Abstract
Multiple factors are associated with disordered gambling, with some populations having a greater risk for developing disordered gambling than others. The present study, utilising data previously collected for a New Zealand (NZ) national gambling survey, explored the associations of social connectedness and leisure activities with risky gambling behaviour and quality of life. Poorer social connectedness and leisure activities were found to be associated with increased gambling risk and poorer quality of life, respectively. Social connectedness and leisure activities strongly predicted type of gambling activities and quality of life. Furthermore, Māori (NZ’s indigenous population) had lower social connectedness and fewer leisure activities, and a greater gambling risk, as well as higher psychological distress, than the NZ European/Other population. These findings indicate that the risk of progressing from recreational gambling to risky gambling is relatively higher for Māori, and that social connectedness and leisure activities could be contributing factors for this increased risk. It is, therefore, important that social connectedness and leisure activities are seriously considered in public health and treatment efforts to reduce gambling harm for vulnerable populations.
1. Introduction
Harmful gambling refers to gambling behaviours which may not meet the diagnostic criteria of gambling disorder, but which lead to significant harm to individuals and communities. Harmful gambling is commonly framed as a public health issue, particularly by countries such as Australia [], New Zealand (NZ) [], Canada [], Sweden [] and the United Kingdom []. However, there is an absence of consensus in theories to explain why some people develop harmful gambling behaviours while others do not.
Cognitive Theory suggests that gambling disorder is caused by false belief and assumptions about an individual’s skills and randomness of gambling winnings [,]. Behaviour Theory considers gambling behaviour is learnt and reinforced for repetitive occurrences through winning rewards []. Biopsychosocial Theory, considered a more comprehensive model, argues that gambling behaviour represents a complex and multifaceted phenomenon that is linked to a combination of biological, psychological, and social factors, such as impulsivity, early exposure to gambling and social support [,]. The Pathways Model posits that disordered gambling behaviour is a complex combination of determinants and that gamblers are a heterogeneous group []. This theory suggests there are three subgroups of gamblers that can be identified: (1) behaviourally conditioned, (2) emotionally vulnerable and (3) antisocial impulsivist gamblers [].
Over the years, a large volume of research has been conducted to determine risk factors associated with gambling disorders. Higher levels of problematic gambling have been noted amongst indigenous and migrant groups in many countries. For example, African Americans in the United States of America have been reported to have a higher prevalence of problem gambling compared with Caucasians []. Similarly, increased problematic gambling has been observed amongst the Canadian indigenous population compared with the non-indigenous population [] and with the indigenous communities of Australia compared to the non-indigenous communities []. In NZ, Māori (NZ’s indigenous population) and Pacific peoples are more likely than NZ European/Others to be moderate-risk/problem gamblers [,]. In 2020, for example, 3.7% of Māori and 3.0% of Pacific people were classified as problem or moderate risk gamblers compared with 1.4% of European/Other/Others []. Furthermore, casinos pose particular risk for Asian groups [].
Although cultural differences may play a role, influencing individual variations in gambling behaviours [,,], it has been argued that race and ethnic minority status themselves are not a risk factor for gambling disorder but underlying potential risk factors related to this status are. For example, experiences of social exclusion, the stress of acculturation and disadvantaged neighbourhoods [,]. Research has shown that people may use gambling as a way of escape from negative emotional states such as depression or stress, for enjoyment or excitement from an adrenalin-driven activity, or for social aspects [,]. Furthermore, in many countries including NZ, gambling availability is disproportionately higher in areas of lower socio-economic status, exacerbating the risk to disadvantaged populations living in such areas [,,]; In other words, the gambling environment and gambling activity may provide an alternative social networking platform, facilitating human interaction and leading to a sense of belonging for those who are socially isolated [,].
Disordered gamblers typically engage in few social and recreational activities apart from gambling [] and major relapses commonly occur when gamblers are alone, facing a non-gambling life on their own []. Social connectedness, considered a psychological sense of belonging to a group and interpersonal closeness with society, has generally been shown to be beneficial, promoting individual well-being, reducing the risk of developing addictive behaviours, and facilitating recovery from addictions [,]. Leisure activities help to decrease daily stress and tension and are crucial for individuals’ social development, including building social relationships, and acquiring additional skills and knowledge []. Unfortunately, ethnic minorities or subgroups often report high levels of social isolation and loneliness [,,]. In NZ, Māori kaumātua (elders) experience varying degrees of cultural dissonance and have reported feelings of separation and social isolation [], while Pacific people have reported generally being well connected socially with others but with a significantly lower perceived social support than Māori and other groups (i.e., non-Māori, non-Pacific people) [].
While associations between social connectedness and gambling are well supported by evidence, it is unclear whether social connectedness could explain individual progression to disordered gambling. The aim of this study was to explore the associations between social connectedness, leisure activities and gambling risk (including frequency and type of gambling activities) and quality of life. Improving understanding of their interactions could contribute to the development of a comprehensive explanatory model of gambling behaviour, informing improved gambling treatments and public health approaches to reduce gambling harm. It was hypothesised that social connectedness and leisure activities would be positively associated with gambling risk and influence individuals’ quality of life.
2. Methods
2.1. Participants
This study involved secondary analysis of data collected from the baseline wave (in the year 2012) of the population representative NZ National Gambling Study. Ethical approval was granted by the Northern Y Regional Ethics Committee of the Health and Disability Ethics Committees on 26 May 2011 (Reference: NTY/11/04/040). Although the baseline data comprised 6251 participants, the current analysis only included data from the 4904 participants who reported involvement in at least one gambling activity in the prior 12 months, ethnicity and completed all primary measures stated below. The data from other 1284 participants were excluded.
2.2. Procedure
The design and methods of the NZ National Gambling Study have previously been published []. In brief, this was a nationwide survey of adults aged 18 years and older who lived in a private dwelling. A stratified three-stage cluster design was used with the three strata being: district health board regions, census mesh blocks, and private dwellings. Recruitment and interviewing were both face-to-face, with participants interviewed in their homes via Computer Assisted Personal Interviews (CAPI). The response rate was 64%. In order that findings could be generalised to the NZ population, weightings were applied to account for selection probability, and to adjust for demographics (age, gender and ethnicity) relative to census proportions. However, for the current study, raw values rather than weighted values were used.
2.3. Measures
2.3.1. Gambling Risk Level
The nine-item Problem Gambling Severity Index (PGSI) [] was used to measure gambling risk level in a past 12 month time frame. Each PGSI item had four response choices: ‘never’, ‘sometimes’, ‘most of the time’, or ‘almost always’. The total score ranged from 0 to 27. Gambling risk level is based on the score; non-gambler, non-problem gambler (score 0), low risk gambler (score 1 or 2), moderate risk gambler (score 3 to 7), or problem gambler (score 8 to 27). For this study, PGSI scores were used as a continuous variable. The PGSI has a high internal reliability (minimum Cronbach’s alpha of 0.86) and has been shown to be robust and reliable in the NZ population [].
2.3.2. Gambling Frequency and Participation in Specific Gambling Activities
An 11-point rating scale was used to assess participants’ overall frequency of gambling, starting with “1” representing four times a week to “11” representing less frequently than once a year. Scores were reversed for analysis. Participation in specific gambling activities over the last 12 months, such as on casino table games, electronic gaming machines (EGMs), lottery tickets and so on, was also assessed. Each item had two response choices: “Yes” or “No”. Higher scores indicate participation in a larger number of gambling activities.
2.3.3. General Psychological Distress
The Kessler-10 (K-10) questionnaire was included to provide a continuous measure of general psychological distress that is responsive to change over time. The K-10 has been well validated internationally and was included due to its brevity and simple response format. It also produces a summary measure indicating probability of currently experiencing an anxiety or depressive disorder [].
2.3.4. Quality of Life
Quality of life was assessed by the WHOQoL-8, an eight-item version of the widely used 26-item WHOQoL-Bref. This short form has been used in a number of countries, is robust psychometrically, and overall performance is strongly correlated with scores from the original WHOQoL instrument [].
2.4. Leisure Activity
Level of leisure activity involvement was assessed by ‘Yes’ or ‘No’ responses to a list of 20 common individual and social leisure activities such as reading for pleasure, spending time with friends/family, and being involved in voluntary community work. An ‘other’ category was also included. Higher scores indicated involvement in a higher number of leisure activities.
2.4.1. Social Connectedness
Individual questions on access to help (“Can you get help from family, friends or neighbours when you need it?”), community involvement (“Are you a member of an organised group such as a sports or church group or another community group including those over the internet?” and “Do you like living in your community?”) and quality of community services (“How would you rate the overall quality of services, facilities and ‘things to do’ in your community?”) based on those used in the Victorian Gambling Study [] were administered to assess individuals’ social connectedness. Higher scores indicated a greater level of social connectedness.
2.4.2. Demographics
Data on age, gender, ethnicity, education, and employment status were collected.
2.5. Data Analysis
First, descriptive analysis was conducted. Differences in gambling risk, quality of life, psychological distress, social connectedness, and number of leisure activities between ethnic groups were explored using Kruskal–Wallis test. Significant effects were followed-up with post hoc tests for multiple comparisons adjusted using Bonferroni correction. Sex difference in gambling and quality of life, psychological distress, social connectedness, and number of leisure activities was also explored for the whole sample, using Mann–Whitney U test. Associations between social connectedness, leisure activities, psychological distress and PGSI, were explored using Spearman’s correlation. Poisson regression was employed to examine the overall frequency of gambling (from “four times a week or more”, to “Less frequently than once a year”) and number of gambling activities based on predictors of social connectedness, psychological distress, number of leisure activities, and ethnicity, respectively. Multiple regressions were performed to determine the relative effects of social connectedness, leisure activities, and psychological stress and gambling risk, on quality of life. A two-tailed level of significance was set to p < 0.05 before correction. Statistical analyses were performed in IBM SPSS Statistics (version 28).
3. Results
3.1. Participants
Of the total 4904 gamblers, mean age was 47.9 ± 17.0 years (range 18 to 93 years), 20.3% self-identified as Māori (n = 997), 11.9% self-identified as Pacific (n = 582), 10.1% reported Asian (n = 493) identity, and 57.7% were NZ European/Other (n = 2832).
3.2. Comparison of Gambling Risk, Quality of Life, Psychological Distress, and Social Connectedness between Ethnic Groups and Sex
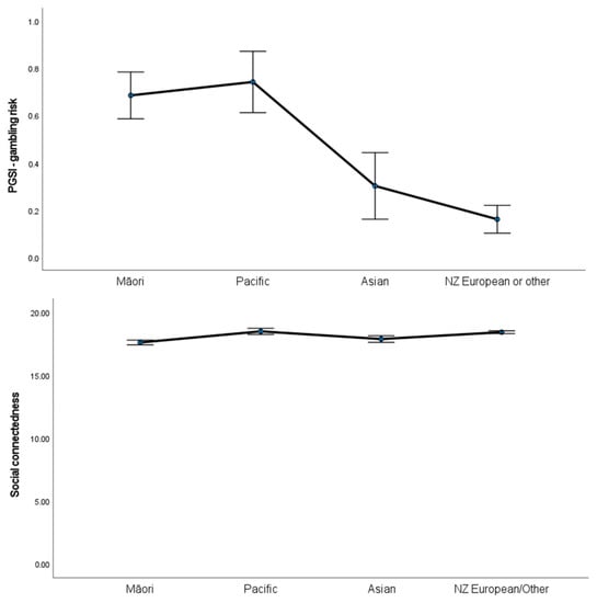
Table 1 shows demographic features and participant-reported outcome across ethnic groups. There were significant group differences in gambling risk (PGSI scores) (H = 147.87, p < 0.001), psychological distress (H = 58.4, p = 0.009), social connectedness (H = 80.1, p < 0.001), leisure activities (H = 21.5, p < 0.001) and quality of life (H = 32.3, p < 0.001). Post hoc tests show that Māori participants had higher PGSI and psychological distress scores, lower social connectedness and leisure activity involvement, and poorer quality of life relative to NZ European/Other participants. Similarly, Pacific participants had higher PGSI and psychological distress scores, and poorer quality of life relative to the NZ European/Other group. However, social connectedness and leisure activity involvement did not differ between Pacific and NZ European/Other groups. Asian participants had higher PGSI scores, lower social connectedness, and poorer quality of life relative to the NZ European/Other group, but the number of leisure activities and level of psychological distress between the two groups was not different (Figure 1).

Table 1.
Demographic and outcome measures across groups.


Figure 1.
Mean and 90% confidence interval of gambling risk, social connectedness, leisure activities, psychological distress, and quality of life among groups.
Furthermore, male participants exhibited greater gambling risk (U = −2.496, p = 0.013), psychological distress (U = −5.556, p < 0.001) and less involvement of leisure activities (U = 4.419, p < 0.001), but they were not different from female participants in terms of quality of life.
3.3. Correlations of Gambling Risk with Quality of Life, Psychological Distress, Social Connectedness, Leisure Activities, and Age
Social connectedness was significantly correlated with gambling risk (r = −0.07, p < 0.001), quality of life (r = 0.24, p < 0.001), psychological distress (r = −0.11, p < 0.001) and leisure activities (r = 0.22, p < 0.001). Furthermore, gambling risk was significantly correlated with quality of life (r = −0.05, p < 0.001), psychological distress (r = 0.19, p < 0.001), and leisure activities (r = −0.03, p = 0.03). Age was negatively correlated with gambling risk (r = −0.122, p < 0.001), psychological distress (r = −0.156, p < 0.001) but positive correlated with quality of life (r = 0.043, p < 0.001) and social connectedness (r = 0.162, p < 0.001) (Table 2).

Table 2.
Spearman’s correlations of social connectedness, leisure activity, quality of life and gambling.
3.4. Predicting Gambling Risk by Ethnicity, Social Connectiveness, Leisure Activities and Psychological Distress
A Poisson regression was run to predict the overall frequency of gambling, based on ethnicity, social connectedness, psychological distress, and leisure activities (Table 3). Goodness of Fit showed the value is more than 0.05, indicating the model fits the data well. Direct effects were significant, omnibus χ2 = 121.80, df = 6, p < 0.001. Ethnicity and number of leisure activities significantly predicted frequency of gambling, whereas social connectedness and psychological distress did not predict gambling frequency. For every additional leisure activity involvement, frequency for gambling participation was 0.991 times reduced (95% CI, 0.998 to 0.994), p < 0.001. Furthermore, compared to NZ European/Other participants, gambling frequency increased for Māori and Pacific participants, 1.09 (95% CI, 1.057 to 1.119) and 1.07 (95% CI, 1.036 to 1.112) times, respectively, p < 0.001, whereas for Asian participants, frequency of gambling decreased 0.895 times (95% CI, 0.859 to 0.933), p < 0.00.

Table 3.
Poisson regression results—frequency of gambling count, social connectedness, leisure activities, psychological distress, and ethnicity.
For prediction of gambling activity count, Goodness of Fit showed the value is more than 0.05, indicating the model fits the data well. Direct effects were significant, omnibus χ2 = 32.91, df = 6, p < 0.001. Social connectedness and number of leisure activities significantly predicted gambling activity involvement count, while psychological distress did not predict gambling activity count. For every extra score of social connectedness, 0.992 times (95% CI, 0.984 to 1) gambling activity involvement count decreased, p = 0.04, while gambling activity involvement count increased 1.01 times (95% CI, 1.005 to 1.020) with every additional leisure activity. Furthermore, compared to NZ European/Other participants, Māori had 1.14 times (95% CI, 1.074 to 1.207) risk for increased gambling activity count, p < 0.001. No ethnicity effect in predicting gambling activity was observed in other ethnic groups relative to NZ European/Other participants (Table 4).

Table 4.
Poisson regression results—gambling activity count, social connectedness, leisure activities, psychological distress, and ethnicity.
3.5. Prediction of Quality of Life by Social Connectiveness, Leisure Activity, Psychological Distress and Gambling Risk
Multiple regression was performed to ascertain the effects of social connectiveness, number of leisure activities, psychological distress, and gambling risk on quality of life. The model was statistically significant, showing that social connectedness, β = 0.28, p < 0.001, 95% CI [0.244, 0.323], number of leisure activities, β = 6.86, p < 0.001, 95% CI [0.08, 0.158], psychological distress, β = −35.91, p < 0.001, 95% CI [−0.454, −0.407], and PGSI scores, β = −2.74, p < 0.001, 95% CI [−0.175, −0.029], were significant predictors, explaining a significant amount of the variance in quality of life, R2 = 0.29, F (4, 4877) = 489.67, p < 0.001 (Table 5).

Table 5.
Regression analysis for quality-of-life prediction.
4. Discussion
Evidence suggests that there is no single cause of disordered gambling yet understanding the factors that influence transitions from recreational to risky levels of gambling are important for harm prevention. The present study utilised an available national gambling survey dataset to explore the role of social connectedness and leisure activities in gambling risk and their association with psychological distress and quality of life. Consistent with the previous findings which argue the important role of social connection in prevention of gambling and health problem [,,], We found that poorer social connectedness was associated with increased gambling risk, greater psychological distress, fewer leisure activities and poorer quality of life. Stronger social connections were associated with fewer gambling activities and better quality of life. Evidence suggests that strong social relationships could function as a buffer against gambling problems, and persons with poor social connectedness engage in gambling for a social purpose may not necessarily receive social benefits for doing it []. In line with this, our findings implicate the protective effect of social connectedness against problem gambling. This is probably particularly relevant to male and younger population given their greater risk in gambling which was indicated by previous research [] and current findings. However, neither social connectedness nor psychological distress were significant predictors of gambling frequency. In contrast, greater leisure activity participation was associated with reduced gambling frequency.
Social connectedness, e.g., personal bonds with others and communities, is an essential part of being human, leading to a sense of well-being, belonging and cohesion [,]. In contrast, social isolation and disconnectedness not only cause feelings of alienation but also psychological distress []. The need to connect with others has been frequently identified as a motivational factor for gambling []. Research shows that both recreational and disordered gamblers could perceive gambling as an acceptable leisure activity and be attracted to it for socialisation, escaping from daily problems [], or to cope with negative emotions of social exclusion [,]. Although severity of psychosocial problems varies by gambling activity and certain activities are more risky than others (e.g., EGMs), gambling on multiple activities is often problematic []. Engaging in multiple gambling activities could be an indication of attachment to the fundamental essence of the gambling experience []. Our findings implicate that weaker social connectedness is associated with increased risky gambling, and this association is related to participation in a greater number of gambling activities.
Furthermore, indigenous and ethnic minority groups have long been known to have disproportionately higher risk for developing disordered gambling behaviours and associated with this are poorer mental well-being and other addictions [,,]. In our study, Māori and Pacific participants reported greater frequency of gambling participation and increased involvement in multiple activities compared with NZ European/Other participants. Furthermore, participants in our ethnic sub-groups (Māori, Pacific and Asian), all had a higher score on the PGSI, and reported poorer quality of life than participants who identified as NZ European/Other, although Asian participants reported reduced gambling frequency. It has been argued that prevalence of disordered gambling varies within and across indigenous populations due to differences in their history and involvement with gambling [,]. It is also partly related to inequitable distribution of gambling venues and availability in low socio-economic areas, where indigenous and migrant populations often reside []. Personal wellbeing has been related to cultural wellbeing in indigenous and other populations []. Thus, gambling participation, including its benefits and harms can affect culture in distinctive yet complex ways [,]. Taken together, our findings suggest that Māori and Pacific people in NZ have a higher risk for developing disordered gambling partly related to weaker social connectedness.
Research shows that leisure activities explain a significant part of individuals’ social connectedness [], which is also positively associated with mental well-being and negatively associated with depression/anxiety symptoms []. In the present study, we found that leisure activities were associated with social connectedness, and modulated frequency of gambling and number of gambling activities participated in. Greater involvement in leisure activities, such as taking part in sports or listening to/playing music, is associated with a reduction in gambling frequency but an increase in number of gambling activities participated in. Although the reasons for these findings are unclear, it is possible that most of our participants were non-problem gamblers, whose motivation for gambling could have been less related to winning money but rather perceived as a normal leisure activity. Thus, a person with more leisure activities may wish to try different gambling activities, at a low frequency, for the purpose of relaxation. Although research shows that among socialisation, amusement, avoidance, excitement, and monetary motives, the latter is the only factor showing a direct positive influence on severity of gambling [], the increased risk associated with participation in a higher number of gambling activities cannot be ignored. Taken together, our findings suggest that the effect of leisure activities on gambling is more complicated than expected and can be either positive or negative. Future research to understand this aspect is required.
The limitations of this study need to be acknowledged. First, we only adapted some of the survey items measuring social connectedness and this is likely to have reduced power to capture the whole picture of a person’s social life. Furthermore, our findings did not consider the fact that a person’s social connectedness might fluctuate over time. Finally, raw numbers and not weighted data were used meaning that the findings from this analysis cannot necessarily be generalised to the whole NZ population. Nevertheless, our findings provide a preliminary snapshot of the relationship between social connectedness and gambling in the NZ context. In addition, diversity in ethnic identity should be acknowledged as ethnicity can be either obvious or ambiguous and a person could belong to more than one ethnic group.
In conclusion, our findings highlight that the effects of risk factors for disordered gambling vary with ethnicity, as well as the importance of addressing social connectedness and mental well-being in reducing harmful effects of gambling participation. When a country consists of diverse ethnicities, as in the case of NZ which comprises a significant proportion of indigenous people (Māori), a rapidly growing Asian population and a distinct Pacific population, gambling research and policy development should take ethnic differences into consideration.
Author Contributions
Conceptualization, G.Y.W. and M.E.B.; methodology and formal analysis, G.Y.W.; resources and data curation, M.E.B.; writing-original draft preparation, G.Y.W.; writing-review and editing, M.E.B. All authors have read and agreed to the published version of the manuscript.
Funding
This research received no external funding.
Institutional Review Board Statement
The study was conducted in accordance with the Declaration of Helsinki, and approved by the Northern Y Regional Ethics Committee of the Health and Disability Ethics Committees on 26 May 2011 (Reference: NTY/11/04/040).
Informed Consent Statement
Informed consent was obtained from all subjects involved in the study.
Data Availability Statement
Data available on request from the author.
Conflicts of Interest
The author declares no conflict of interest.
References
- David, J.L.; Thomas, S.L.; Randle, M.; Daube, M. A public health advocacy approach for preventing and reducing gambling related harm. Aust. N. Z. J. Public Health 2020, 44, 14–19. [Google Scholar] [CrossRef]
- Price, A.; Hilbrecht, M.; Billi, R. Charting a path towards a public health approach for gambling harm prevention. J. Public Health 2021, 29, 37–53. [Google Scholar] [CrossRef]
- Veselka, L.; Wijesingha, R.; Leatherdale, S.T.; Turner, N.E.; Elton-Marshall, T. Factors associated with social casino gaming among adolescents across game types. BMC Public Health 2018, 18, 1–15. [Google Scholar] [CrossRef]
- Hofmarcher, T.; Romild, U.; Spångberg, J.; Persson, U.; Håkansson, A. The societal costs of problem gambling in Sweden. BMC Public Health 2020, 20, 1921. [Google Scholar] [CrossRef]
- Browne, M.; Rawat, V.; Newall, P.; Begg, S.; Rockloff, M.; Hing, N. A framework for indirect elicitation of the public health impact of gambling problems. BMC Public Health 2020, 20, 1717. [Google Scholar] [CrossRef]
- Griffiths, M.D. The cognitive psychology of gambling. J. Gambl. Stud. 1990, 6, 31–42. [Google Scholar] [CrossRef]
- Armstrong, T.; Rockloff, M.; Browne, M. Gamble with Your Head and Not Your Heart: A Conceptual Model for How Thinking-Style Promotes Irrational Gambling Beliefs. J. Gambl. Stud. 2020, 36, 183–206. [Google Scholar] [CrossRef]
- Ramnerö, J.; Molander, O.; Lindner, P.; Carlbring, P. What can be learned about gambling from a learning perspective? A narrative review. Nord. Psychol. 2019, 71, 303–322. [Google Scholar] [CrossRef]
- Browne, M.; Hing, N.; Rockloff, M.; Russell, A.M.T.; Greer, N.; Nicoll, F.; Smith, G. A Multivariate Evaluation of 25 Proximal and Distal Risk-Factors for Gambling-Related Harm. J. Clin. Med. 2019, 8, 509. [Google Scholar] [CrossRef]
- Fong, T.W. The biopsychosocial consequences of pathological gambling. Psychiatry 2005, 2, 22–30. [Google Scholar]
- Blaszczynski, A.; Nower, L. A pathways model of problem and pathological gambling. Addiction 2002, 97, 487–499. [Google Scholar] [CrossRef]
- Sacco, P.; Torres, L.R.; Cunningham-Williams, R.M.; Woods, C.; Unick, G.J. Differential Item Functioning of Pathological Gambling Criteria: An Examination of Gender, Race/Ethnicity, and Age. J. Gambl. Stud. 2011, 27, 317–330. [Google Scholar] [CrossRef]
- Wardman, D.; el-Guebaly, N.; Hodgins, D. Problem and pathological gambling in North American Aboriginal populations: A review of the empirical literature. J. Gambl. Stud. 2001, 17, 81–100. [Google Scholar] [CrossRef]
- Saunders, P.; Doyle, K. Gambling interventions in Indigenous communities, from theory to practice: A rapid qualitative review of the literature. J. Gambl. Stud. 2021, 37, 947–982. [Google Scholar] [CrossRef]
- Abbott, M. Gambling and Gambling Harm in New Zealand: A 28-Year Case Study. Int. J. Ment. Health Addict. 2017, 15, 1221–1241. [Google Scholar] [CrossRef]
- Kolandai-Matchett, K.; Langham, E.; Bellringer, M.; Siitia, P.A.-H. How gambling harms experienced by Pacific people in New Zealand amplify when they are culture-related. Asian J. Gambl. Issues Public Health 2017, 7, 5. [Google Scholar] [CrossRef]
- Health Promotion Agency. Release 5.4.1-Health and Lifestyles Survey 2020; Health Promotion Agency: Wellington, New Zealand, 2020.
- Abbott, M.; Bellringer, M.; Garrett, N.; Mundy-McPherson, S. New Zealand 2012 National Gambling Study: Overview and Gambling Participation; Ministry of Health: Wellington, New Zealand, 2014.
- Raylu, N.; Oei, T.P. Role of culture in gambling and problem gambling. Clin. Psychol. Rev. 2004, 23, 1087–1114. [Google Scholar] [CrossRef]
- Awaworyi Churchill, S.; Farrell, L. Australia’s Gambling Epidemic: The Role of Neighbourhood Ethnic Diversity. J. Gambl. Stud. 2020, 36, 97–118. [Google Scholar] [CrossRef]
- Clarke, D.; Tse, S.; Abbott, M.; Townsend, S.; Kingi, P.; Manaia, W. Key Indicators of the Transition from Social to Problem Gambling. Int. J. Ment. Health Addict. 2006, 4, 247. [Google Scholar] [CrossRef]
- Okuda, M.; Liu, W.; Cisewski, J.A.; Segura, L.; Storr, C.L.; Martins, S.S. Gambling Disorder and Minority Populations: Prevalence and Risk Factors. Curr. Addict. Rep. 2016, 3, 280–292. [Google Scholar] [CrossRef]
- Barnes, G.M.; Welte, J.W.; Tidwell, M.-C.O. Gambling involvement among Native Americans, Blacks, and Whites in the United States. Am. J. Addict. 2017, 26, 713–721. [Google Scholar] [CrossRef]
- Neighbors, C.; Lostutter, T.W.; Cronce, J.M.; Larimer, M.E. Exploring college student gambling motivation. J. Gambl. Stud. 2002, 18, 361–370. [Google Scholar] [CrossRef]
- Lee, H.-P.; Chae, P.K.; Lee, H.-S.; Kim, Y.-K. The five-factor gambling motivation model. Psychiatry Res. 2007, 150, 21–32. [Google Scholar] [CrossRef]
- Marshall, D.C.; Baker, R.G. The evolving market structures of gambling: Case studies modelling the socioeconomic assignment of gaming machines in Melbourne and Sydney, Australia. J. Gambl. Stud. 2002, 18, 273–291. [Google Scholar] [CrossRef]
- Pearce, J.; Mason, K.; Hiscock, R.; Day, P. A national study of neighbourhood access to gambling opportunities and individual gambling behaviour. J. Epidemiol. Community Health 2008, 62, 862–868. [Google Scholar] [CrossRef]
- Wardle, H.; Keily, R.; Astbury, G.; Reith, G. ‘Risky places?’: Mapping gambling machine density and socio-economic deprivation. J. Gambl. Stud. 2014, 30, 201–212. [Google Scholar] [CrossRef]
- Ocean, G.; Smith, G.J. Social reward, conflict, and commitment: A theoretical model of gambling behavior. J. Gambl. Stud. 1993, 9, 321–339. [Google Scholar] [CrossRef]
- Sirola, A.; Kaakinen, M.; Savolainen, I.; Oksanen, A. Loneliness and online gambling-community participation of young social media users. Comput. Hum. Behav. 2019, 95, 136–145. [Google Scholar] [CrossRef]
- Dowling, N.; Jackson, A.C.; Thomas, S.A. Behavioral interventions in the treatment of pathological gambling: A review of activity scheduling and desensitization. Int. J. Behav. Consult. Ther. 2008, 4, 172. [Google Scholar] [CrossRef][Green Version]
- Jackson, A.C.; Francis, K.L.; Byrne, G.; Christensen, D.R. Leisure substitution and problem gambling: Report of a proof of concept group intervention. Int. J. Ment. Health Addict. 2013, 11, 64–74. [Google Scholar] [CrossRef]
- Buckingham, S.A.; Frings, D.; Albery, I.P. Group membership and social identity in addiction recovery. Psychol. Addict. Behav. 2013, 27, 1132. [Google Scholar] [CrossRef]
- Nuske, E.M.; Holdsworth, L.; Breen, H. Significant life events and social connectedness in Australian women’s gambling experiences. Nord. Stud. Alcohol Drugs 2016, 33, 7–26. [Google Scholar] [CrossRef]
- Brajša-Žganec, A.; Merkaš, M.; Šverko, I. Quality of Life and Leisure Activities: How do Leisure Activities Contribute to Subjective Well-Being? Soc. Indic. Res. 2011, 102, 81–91. [Google Scholar] [CrossRef]
- Garcia Diaz, L.; Savundranayagam, M.Y.; Kloseck, M.; Fitzsimmons, D. The Role of Cultural and Family Values on Social Connectedness and Loneliness among Ethnic Minority Elders. Clin. Gerontol. 2019, 42, 114–126. [Google Scholar] [CrossRef]
- Rose, T.; McDonald, A.; Von Mach, T.; Witherspoon, D.P.; Lambert, S. Patterns of Social Connectedness and Psychosocial Wellbeing among African American and Caribbean Black Adolescents. J. Youth Adolesc. 2019, 48, 2271–2291. [Google Scholar] [CrossRef]
- Jang, Y.; Park, J.; Choi, E.Y.; Cho, Y.J.; Park, N.S.; Chiriboga, D.A. Social isolation in Asian Americans: Risks associated with socio-demographic, health, and immigration factors. Ethn. Health 2022, 27, 1428–1441. [Google Scholar] [CrossRef]
- Oetzel, J.G.; Ruru, S.; Zhang, Y.; Simpson, M.L.; Nock, S.; Meha, P.; Holmes, K.; Clark, M.; Adams, H.; Akapita, N.; et al. Enhancing Well-Being and Social Connectedness for Māori Elders Through a Peer Education (Tuakana-Teina) Programme: A Cross-Sectional Baseline Study. Front. Public Health 2021, 9, 775545. [Google Scholar] [CrossRef]
- Ataera-Minster, J.; Trowland, H. Te Kaveinga: Mental Health and Wellbeing of Pacific Peoples. Results from the New Zealand Mental Health Monitor & Health and Lifestyles Survey; Health Promotion Agency: Wellington, New Zealand, 2018.
- Ferris, J.; Wynne, H. The Canadian Problem Gambling Index: Final Report; Canadian Centre on Substance Abuse: Ottawa, ON, Canada, 2001. [Google Scholar]
- Devlin, M.E.; Walton, D. The prevalence of problem gambling in New Zealand as measured by the PGSI: Adjusting prevalence estimates using meta-analysis. Int. Gambl. Stud. 2012, 12, 177–197. [Google Scholar] [CrossRef]
- Kessler, R.C.; Andrews, G.; Colpe, L.J.; Hiripi, E.; Mroczek, D.K.; Normand, S.L.; Walters, E.E.; Zaslavsky, A.M. Short screening scales to monitor population prevalences and trends in non-specific psychological distress. Psychol. Med. 2002, 32, 959–976. [Google Scholar] [CrossRef]
- Schmidt, S.; Mühlan, H.; Power, M. The EUROHIS-QOL 8-item index: Psychometric results of a cross-cultural field study. Eur. J. Public Health 2006, 16, 420–428. [Google Scholar] [CrossRef]
- Victorian Responsible Gambling Foundation. The Victorian Gambling Study: A Longitudinal Study of Gambling and Public Health-Wave Three Findings; Victorian Responsible Gambling Foundation: Melbourne, Australia, 2012.
- Shead, N.W.; Derevensky, J.L.; Gupta, R. Risk and protective factors associated with youth problem gambling. Int. J. Adolesc. Med. Health 2010, 22, 39. [Google Scholar]
- Räsänen, T.; Lintonen, T.; Tolvanen, A.; Konu, A. The role of social support in the association between gambling, poor health and health risk-taking. Scand. J. Public Health 2016, 44, 593–598. [Google Scholar] [CrossRef]
- Livazović, G.; Bojčić, K. Problem gambling in adolescents: What are the psychological, social and financial consequences? BMC Psychiatry 2019, 19, 308. [Google Scholar] [CrossRef]
- Savolainen, I.; Sirola, A.; Vuorinen, I.; Mantere, E.; Oksanen, A. Online Communities and Gambling Behaviors—A Systematic Review. Curr. Addict. Rep. 2022, 1–10. [Google Scholar] [CrossRef]
- Castrén, S.; Basnet, S.; Salonen, A.H.; Pankakoski, M.; Ronkainen, J.-E.; Alho, H.; Lahti, T. Factors associated with disordered gambling in Finland. Subst. Abus.Treat. Prev. Policy 2013, 8, 24. [Google Scholar] [CrossRef]
- Diener, E.; Seligman, M.E.P. Beyond Money:Toward an Economy of Well-Being. Psychol. Sci. Public Interest 2004, 5, 1–31. [Google Scholar] [CrossRef]
- Cohen, S. Social relationships and health. Am. Psychol. 2004, 59, 676. [Google Scholar] [CrossRef]
- McMillen, J.; Marshall, D.; Murphy, L.; Lorenzen, S.; Waugh, B. Help-Seeking by Problem Gamblers, Friends and Families: A Focus on Gender and Cultural Groups; Centre for Gambling Research (CGR), ANU: Canberra, Australia, 2007. [Google Scholar]
- McMillen, J.; Donnelly, K. Gambling in Australian Indigenous communities: The state of play. Aust. J. Soc. Issues 2008, 43, 397–426. [Google Scholar] [CrossRef]
- Breen, H.; Gainsbury, S. Aboriginal Gambling and Problem Gambling: A Review. Int. J. Ment. Health Addict. 2013, 11, 75–96. [Google Scholar] [CrossRef]
- Boldero, J.M.; Bell, R.C.; Moore, S.M. Do gambling activity patterns predict gambling problems? A latent class analysis of gambling forms among Australian youth. Int. Gambl. Stud. 2010, 10, 151–163. [Google Scholar] [CrossRef]
- Scalese, M.; Bastiani, L.; Salvadori, S.; Gori, M.; Lewis, I.; Jarre, P.; Molinaro, S. Association of Problem Gambling with Type of Gambling Among Italian General Population. J. Gambl. Stud. 2016, 32, 1017–1026. [Google Scholar] [CrossRef]
- Caler, K.R.; Vargas Garcia, J.R.; Nower, L. Problem gambling among ethnic minorities: Results from an epidemiological study. Asian J. Gambl. Issues Public Health 2017, 7, 7. [Google Scholar] [CrossRef]
- Siddharth, P. Quantifying Māori Spend on Tobacco, Alcohol & Gambling; New Zealand Institute of Economic Research: Wellington, New Zealand, 2019. [Google Scholar]
- Volberg, R.A.; Abbott, M.W. Gambling and problem gambling among indigenous peoples. Subst. Use Misuse 1997, 32, 1525–1538. [Google Scholar] [CrossRef]
- Wheeler, B.W.; Rigby, J.E.; Huriwai, T. Pokies and poverty: Problem gambling risk factor geography in New Zealand. Health Place 2006, 12, 86–96. [Google Scholar] [CrossRef]
- Bourke, S.; Wright, A.; Guthrie, J.; Russell, L.; Dunbar, T.; Lovett, R. Evidence Review of Indigenous Culture for Health and Wellbeing. Int. J. Health Wellness Soc. 2018, 8, 11–27. [Google Scholar] [CrossRef]
- Hilbrecht, M.; Baxter, D.; Abbott, M.; Binde, P.; Clark, L.; Hodgins, D.C.; Manitowabi, D.; Quilty, L.; SpÅngberg, J.; Volberg, R.; et al. The Conceptual Framework of Harmful Gambling: A revised framework for understanding gambling harm. J. Behav. Addict. 2020, 9, 190–205. [Google Scholar] [CrossRef]
- Toepoel, V. Ageing, Leisure, and Social Connectedness: How could Leisure Help Reduce Social Isolation of Older People? Soc. Indic. Res. 2013, 113, 355–372. [Google Scholar] [CrossRef]
- Nielsen, L.; Hinrichsen, C.; Madsen, K.R.; Nelausen, M.K.; Meilstrup, C.; Koyanagi, A.; Koushede, V.; Santini, Z.I. Participation in social leisure activities may benefit mental health particularly among individuals that lack social connectedness at work or school. Ment. Health Soc. Incl. 2021, 25, 341–351. [Google Scholar] [CrossRef]
Publisher’s Note: MDPI stays neutral with regard to jurisdictional claims in published maps and institutional affiliations. |
© 2022 by the authors. Licensee MDPI, Basel, Switzerland. This article is an open access article distributed under the terms and conditions of the Creative Commons Attribution (CC BY) license (https://creativecommons.org/licenses/by/4.0/).