A Comparison among Nonvitamin K Antagonist Oral Anticoagulants in Asian Patients with Venous Thromboembolism: A Multi-Institutional Study
Abstract
1. Introduction
2. Methods
2.1. Data Sources
2.2. Study Population and Design
2.3. Exposure and Covariates
2.4. Outcomes
2.5. Statistical Analysis
2.6. Ethics Statement
3. Results
3.1. Patient Characteristics and Baseline Demographics
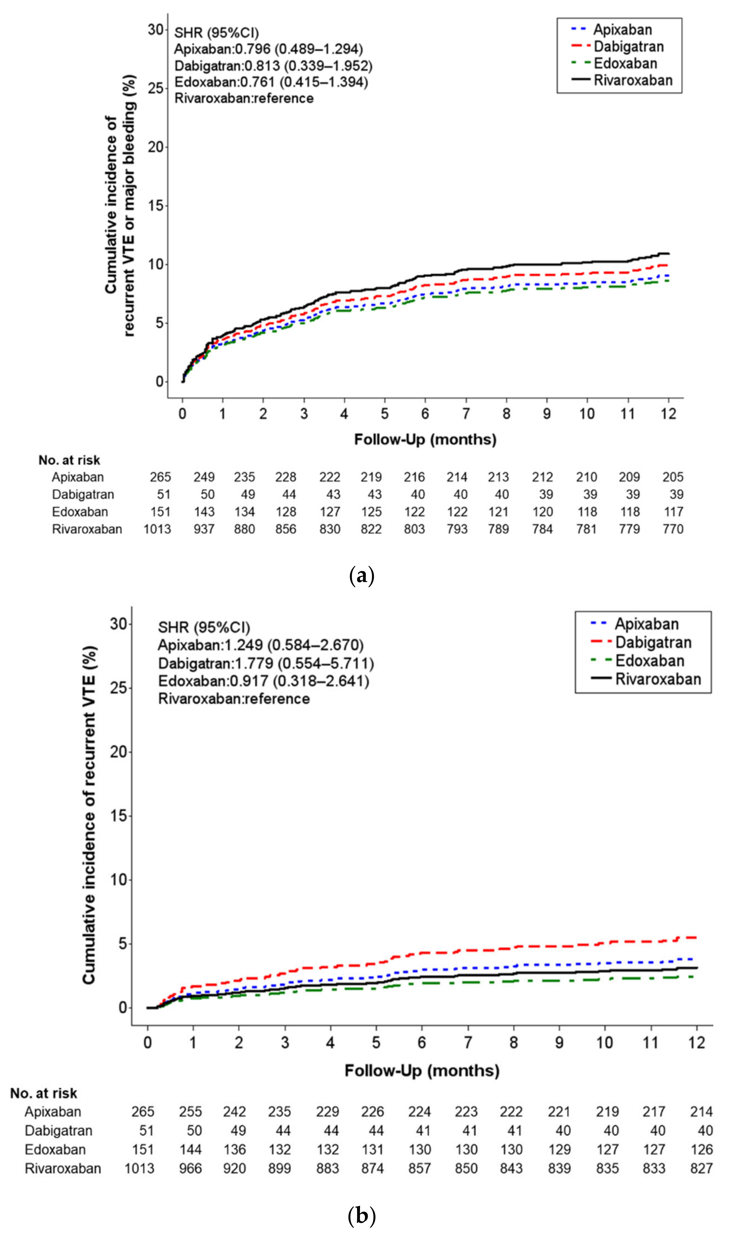
3.2. Effectiveness and Safety Outcomes
3.3. Subgroup Analyses and Risk of Outcomes Among DOACs
3.4. Sensitivity Analysis of Clinical Outcomes in The Stabilized IPTW Cohort
4. Discussion
Limitations
5. Conclusions
Supplementary Materials
Author Contributions
Funding
Institutional Review Board Statement
Informed Consent Statement
Data Availability Statement
Acknowledgments
Conflicts of Interest
References
- Spencer, F.A.; Emery, C.; Joffe, S.W.; Pacifico, L.; Lessard, D.; Reed, G.; Gore, J.M.; Goldberg, R.J. Incidence rates, clinical profile, and outcomes of patients with venous thromboembolism. The worcester vte study. J. Thromb Thrombolysis 2009, 28, 401–409. [Google Scholar] [CrossRef] [PubMed]
- Heit, J.A.; Silverstein, M.D.; Mohr, D.N.; Petterson, T.M.; O’Fallon, W.M.; Melton, L.J., 3rd. Predictors of survival after deep vein thrombosis and pulmonary embolism: A population-based, cohort study. Arch. Intern. Med. 1999, 159, 445–453. [Google Scholar] [CrossRef] [PubMed]
- Pengo, V.; Lensing, A.W.; Prins, M.H.; Marchiori, A.; Davidson, B.L.; Tiozzo, F.; Albanese, P.; Biasiolo, A.; Pegoraro, C.; Iliceto, S.; et al. Incidence of chronic thromboembolic pulmonary hypertension after pulmonary embolism. N. Engl. J. Med. 2004, 350, 2257–2264. [Google Scholar] [CrossRef] [PubMed]
- Schulman, S.; Kearon, C.; Kakkar, A.K.; Mismetti, P.; Schellong, S.; Eriksson, H.; Baanstra, D.; Schnee, J.; Goldhaber, S.Z.; for the RE-COVER Study Group. Dabigatran versus warfarin in the treatment of acute venous thromboembolism. N. Engl. J. Med. 2009, 361, 2342–2352. [Google Scholar] [CrossRef] [PubMed]
- The EINSTEIN Investigators. Oral rivaroxaban for symptomatic venous thromboembolism. N. Engl. J. Med. 2010, 363, 2499–2510. [Google Scholar] [CrossRef] [PubMed]
- The EINSTEIN–PE Investigators; Buller, H.R.; Prins, M.H.; Lensin, A.W.; Decousus, H.; Jacobson, B.F.; Minar, E.; Chlumsky, J.; Verhamme, P.; Wells, P.; et al. Oral rivaroxaban for the treatment of symptomatic pulmonary embolism. N. Engl. J. Med. 2012, 366, 1287–1297. [Google Scholar] [CrossRef] [PubMed]
- Agnelli, G.; Buller, H.R.; Cohen, A.; Curto, M.; Gallus, A.S.; Johnson, M.; Masiukiewicz, U.; Pak, R.; Thompson, J.; Raskob, G.E.; et al. Oral apixaban for the treatment of acute venous thromboembolism. N. Engl. J. Med. 2013, 369, 799–808. [Google Scholar] [CrossRef]
- Hokusai, V.T.E.I.; Buller, H.R.; Decousus, H.; Grosso, M.A.; Mercuri, M.; Middeldorp, S.; Prins, M.H.; Raskob, G.E.; Schellong, S.M.; Schwocho, L.; et al. Edoxaban versus warfarin for the treatment of symptomatic venous thromboembolism. N. Engl. J. Med. 2013, 369, 1406–1415. [Google Scholar] [CrossRef]
- Schulman, S.; Kakkar, A.K.; Goldhaber, S.Z.; Schellong, S.; Eriksson, H.; Mismetti, P.; Christiansen, A.V.; Friedman, J.; Le Maulf, F.; Peter, N.; et al. Treatment of acute venous thromboembolism with dabigatran or warfarin and pooled analysis. Circulation 2014, 129, 764–772. [Google Scholar] [CrossRef]
- Beyer-Westendorf, J. What have we learned from real-world NOAC studies in venous thromboembolism treatment? Thromb Res. 2018, 163, 83–91. [Google Scholar] [CrossRef]
- Wang, K.L.; Yap, E.S.; Goto, S.; Zhang, S.; Siu, C.W.; Chiang, C.E. The diagnosis and treatment of venous thromboembolism in asian patients. Thromb. J. 2018, 16, 4. [Google Scholar] [CrossRef] [PubMed]
- Shao, S.C.; Chan, Y.Y.; Kao Yang, Y.H.; Lin, S.J.; Hung, M.J.; Chien, R.N.; Lai, C.C.; Lai, E.C. The Chang Gung Research Database-A multi-institutional electronic medical records database for real-world epidemiological studies in Taiwan. Pharmacoepidemiol. Drug Saf. 2019, 28, 593–600. [Google Scholar] [CrossRef] [PubMed]
- Tsai, M.S.; Lin, M.H.; Lee, C.P.; Yang, Y.H.; Chen, W.C.; Chang, G.H.; Tsai, Y.T.; Chen, P.C.; Tsai, Y.H. Chang Gung Research Database: A multi-institutional database consisting of original medical records. Biomed. J. 2017, 40, 263–269. [Google Scholar] [CrossRef] [PubMed]
- Huang, Y.T.; Chen, Y.J.; Chang, S.H.; Kuo, C.F.; Chen, M.H. Discharge status validation of the Chang Gung Research Database in Taiwan. Biomed. J. 2021, in press. [Google Scholar] [CrossRef] [PubMed]
- Chen, D.Y.; Tseng, C.N.; Hsieh, M.J.; Lan, W.C.; Chuang, C.K.; Pang, S.T.; Chen, S.W.; Chen, T.H.; Chang, S.H.; Hsieh, I.C.; et al. Comparison Between Non-vitamin K Antagonist Oral Anticoagulants and Low-Molecular-Weight Heparin in Asian Individuals with Cancer-Associated Venous Thromboembolism. JAMA Netw. Open 2021, 4, e2036304. [Google Scholar] [CrossRef]
- Chan, Y.H.; Kuo, C.T.; Yeh, Y.H.; Chang, S.H.; Wu, L.S.; Lee, H.F.; Tu, H.T.; See, L.C. Thromboembolic, Bleeding, and Mortality Risks of Rivaroxaban and Dabigatran in Asians With Nonvalvular Atrial Fibrillation. J. Am. Coll. Cardiol. 2016, 68, 1389–1401. [Google Scholar] [CrossRef]
- Cho, M.S.; Yun, J.E.; Park, J.J.; Kim, Y.J.; Lee, J.; Kim, H.; Park, D.W.; Nam, G.B. Outcomes After Use of Standard- and Low-Dose Non-Vitamin K Oral Anticoagulants in Asian Patients With Atrial Fibrillation. Stroke 2018, 50, 110–118. [Google Scholar] [CrossRef]
- Prins, M.H.; Lensing, A.W.; Bauersachs, R.; van Bellen, B.; Bounameaux, H.; Brighton, T.A.; Cohen, A.T.; Davidson, B.L.; Decousus, H.; Raskob, G.E.; et al. Oral rivaroxaban versus standard therapy for the treatment of symptomatic venous thromboembolism: A pooled analysis of the EINSTEIN-DVT and PE randomized studies. Thromb. J. 2013, 11, 21. [Google Scholar] [CrossRef]
- Prandoni, P.; Lensing, A.W.; Piccioli, A.; Bernardi, E.; Simioni, P.; Girolami, B.; Marchiori, A.; Sabbion, P.; Prins, M.H.; Noventa, F.; et al. Recurrent venous thromboembolism and bleeding complications during anticoagulant treatment in patients with cancer and venous thrombosis. Blood 2002, 100, 3484–3488. [Google Scholar] [CrossRef]
- Hutten, B.A.; Prins, M.H.; Gent, M.; Ginsberg, J.; Tijssen, J.G.; Buller, H.R. Incidence of recurrent thromboembolic and bleeding complications among patients with venous thromboembolism in relation to both malignancy and achieved international normalized ratio: A retrospective analysis. J. Clin. Oncol. 2000, 18, 3078–3083. [Google Scholar] [CrossRef]
- Van der Hulle, T.; Huisman, M.V.; Klok, F.A. Meta-analysis of the efficacy and safety of new oral anticoagulants in patients with cancer-associated acute venous thromboembolism: Reply. J. Thromb. Haemost. 2014, 12, 2138–2139. [Google Scholar] [CrossRef] [PubMed]
- Angchaisuksiri, P.; Goto, S.; Farjat, A.E.; Fryk, H.; Bang, S.M.; Chiang, C.E.; Jing, Z.C.; Kondo, K.; Sathar, J.; Tse, E.; et al. Venous thromboembolism in Asia and worldwide: Emerging insights from GARFIELD-VTE. Thromb. Res. 2021, 201, 63–72. [Google Scholar] [CrossRef] [PubMed]
- Lee, C.H.; Fang, C.C.; Tsai, L.M.; Lin, H.W.; Chen, P.S.; Lin, S.H.; Li, Y.H. Changing Treatment Patterns in Patients with Venous Thromboembolism in Taiwan. Circ. J. 2020, 84, 283–293. [Google Scholar] [CrossRef] [PubMed]




| Total, No. (%) (n = 1480) | Apixaban, No. (%) (n = 265) | Dabigatran, No. (%) (n = 51) | Edoxaban, No. (%) (n = 151) | Rivaroxaban, No. (%) (n = 1013) | p Value | |
|---|---|---|---|---|---|---|
| Sex | 0.65 | |||||
| Female | 826 (55.81) | 150 (56.60) | 25 (49.02) | 80 (52.98) | 571 (56.37) | |
| Male | 654 (44.19) | 115 (43.40) | 26 (50.98) | 71 (47.02) | 442 (43.63) | |
| Body weight (kg) | 64.02 ± 15.35 | 64.52 ± 16.93 | 66.36 ± 18.39 | 60.52 ± 12.86 | 64.30 ± 15.05 | 0.05 |
| BMI | 25.90 ± 14.64 | 26.58 ± 13.91 | 26.25 ± 6.54 | 24.28 ± 5.14 | 25.92 ± 15.94 | 0.73 |
| Age at index date | ||||||
| mean | 67.77 ± 15.89 | 69.17 ± 16.37 | 65.25 ± 17.54 | 70.61 ± 15.93 | 67.10 ± 15.62 | 0.02 |
| 18–49 | 223 (15.07) | 43 (16.23) | 11 (21.57) | 16 (10.60) | 153 (15.10) | 0.03 |
| 50–64 | 350 (23.65) | 56 (21.13) | 10 (19.61) | 34 (22.52) | 250 (24.68) | |
| 65–74 | 335 (22.64) | 50 (18.87) | 12 (23.53) | 30 (19.87) | 243 (23.99) | |
| 75–85 | 391 (26.42) | 69 (26.04) | 15 (29.41) | 46 (30.46) | 261 (25.77) | |
| 85+ | 181 (12.23) | 47 (17.74) | 3 (5.88) | 25 (16.56) | 106 (10.46) | |
| Type of venous thromboembolism | 0.004 | |||||
| Pulmonary embolism only | 533 (36.01) | 113 (42.64) | 23 (45.10) | 68 (45.03) | 329 (32.48) | |
| Deep-vein thrombosis only | 716 (48.38) | 115 (43.40) | 22 (43.14) | 58 (38.41) | 521 (51.43) | |
| PE and DVT | 231 (15.61) | 37 (13.96) | 6 (11.76) | 25 (16.56) | 163 (16.09) | |
| Creatinine (mg/dL), mean (SD) | 0.95 ± 0.78 | 1.21 ± 1.37 | 0.87 ± 0.51 | 0.90 ± 0.43 | 0.90 ± 0.58 | <0.001 |
| eGFR | <0.001 | |||||
| ≤30 mL/min | 65 (4.39) | 27 (10.19) | 2 (3.92) | 3 (1.99) | 33 (3.26) | |
| >30 to ≤50 mL/min | 323 (21.82) | 58 (21.89) | 9 (17.65) | 39 (25.83) | 217 (21.42) | |
| >50 mL/min | 1092 (73.78) | 180 (67.92) | 40 (78.43) | 109 (72.19) | 763 (75.32) | |
| Platelet (1000/μL), mean (SD) | 228.91 ± 106.80 | 235.68 ± 100.72 | 251.56 ± 107.64 | 239.46 ± 122.57 | 224.45 ± 105.60 | 0.09 |
| Platelet count | 0.76 | |||||
| >100,000 per μL | 1375 (93.03) | 248 (93.58) | 49 (98.00) | 142 (94.04) | 936 (92.49) | |
| 50,000–100,000 per μL | 90 (6.09) | 16 (6.04) | 1 (2.00) | 7 (4.64) | 66 (6.52) | |
| <50,000 per μL | 13 (0.88) | 1 (0.38) | 0 (0.00) | 2 (1.32) | 10 (0.99) | |
| Hemoglobin (g/dL), mean (SD) | 11.17 ± 2.07 | 10.88 ± 1.95 | 11.37 ± 1.79 | 11.21 ± 2.17 | 11.23 ± 2.10 | 0.10 |
| Hemoglobin level | 0.13 | |||||
| >10 g/dL | 989 (66.91) | 164 (61.89) | 40 (80.00) | 100 (66.23) | 685 (67.69) | |
| 8–10 g/dL | 431 (29.16) | 93 (35.09) | 9 (18.00) | 43 (28.48) | 286 (28.26) | |
| <8 g/dL | 56 (3.79) | 8 (3.02) | 1 (2.00) | 8 (5.30) | 41 (4.05) | |
| D-dimer | 2896.01 ± 3856.66 | 2639.40 ± 3820.20 | 2902.73 ± 3665.89 | 1627.10 ± 3076.81 | 3147.15 ± 3943.32 | 0.001 |
| AST (U/L) | 38.51 ± 53.64 | 40.63 ± 70.05 | 42.56 ± 75.79 | 32.01 ± 19.05 | 38.69 ± 50.83 | 0.48 |
| ALT (U/L) | 32.93 ± 42.26 | 31.89 ± 55.41 | 31.24 ± 30.23 | 29.15 ± 24.86 | 33.86 ± 46.79 | 0.66 |
| Charlson comorbidity index | 0.05 | |||||
| 0 | 259 (17.5) | 42 (15.85) | 10 (19.61) | 17 (11.26) | 190 (18.76) | |
| 1–2 | 416 (28.11) | 68 (25.66) | 13 (25.49) | 36 (23.84) | 299 (29.52) | |
| 3+ | 805 (54.39) | 155 (58.49) | 28 (54.90) | 98 (64.90) | 524 (51.73) | |
| Comorbidities | ||||||
| Active cancer a | 608 (41.08) | 87 (32.83) | 19 (37.25) | 73 (48.34) | 429 (42.35) | 0.008 |
| Myocardial infarction | 38 (2.57) | 7 (2.64) | 2 (3.92) | 3 (1.99) | 26 (2.57) | 0.85 |
| Stroke | 223 (15.07) | 52 (19.62) | 8 (15.69) | 21 (13.91) | 142 (14.02) | 0.15 |
| Coronary artery disease | 208 (14.05) | 47 (17.74) | 7 (13.73) | 28 (18.54) | 126 (12.44) | 0.05 |
| Diabetes mellitus | 395 (26.69) | 85 (32.08) | 13 (25.49) | 48 (31.79) | 249 (24.58) | 0.04 |
| Hypertension | 802 (54.19) | 173 (65.28) | 26 (50.98) | 86 (56.95) | 517 (51.04) | 0.001 |
| Liver cirrhosis | 56 (3.78) | 15 (5.66) | 1 (1.96) | 9 (5.96) | 31 (3.06) | 0.09 |
| Chronic obstructive lung disease | 239 (16.15) | 49 (18.49) | 6 (11.76) | 29 (19.21) | 155 (15.30) | 0.341 |
| Atrial fibrillation | 109 (7.36) | 26 (9.81) | 5 (9.80) | 16 (10.60) | 62 (6.12) | 0.06 |
| Doses of DOACs | <0.001 | |||||
| Standard-dose | 764 (51.62%) | 118 (44.53%) | 11 (21.57%) | 47 (31.13%) | 588 (58.05%) | |
| Low-dose | 716 (48.38%) | 147 (55.47%) | 40 (78.43%) | 104 (68.87%) | 425 (41.95%) | |
| Drug prescribed within 30 days of index date | ||||||
| Aspirin | 137 (9.26) | 31 (11.7) | 4 (7.84) | 9 (5.96) | 93 (9.18) | 0.27 |
| P2Y12 inhibitor b | 77 (5.20) | 18 (6.79) | 3 (5.88) | 9 (5.96) | 47 (4.64) | 0.52 |
| NSAIDs | 306 (20.68) | 48 (18.11) | 10 (19.61) | 29 (19.21) | 219 (21.62) | 0.61 |
| VTE Treated with DOAC a | HR or SHR for Apixaban (95% CI) b | HR or SHR for Dabigatran (95% CI) b | HR or SHR for Edoxaban (95% CI) b | |||||
|---|---|---|---|---|---|---|---|---|
| Total (n = 1480) | Apixaban (n = 265) | Dabigatran (n = 51) | Edoxaban (n = 151) | Rivaroxaban (n = 1013) | ||||
| Composite effectiveness and safety outcome Recurrent VTE or major bleeding | 152 (10.27) | 24 (9.06) | 5 (9.80) | 13 (8.61) | 110 (10.86) | 0.80 (0.49–1.29) | 0.81 (0.34–1.95) | 0.76 (0.42–1.39) |
| Effectiveness outcome | ||||||||
| Recurrent VTE | 53 (3.58) | 11 (4.15) | 3 (5.88) | 4 (2.65) | 35 (3.46) | 1.25 (0.58–2.67) | 1.78 (0.55–5.71) | 0.92 (0.32–2.64) |
| Recurrent DVT | 28 (1.89) | 6 (2.26) | 0 (0.00) | 1 (0.66) | 21 (2.07) | 1.40 (0.49–4.00) | NA | 0.57 (0.06–5.66) |
| Recurrent PE | 26 (1.76) | 5 (1.89) | 3 (5.88) | 3 (1.99) | 15 (1.48) | 1.23 (0.46–3.27) | 3.28 (0.73–14.64) | 1.16 (0.32–4.15) |
| Safety outcome | ||||||||
| Major bleeding c | 101 (6.82) | 13 (4.91) | 2 (3.92) | 9 (5.96) | 77 (7.60) | 0.59 (0.31–1.13) | 0.47 (0.11–1.97) | 0.70 (0.34–1.46) |
| Intra-cranial hemorrhage | 26 (1.76) | 7 (2.64) | 0 (0.00) | 0 (0.00) | 19 (1.88) | 1.12 (0.44–2.81) | NA | NA |
| Major GI bleeding | 17 (1.15) | 0 (0.00) | 1 (1.96) | 0 (0.00) | 16 (1.58) | NA | 1.05 (0.10–11.06) | NA |
| Other critical site bleedings | 53 (3.58) | 5 (1.89) | 1 (1.96) | 8 (5.30) | 39 (3.85) | 0.44 (0.16–1.23) | 0.58 (0.08–4.49) | 1.37 (0.60–3.13) |
| Decrease in Hb of ≥2 g/dL | 9 (0.61) | 2 (0.75) | 0 (0) | 1 (0.66) | 6 (0.59) | 3.53 (0.91–13.74) | NA | 0.92 (0.02–43.50) |
| Death from any cause | 190 (12.84) | 34 (12.83) | 5 (9.80) | 16 (10.60) | 135 (13.33) | 1.02 (0.69–1.52) | 0.79 (0.32–1.97) | 0.68 (0.40–1.15) |
Publisher’s Note: MDPI stays neutral with regard to jurisdictional claims in published maps and institutional affiliations. |
© 2022 by the authors. Licensee MDPI, Basel, Switzerland. This article is an open access article distributed under the terms and conditions of the Creative Commons Attribution (CC BY) license (https://creativecommons.org/licenses/by/4.0/).
Share and Cite
Tsai, M.-L.; Lee, C.-H.; Hsieh, M.-J.; Chen, S.-W.; Chang, S.-H.; Tseng, C.-N.; Chu, P.-H.; Hsieh, I.-C.; Ko, P.-C.; Huang, Y.-T.; et al. A Comparison among Nonvitamin K Antagonist Oral Anticoagulants in Asian Patients with Venous Thromboembolism: A Multi-Institutional Study. J. Clin. Med. 2022, 11, 7159. https://doi.org/10.3390/jcm11237159
Tsai M-L, Lee C-H, Hsieh M-J, Chen S-W, Chang S-H, Tseng C-N, Chu P-H, Hsieh I-C, Ko P-C, Huang Y-T, et al. A Comparison among Nonvitamin K Antagonist Oral Anticoagulants in Asian Patients with Venous Thromboembolism: A Multi-Institutional Study. Journal of Clinical Medicine. 2022; 11(23):7159. https://doi.org/10.3390/jcm11237159
Chicago/Turabian StyleTsai, Ming-Lung, Cheng-Hung Lee, Ming-Jer Hsieh, Shao-Wei Chen, Shang-Hung Chang, Chi-Nan Tseng, Pao-Hsien Chu, I-Chang Hsieh, Po-Chuan Ko, Yu-Tung Huang, and et al. 2022. "A Comparison among Nonvitamin K Antagonist Oral Anticoagulants in Asian Patients with Venous Thromboembolism: A Multi-Institutional Study" Journal of Clinical Medicine 11, no. 23: 7159. https://doi.org/10.3390/jcm11237159
APA StyleTsai, M.-L., Lee, C.-H., Hsieh, M.-J., Chen, S.-W., Chang, S.-H., Tseng, C.-N., Chu, P.-H., Hsieh, I.-C., Ko, P.-C., Huang, Y.-T., & Chen, D.-Y. (2022). A Comparison among Nonvitamin K Antagonist Oral Anticoagulants in Asian Patients with Venous Thromboembolism: A Multi-Institutional Study. Journal of Clinical Medicine, 11(23), 7159. https://doi.org/10.3390/jcm11237159

