. Respir. Crit. Care Med. 2017, 195, 1207–1215. [Google Scholar] [CrossRef]
- Crimi, C.; Cortegiani, A. Why, whether and how to use high-flow nasal therapy in acute exacerbations of chronic obstructive pulmonary disease. J. Comp. Eff. Res. 2021, 10, 1317–1321. [Google Scholar] [CrossRef]
- Rochwerg, B.; Einav, S.; Chaudhuri, D.; Mancebo, J.; Mauri, T.; Helviz, Y.; Goligher, E.C.; Jaber, S.; Ricard, J.D.; Rittayamai, N.; et al. The role for high flow nasal cannula as a respiratory support strategy in adults: A clinical practice guideline. Intensive Care Med. 2020, 46, 2226–2237. [Google Scholar] [CrossRef] [PubMed]
- Oczkowski, S.; Ergan, B.; Bos, L.; Chatwin, M.; Ferrer, M.; Gregoretti, C.; Heunks, L.; Frat, J.P.; Longhini, F.; Nava, S.; et al. ERS clinical practice guidelines: High-flow nasal cannula in acute respiratory failure. Eur. Respir. J. 2022, 59, 2101574. [Google Scholar] [CrossRef] [PubMed]
- Crimi, C.; Noto, A.; Madotto, F.; Ippolito, M.; Nolasco, S.; Campisi, R.; De Vuono, S.; Fiorentino, G.; Pantazopoulos, I.; Chalkias, A.; et al. High-flow nasal oxygen versus conventional oxygen therapy in patients with COVID-19 pneumonia and mild hypoxaemia: A randomised controlled trial. Thorax 2022, 1–8. [Google Scholar] [CrossRef]
- Crimi, C.; Pierucci, P.; Renda, T.; Pisani, L.; Carlucci, A. High-Flow Nasal Cannula and COVID-19: A Clinical Review. Respir. Care 2022, 67, 227–240. [Google Scholar] [CrossRef]
- Cortegiani, A.; Crimi, C.; Sanfilippo, F.; Noto, A.; Di Falco, D.; Grasselli, G.; Gregoretti, C.; Giarratano, A. High flow nasal therapy in immunocompromised patients with acute respiratory failure: A systematic review and meta-analysis. J. Crit. Care 2019, 50, 250–256. [Google Scholar] [CrossRef]
- Cortegiani, A.; Crimi, C.; Noto, A.; Helviz, Y.; Giarratano, A.; Gregoretti, C.; Einav, S. Effect of high-flow nasal therapy on dyspnea, comfort, and respiratory rate. Crit. Care 2019, 23, 201. [Google Scholar] [CrossRef]
- Cortegiani, A.; Longhini, F.; Madotto, F.; Groff, P.; Scala, R.; Crimi, C.; Carlucci, A.; Bruni, A.; Garofalo, E.; Raineri, S.M.; et al. High flow nasal therapy versus noninvasive ventilation as initial ventilatory strategy in COPD exacerbation: A multicenter non-inferiority randomized trial. Crit. Care 2020, 24, 692. [Google Scholar] [CrossRef] [PubMed]
- Crimi, C.; Noto, A.; Cortegiani, A.; Campisi, R.; Heffler, E.; Gregoretti, C.; Crimi, N. High Flow Nasal Therapy Use in Patients with Acute Exacerbation of COPD and Bronchiectasis: A Feasibility Study. COPD J. Chronic Obstr. Pulm. Dis. 2020, 17, 184–190. [Google Scholar] [CrossRef] [PubMed]
- Rea, H.; McAuley, S.; Jayaram, L.; Garrett, J.; Hockey, H.; Storey, L.; O’Donnell, G.; Haru, L.; Payton, M.; O’Donnell, K. The clinical utility of long-term humidification therapy in chronic airway disease. Respir. Med. 2010, 104, 525–533. [Google Scholar] [CrossRef]
- Storgaard, L.H.; Hockey, H.U.; Laursen, B.S.; Weinreich, U.M. Long-term effects of oxygen-enriched high-flow nasal cannula treatment in COPD patients with chronic hypoxemic respiratory failure. Int. J. Chron. Obstruct. Pulmon. Dis. 2018, 13, 1195–1205. [Google Scholar] [CrossRef]
- Nagata, K.; Kikuchi, T.; Horie, T.; Shiraki, A.; Kitajima, T.; Kadowaki, T.; Tokioka, F.; Chohnabayashi, N.; Watanabe, A.; Sato, S.; et al. Domiciliary High-Flow Nasal Cannula Oxygen Therapy for Patients with Stable Hypercapnic Chronic Obstructive Pulmonary Disease. A Multicenter Randomized Crossover Trial. Ann. Am. Thorac. Soc. 2018, 15, 432–439. [Google Scholar] [CrossRef]
- Nagata, K.; Horie, T.; Chohnabayashi, N.; Jinta, T.; Tsugitomi, R.; Shiraki, A.; Tokioka, F.; Kadowaki, T.; Watanabe, A.; Fukui, M.; et al. Home High-Flow Nasal Cannula Oxygen Therapy for Stable Hypercapnic COPD: A Randomized Trial. Am. J. Respir. Crit. Care Med. 2022, 206, 1433–1434. [Google Scholar] [CrossRef]
- Good, W.R.; Garrett, J.; Hockey, H.U.P.; Jayaram, L.; Wong, C.; Rea, H. The role of high-flow nasal therapy in bronchiectasis: A post hoc analysis. ERJ Open Res. 2021, 7, 1–3. [Google Scholar] [CrossRef] [PubMed]
- Polverino, E.; Goeminne, P.C.; McDonnell, M.J.; Aliberti, S.; Marshall, S.E.; Loebinger, M.R.; Murris, M.; Canton, R.; Torres, A.; Dimakou, K.; et al. European Respiratory Society guidelines for the management of adult bronchiectasis. Eur. Respir. J. 2017, 50, 1700629. [Google Scholar] [CrossRef] [PubMed]
- Hasani, A.; Chapman, T.H.; McCool, D.; Smith, R.E.; Dilworth, J.P.; Agnew, J.E. Domiciliary humidification improves lung mucociliary clearance in patients with bronchiectasis. Chron. Respir. Dis. 2008, 5, 81–86. [Google Scholar] [CrossRef] [PubMed]
- Hill, A.T.; Haworth, C.S.; Aliberti, S.; Barker, A.; Blasi, F.; Boersma, W.; Chalmers, J.D.; De Soyza, A.; Dimakou, K.; Elborn, J.S.; et al. Pulmonary exacerbation in adults with bronchiectasis: A consensus definition for clinical research. Eur. Respir. J. 2017, 49, 1700051. [Google Scholar] [CrossRef]
- Mahler, D.A.; Wells, C.K. Evaluation of clinical methods for rating dyspnea. Chest 1988, 93, 580–586. [Google Scholar] [CrossRef]
- Wilson, C.B.; Jones, P.W.; O’Leary, C.J.; Cole, P.J.; Wilson, R. Validation of the St. George’s Respiratory Questionnaire in bronchiectasis. Am. J. Respir. Crit. Care Med. 1997, 156, 536–541. [Google Scholar] [CrossRef]
- Jones, P.W.; Quirk, F.H.; Baveystock, C.M. The St George’s Respiratory Questionnaire. Respir. Med. 1991, 85 (Suppl. B), 25–31; [Google Scholar] [CrossRef]
- Bhalla, M.; Turcios, N.; Aponte, V.; Jenkins, M.; Leitman, B.S.; McCauley, D.I.; Naidich, D.P. Cystic fibrosis: Scoring system with thin-section CT. Radiology 1991, 179, 783–788. [Google Scholar] [CrossRef]
- Chalmers, J.D.; Goeminne, P.; Aliberti, S.; McDonnell, M.J.; Lonni, S.; Davidson, J.; Poppelwell, L.; Salih, W.; Pesci, A.; Dupont, L.J.; et al. The bronchiectasis severity index. An international derivation and validation study. Am. J. Respir. Crit. Care Med. 2014, 189, 576–585. [Google Scholar] [CrossRef]
- Murray, M.P.; Pentland, J.L.; Turnbull, K.; MacQuarrie, S.; Hill, A.T. Sputum colour: A useful clinical tool in non-cystic fibrosis bronchiectasis. Eur. Respir. J. 2009, 34, 361–364. [Google Scholar] [CrossRef] [PubMed]
- Aitken, R.C. Measurement of feelings using visual analogue scales. Proc R Soc Med 1969, 62, 989–993. [Google Scholar]
- Miller, M.R.; Hankinson, J.; Brusasco, V.; Burgos, F.; Casaburi, R.; Coates, A.; Crapo, R.; Enright, P.; van der Grinten, C.P.; Gustafsson, P.; et al. Standardisation of spirometry. Eur. Respir. J. 2005, 26, 319–338. [Google Scholar] [CrossRef] [PubMed]
- Reid, L.M. Reduction in bronchial subdivision in bronchiectasis. Thorax 1950, 5, 233–247. [Google Scholar] [CrossRef] [PubMed]
- Pasteur, M.C.; Helliwell, S.M.; Houghton, S.J.; Webb, S.C.; Foweraker, J.E.; Coulden, R.A.; Flower, C.D.; Bilton, D.; Keogan, M.T. An investigation into causative factors in patients with bronchiectasis. Am. J. Respir. Crit. Care Med. 2000, 162, 1277–1284. [Google Scholar] [CrossRef] [PubMed]
- Cole, P.J. Inflammation: A two-edged sword--the model of bronchiectasis. Eur. J. Respir. Dis. Suppl. 1986, 147, 6–15. [Google Scholar]
- Flume, P.A.; Chalmers, J.D.; Olivier, K.N. Advances in bronchiectasis: Endotyping, genetics, microbiome, and disease heterogeneity. Lancet 2018, 392, 880–890. [Google Scholar] [CrossRef] [PubMed]
- Budden, K.F.; Shukla, S.D.; Rehman, S.F.; Bowerman, K.L.; Keely, S.; Hugenholtz, P.; Armstrong-James, D.P.H.; Adcock, I.M.; Chotirmall, S.H.; Chung, K.F.; et al. Functional effects of the microbiota in chronic respiratory disease. Lancet Respir. Med. 2019, 7, 907–920. [Google Scholar] [CrossRef] [PubMed]
- Hill, D.B.; Button, B.; Rubinstein, M.; Boucher, R.C. Physiology and pathophysiology of human airway mucus. Physiol. Rev. 2022, 102, 1757–1836. [Google Scholar] [CrossRef]
- Fontanari, P.; Zattara-Hartmann, M.C.; Burnet, H.; Jammes, Y. Nasal eupnoeic inhalation of cold, dry air increases airway resistance in asthmatic patients. Eur. Respir. J. 1997, 10, 2250–2254. [Google Scholar] [CrossRef]
- On, L.S.; Boonyongsunchai, P.; Webb, S.; Davies, L.; Calverley, P.M.; Costello, R.W. Function of pulmonary neuronal M(2) muscarinic receptors in stable chronic obstructive pulmonary disease. Am. J. Respir. Crit. Care Med. 2001, 163, 1320–1325. [Google Scholar] [CrossRef]
- Boucher, R.C. Muco-Obstructive Lung Diseases. N. Engl. J. Med. 2019, 380, 1941–1953. [Google Scholar] [CrossRef] [PubMed]
- Milne, R.J.; Hockey, H.; Rea, H. Long-term air humidification therapy is cost-effective for patients with moderate or severe chronic obstructive pulmonary disease or bronchiectasis. Value Health 2014, 17, 320–327. [Google Scholar] [CrossRef]
- Lai, S.K.; Wang, Y.Y.; Wirtz, D.; Hanes, J. Micro- and macrorheology of mucus. Adv. Drug Deliv. Rev. 2009, 61, 86–100. [Google Scholar] [CrossRef]
- Williams, R.; Rankin, N.; Smith, T.; Galler, D.; Seakins, P. Relationship between the humidity and temperature of inspired gas and the function of the airway mucosa. Crit. Care Med. 1996, 24, 1920–1929. [Google Scholar] [CrossRef]
- Okajima, Y.; Come, C.E.; Nardelli, P.; Sonavane, S.K.; Yen, A.; Nath, H.P.; Terry, N.; Grumley, S.A.; Ahmed, A.; Kligerman, S.; et al. Luminal Plugging on Chest CT Scan: Association with Lung Function, Quality of Life, and COPD Clinical Phenotypes. Chest 2020, 158, 121–130. [Google Scholar] [CrossRef]
- Chidekel, A.; Zhu, Y.; Wang, J.; Mosko, J.J.; Rodriguez, E.; Shaffer, T.H. The effects of gas humidification with high-flow nasal cannula on cultured human airway epithelial cells. Pulm. Med. 2012, 2012, 380686. [Google Scholar] [CrossRef] [PubMed]
- Elshof, J.; Duiverman, M.L. Clinical Evidence of Nasal High-Flow Therapy in Chronic Obstructive Pulmonary Disease Patients. Respiration 2020, 99, 140–153. [Google Scholar] [CrossRef]
- Impellizzeri, P.; Nolasco, S.; Campisi, R.; Cipolla, A.; Borgese, A.; Alia, S.; Crimi, N.; Crimi, C. Acute and long-term management of severe bronchiectasis with high flow nasal therapy: A case report. Monaldi Arch. Chest Dis. 2022, 1–8. [Google Scholar] [CrossRef] [PubMed]
- Menendez, R.; Mendez, R.; Polverino, E.; Rosales-Mayor, E.; Amara-Elori, I.; Reyes, S.; Posadas, T.; Fernandez-Barat, L.; Torres, A. Factors associated with hospitalization in bronchiectasis exacerbations: A one-year follow-up study. Respir. Res. 2017, 18, 176. [Google Scholar] [CrossRef] [PubMed]
- Sanchez-Munoz, G.; Lopez de Andres, A.; Jimenez-Garcia, R.; Carrasco-Garrido, P.; Hernandez-Barrera, V.; Pedraza-Serrano, F.; Puente-Maestu, L.; de Miguel-Diez, J. Time Trends in Hospital Admissions for Bronchiectasis: Analysis of the Spanish National Hospital Discharge Data (2004 to 2013). PLoS ONE 2016, 11, e0162282. [Google Scholar] [CrossRef] [PubMed]
- Ferri, S.; Crimi, C.; Heffler, E.; Campisi, R.; Noto, A.; Crimi, N. Vitamin D and disease severity in bronchiectasis. Respir. Med. 2019, 148, 1–5. [Google Scholar] [CrossRef]
- Criner, G.J.; Criner, L.H.; George, S.A.; Thomas, J.K.; Jacobs, M.R. Feasibility of Using Daily Home High-Flow Nasal Therapy in COPD Patients Following a Recent COPD Hospitalization. Chronic Obstr. Pulm. Dis. 2022, 9, 4–14. [Google Scholar] [CrossRef]
- Vorobjeva, N.V.; Chernyak, B.V. NETosis: Molecular Mechanisms, Role in Physiology and Pathology. Biochemistry 2020, 85, 1178–1190. [Google Scholar] [CrossRef]
- Chilvers, M.A.; Rutman, A.; O’Callaghan, C. Functional analysis of cilia and ciliated epithelial ultrastructure in healthy children and young adults. Thorax 2003, 58, 333–338. [Google Scholar] [CrossRef]
- Wallmeier, J.; Nielsen, K.G.; Kuehni, C.E.; Lucas, J.S.; Leigh, M.W.; Zariwala, M.A.; Omran, H. Motile ciliopathies. Nat. Rev. Dis. Primers 2020, 6, 77. [Google Scholar] [CrossRef] [PubMed]
- Conway, J.H.; Fleming, J.S.; Perring, S.; Holgate, S.T. Humidification as an adjunct to chest physiotherapy in aiding tracheo-bronchial clearance in patients with bronchiectasis. Respir. Med. 1992, 86, 109–114. [Google Scholar] [CrossRef] [PubMed]
- Spoletini, G.; Alotaibi, M.; Blasi, F.; Hill, N.S. Heated Humidified High-Flow Nasal Oxygen in Adults: Mechanisms of Action and Clinical Implications. Chest 2015, 148, 253–261. [Google Scholar] [CrossRef]
- Kuo, Y.L.; Chien, C.L.; Ko, H.K.; Lai, H.C.; Lin, T.L.; Lee, L.N.; Chang, C.Y.; Shen, H.S.; Lu, C.C. High-flow nasal cannula improves respiratory impedance evaluated by impulse oscillometry in chronic obstructive pulmonary disease patients: A randomised controlled trial. Sci. Rep. 2022, 12, 6981. [Google Scholar] [CrossRef]
- Roberts, H.R.; Wells, A.U.; Milne, D.G.; Rubens, M.B.; Kolbe, J.; Cole, P.J.; Hansell, D.M. Airflow obstruction in bronchiectasis: Correlation between computed tomography features and pulmonary function tests. Thorax 2000, 55, 198–204. [Google Scholar] [CrossRef] [PubMed]
- Sibila, O.; Laserna, E.; Shoemark, A.; Perea, L.; Bilton, D.; Crichton, M.L.; De Soyza, A.; Boersma, W.G.; Altenburg, J.; Chalmers, J.D. Heterogeneity of treatment response in bronchiectasis clinical trials. Eur. Respir. J. 2022, 59, 2100777. [Google Scholar] [CrossRef]
- Effect of AIRVO Heated Humidification in Bronchiectasis (AIRVO-BX). Available online: https://clinicaltrials.gov/ct2/show/NCT04102774 (accessed on 24 October 2022).





| HFNT (n = 20) | Control (n = 20) | p-Value | |
|---|---|---|---|
| Age, years, mean (SD) | 70.7 (9.4) | 68.6 (8.9) | 0.4835 |
| Female, n (%) | 14 (70) | 14 (70) | 0.9999 |
| BMI, Kg/m2, mean (SD) | 24.8 (7.6) | 25.6 (7.9) | 0.7542 |
| Smoking history, n (%) | |||
| Current | 1 (5) | 1 (5) | 0.9999 |
| Ex-smoker | 4 (20) | 6 (30) | 0.7164 |
| Cardiovascular disease, n (%) | 12 (60) | 11 (55) | 0.9999 |
| GERD, n (%) | 13 (65) | 11 (55) | 0.7475 |
| Depression and/or anxiety, n (%) | 7 (35) | 5 (25) | 0.7311 |
| Bronchiectasis aetiology, n (%) | |||
| Idiopathic | 4 (20) | 6 (30) | 0.7164 |
| Post-infective | 7 (35) | 4 (20) | 0.4801 |
| Chronic obstructive pulmonary disease | 5 (25) | 5 (25) | 0.9999 |
| Immunodeficiency | 1 (5) | 4 (20) | 0.3416 |
| Primary ciliary dyskinesia | 1 (5) | 1 (5) | 0.9999 |
| Inflammatory bowel disease | 1 (5) | n/a | n/a |
| Severe asthma | 2 (10) | 2 (10) | 0.9999 |
| ICS-LABA, n (%) | 5 (25) | 5 (25) | 0.9999 |
| ICS-LABA and/or LAMA, n (%) | 10 (50) | 10 (50) | 0.9999 |
| LAMA + LABA, n (%) | 5 (25) | 5 (25) | 0.9999 |
| Long-term macrolide therapy, n (%) | 10 (50) | 7 (32.5) | 0.5231 |
| Airway clearance and/or pulmonary rehabilitation, n (%) | 20 (100) | 20 (100) | 0.9999 |
| Annual exacerbations, mean (SD) | 4.6 (1.4) | 4 (1.4) | 0.5964 |
| Annual severe exacerbations requiring hospitalizations, mean (SD) | 1.6 (0.6) | 1.4 (0.6) | 0.8091 |
| mMRC dyspnea scale, mean (SD) | 2.6 (0.6) | 2.4 (0.7) † | 0.3398 |
| Difficulty of mucus expectoration VAS, mean (SD) | 6.9 (2) | 7.1 (1.7) † | 0.4745 |
| Mucus features, n (%) | |||
| Mucous | 2 (10) | 1 (9.1) † | 0.9999 |
| Mucopurulent | 10 (50) | 7 (63.6) † | 0.7074 |
| Purulent | 8 (40) | 3 (27.3) † | 0.6979 |
| SGRQ, mean (SD) | 65.1 (14.6) | 69.6 (13.3) † | 0.4055 |
| SpO2 at rest, %, mean (SD) | 92.8 (1.9) | 93.3 (1.9) † | 0.6959 |
| Patients with SpO2 at rest <92% at room air, n (%) | 5 (25) | 4 (20) | 0.9999 |
| Long-term oxygen therapy, n (%) | 4 (20) | 4 (20) | 0.9999 |
| FEV1, % predicted, mean (SD) | 58.8 (18) | 63.2 (17.7) ¶ | 0.4652 |
| FVC, % predicted, mean (SD) | 69.2 (12.6) | 76.7 (17) ¶ | 0.1489 |
| FEF25–75, % predicted, mean (SD) | 45.2 (12.9) | 46.4 (12.8) † | 0.9907 |
| Alpha-1 antitrypsin, mg/dL, median (IQR) | 159 (149–182) | 162 (151–190) | 0.6061 |
| HFNT (n = 20) | Control (n = 20) | p-Value | |
|---|---|---|---|
| Bhalla score, mean (SD) | 10.1 (3.5) | 13.3 (3.7) | 0.0344 |
| Bhalla, n (%) | |||
| Mild (16–25) | 1 (5) | 3 (27.3) | 0.1154 |
| Moderate (9–15) | 13 (65) | 7 (63.6) | 0.9999 |
| Severe (0–8) | 6 (30) | 1 (9.1) | 0.3717 |
| BSI, mean (SD) | 12.4 (3.6) | 12.3 (3.5) | 0.8950 |
| BSI, n (%) | |||
| Mild (0–4) | 0 (0) | 0 (0) | 0.9999 |
| Moderate (5–8) | 2 (10) | 2 (10) | 0.9999 |
| Severe (≥9) | 18 (90) | 18 (90) | 0.9999 |
| Sputum cultures, n (%) | |||
| Negative | 6 (30) | 5 (25) | 0.9999 |
| Pseudomonas aeruginosa | 8 (40) | 9 (45) | 0.9999 |
| Other bacteria | 3 (7.5) | 3 (7.5) | 0.9999 |
| Aspergillus fumigatus | 1 (5) | 1 (5) | 0.9999 |
| HFNT | Control | |||||
|---|---|---|---|---|---|---|
| 12 Months | Change from Baseline * | 12 Months | Change from Baseline * | Difference * and Relative Risk | p-Value | |
| Annual exacerbations, mean (SD) | 2.6 (1.4) | −2 (−2.9 to −1.1) | 3.9 (1.6) | −0.1 (−0.9 to 0.7) | −1.9 (−2.8 to −0.9) | 0.0005 |
| Patients with ≥ 3 annual exacerbations, n (%) | 12 (60) | −7 (−35) | 17 (85) | −0 (−0) | 0.6 (0.4 to 0.0) | 0.0084 |
| Annual severe exacerbations requiring hospitalizations, mean (SD) | 0.7 (0.5) | −0.9 (−1.1 to −0.7) | 1.2 (0.8) | −0.2 (−0.5 to 0.1) | −0.7 (−1.1 to −0.3) | 0.0006 |
| Patients with ≥ 1 annual hospitalization, n (%) | 13 (65) | −7 (−35) | 16 (80) | −4 (−20) | 0.8 (0.5 to 1.2) | 0.4801 |
| mMRC dyspnea scale, mean (SD) | 2 (0.7) | −0.6 (−1.0 to −0.3) | 2.3 (0.5) | −0.1 (−0.6 to +0.4) † | −0.5 (−0.0 to +1.2) | 0.6447 |
| Difficulty of mucus expectoration VAS, mean (SD) | 4.9 (2.2) | −2 (−2.7 to −1.3) | 7.3 (2.1) | +0.2 (−1.9 to +2.2) † | −2.2 (−3.9 to −0.5) | 0.0124 |
| Mucus features, n (%) | ||||||
| Mucous | 9 (45) | +7 (+35) | 2 (18.9) | +1 (8.9) | - | 0.2409 |
| Mucopurulent | 6 (30) | −4 (−20) | 5 (45.5) | −2 (45.5) | - | 0.4524 |
| Purulent | 5 (25) | −3 (−15) | 4 (36.4) | +1 (36.4) | - | 0.6828 |
| SGRQ, mean (SD) | 55.2 (11.3) | −9.9 (−12.9 to −6.8) | 70 (10.5) | +0.5 (−9.0 to +10.6) † | −10.4 (−20.2 to −0.6) | 0.0391 |
| SpO2 at rest, %, mean (SD) | 93.8 (1.7) | +1 (+0.3 to +1.6) | 93.4 (1.9) | +0 (−1 to +1) † | +1 (−0.1 to +2) | 0.0845 |
| FEV1, % predicted, mean (SD) | 64.3 (18.7) | +5.6 (+3.5 to +7.6) | 62.7 (17.8) | −0.6 (−5.4 to +4.2) ¶ | +6.1 (+1 to +11.3) | 0.0219 |
| FVC, % predicted, mean (SD) | 72.8 (11.6) | +3.6 (+2.3 to +5.0) | 75.8 (18.9) | −1 (−4.7 to +2.8) ¶ | +4.6 (+0.8 to +8.3) | 0.0188 |
| FEF25–75, % predicted, mean (SD) | 55.1 (12.2) | +9.9 (+8.3 to +11.5) | 42.9 (11.5) | −3.5 (−5.6 to −1.5) † | +13.4 (+11 to +15.9) | <0.0001 |
Publisher’s Note: MDPI stays neutral with regard to jurisdictional claims in published maps and institutional affiliations. |
© 2022 by the authors. Licensee MDPI, Basel, Switzerland. This article is an open access article distributed under the terms and conditions of the Creative Commons Attribution (CC BY) license (https://creativecommons.org/licenses/by/4.0/).
Share and Cite
Crimi, C.; Nolasco, S.; Campisi, R.; Nigro, M.; Impellizzeri, P.; Cortegiani, A.; Noto, A.; Gramegna, A.; Vancheri, C.; Blasi, F.; et al. Long-Term Domiciliary High-Flow Nasal Therapy in Patients with Bronchiectasis: A Preliminary Retrospective Observational Case-Control Study. J. Clin. Med. 2022, 11, 7323. https://doi.org/10.3390/jcm11247323
Crimi C, Nolasco S, Campisi R, Nigro M, Impellizzeri P, Cortegiani A, Noto A, Gramegna A, Vancheri C, Blasi F, et al. Long-Term Domiciliary High-Flow Nasal Therapy in Patients with Bronchiectasis: A Preliminary Retrospective Observational Case-Control Study. Journal of Clinical Medicine. 2022; 11(24):7323. https://doi.org/10.3390/jcm11247323
Chicago/Turabian StyleCrimi, Claudia, Santi Nolasco, Raffaele Campisi, Mattia Nigro, Pietro Impellizzeri, Andrea Cortegiani, Alberto Noto, Andrea Gramegna, Carlo Vancheri, Francesco Blasi, and et al. 2022. "Long-Term Domiciliary High-Flow Nasal Therapy in Patients with Bronchiectasis: A Preliminary Retrospective Observational Case-Control Study" Journal of Clinical Medicine 11, no. 24: 7323. https://doi.org/10.3390/jcm11247323
APA StyleCrimi, C., Nolasco, S., Campisi, R., Nigro, M., Impellizzeri, P., Cortegiani, A., Noto, A., Gramegna, A., Vancheri, C., Blasi, F., Crimi, N., Aliberti, S., & Carlucci, A. (2022). Long-Term Domiciliary High-Flow Nasal Therapy in Patients with Bronchiectasis: A Preliminary Retrospective Observational Case-Control Study. Journal of Clinical Medicine, 11(24), 7323. https://doi.org/10.3390/jcm11247323

