Blood Urea Nitrogen Is Associated with In-Hospital Mortality in Critically Ill Patients with Acute Exacerbation of Chronic Obstructive Pulmonary Disease: A Propensity Score Matching Analysis
Abstract
1. Introduction
2. Methods
2.1. Data Source
2.2. Study Population and Data Extraction
2.3. Statistical Analysis
3. Results
3.1. Baseline Characteristics
3.2. Propensity Score Matching Analysis
3.3. Logistic Regression Analysis
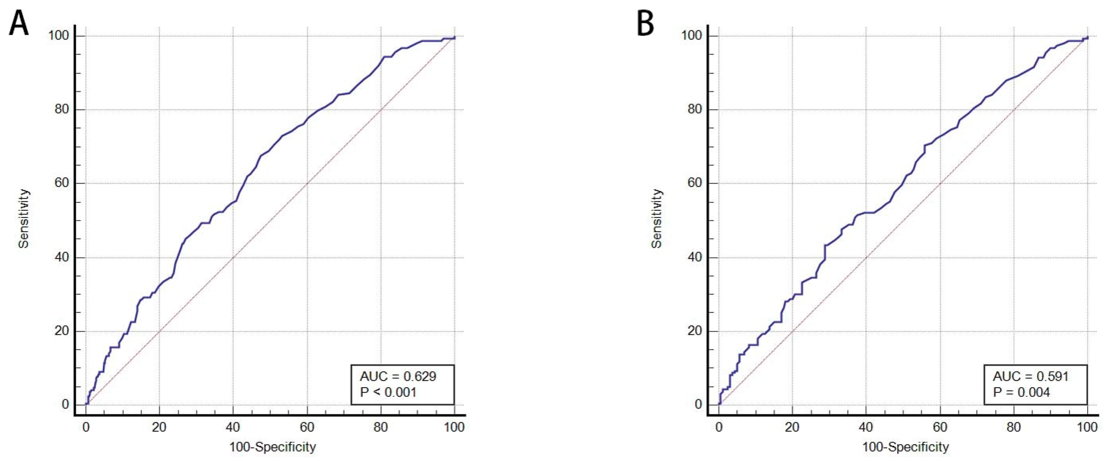
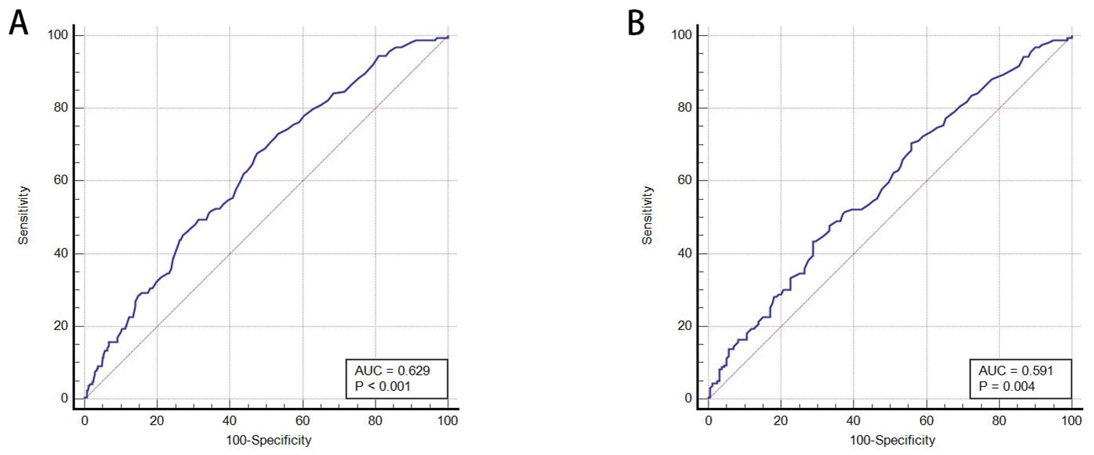
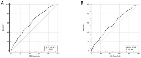
3.4. Receiver Operating Characteristic Analysis
3.5. Survival Analysis
4. Discussion
5. Conclusions
Author Contributions
Funding
Institutional Review Board Statement
Informed Consent Statement
Data Availability Statement
Conflicts of Interest
References
- Christenson, S.A.; Smith, B.M.; Bafadhel, M.; Putcha, N. Chronic Obstructive Pulmonary Disease. Lancet 2022, 399, 2227–2242. [Google Scholar] [CrossRef]
- Wang, Z.; Locantore, N.; Haldar, K.; Ramsheh, M.Y.; Beech, A.S.; Ma, W.; Brown, J.R.; Tal-Singer, R.; Barer, M.R.; Bafadhel, M.; et al. Inflammatory Endotype-Associated Airway Microbiome in Chronic Obstructive Pulmonary Disease Clinical Stability and Exacerbations: A Multicohort Longitudinal Analysis. Am. J. Respir. Crit. Care Med. 2021, 203, 1488–1502. [Google Scholar] [CrossRef] [PubMed]
- Roth, G.A.; Abate, D.; Abate, K.H.; Abay, S.M.; Abbafati, C.; Abbasi, N.; Abbastabar, H.; Abd-Allah, F.; Abdela, J.; Abdelalim, A.; et al. Global, Regional, and National Age-Sex-Specific Mortality for 282 Causes of Death in 195 Countries and Territories, 1980–2017: A Systematic Analysis for the Global Burden of Disease Study 2017. Lancet 2018, 392, 1736–1788. [Google Scholar] [CrossRef]
- Singanayagam, A.; Schembri, S.; Chalmers, J.D. Predictors of Mortality in Hospitalized Adults with Acute Exacerbation of Chronic Obstructive Pulmonary Disease. Ann. Am. Thorac. Soc. 2013, 10, 81–89. [Google Scholar] [CrossRef]
- Bustamante-Fermosel, A.; De Miguel-Yanes, J.M.; Duffort-Falcó, M.; Muñoz, J. Mortality-Related Factors after Hospitalization for Acute Exacerbation of Chronic Obstructive Pulmonary Disease: The Burden of Clinical Features. Am. J. Emerg. Med. 2007, 25, 515–522. [Google Scholar] [CrossRef] [PubMed]
- Steer, J.; Gibson, J.; Bourke, S.C. The DECAF Score: Predicting Hospital Mortality in Exacerbations of Chronic Obstructive Pulmonary Disease. Thorax 2012, 67, 970–976. [Google Scholar] [CrossRef]
- Cao, Y.; Xing, Z.; Long, H.; Huang, Y.; Zeng, P.; Janssens, J.-P.; Guo, Y. Predictors of Mortality in COPD Exacerbation Cases Presenting to the Respiratory Intensive Care Unit. Respir. Res. 2021, 22, 77. [Google Scholar] [CrossRef] [PubMed]
- Morasert, T.; Jantarapootirat, M.; Phinyo, P.; Patumanond, J. Prognostic Indicators for In-Hospital Mortality in COPD with Acute Exacerbation in Thailand: A Retrospective Cohort Study. BMJ Open Respir. Res. 2020, 7, e000488. [Google Scholar] [CrossRef]
- Kazory, A. Emergence of Blood Urea Nitrogen as a Biomarker of Neurohormonal Activation in Heart Failure. Am. J. Cardiol. 2010, 106, 694–700. [Google Scholar] [CrossRef]
- Testani, J.M.; Coca, S.G.; Shannon, R.P.; Kimmel, S.E.; Cappola, T.P. Influence of Renal Dysfunction Phenotype on Mortality in the Setting of Cardiac Dysfunction: Analysis of Three Randomized Controlled Trials. Eur. J. Heart Fail. 2011, 13, 1224–1230. [Google Scholar] [CrossRef]
- Kumar, N.L.; Claggett, B.L.; Cohen, A.J.; Nayor, J.; Saltzman, J.R. Association between an Increase in Blood Urea Nitrogen at 24 Hours and Worse Outcomes in Acute Nonvariceal Upper GI Bleeding. Gastrointest. Endosc. 2017, 86, 1022–1027.e1. [Google Scholar] [CrossRef]
- Xie, Y.; Bowe, B.; Li, T.; Xian, H.; Yan, Y.; Al-Aly, Z. Higher Blood Urea Nitrogen Is Associated with Increased Risk of Incident Diabetes Mellitus. Kidney Int. 2018, 93, 741–752. [Google Scholar] [CrossRef] [PubMed]
- Lan, Q.; Zheng, L.; Zhou, X.; Wu, H.; Buys, N.; Liu, Z.; Sun, J.; Fan, H. The Value of Blood Urea Nitrogen in the Prediction of Risks of Cardiovascular Disease in an Older Population. Front. Cardiovasc. Med. 2021, 8, 614117. [Google Scholar] [CrossRef] [PubMed]
- Koutroumpakis, E.; Wu, B.U.; Bakker, O.J.; Dudekula, A.; Singh, V.K.; Besselink, M.G.; Yadav, D.; Mounzer, R.; van Santvoort, H.C.; Whitcomb, D.C.; et al. Admission Hematocrit and Rise in Blood Urea Nitrogen at 24 h Outperform Other Laboratory Markers in Predicting Persistent Organ Failure and Pancreatic Necrosis in Acute Pancreatitis: A Post Hoc Analysis of Three Large Prospective Databases. Am. J. Gastroenterol. 2015, 110, 1707–1716. [Google Scholar] [CrossRef] [PubMed]
- Ye, B.; Deng, H.; Zhao, H.; Liang, J.; Ke, L.; Li, W. Association between an Increase in Blood Urea Nitrogen at 24 h and Worse Outcomes in COVID-19 Pneumonia. Ren. Fail. 2021, 43, 347–350. [Google Scholar]
- Milas, G.P.; Issaris, V.; Papavasileiou, V. Blood Urea Nitrogen to Albumin Ratio as a Predictive Factor for Pneumonia: A Meta-Analysis. Respir. Med. Res. 2022, 81, 100886. [Google Scholar] [CrossRef]
- Gayaf, M.; Karadeniz, G.; Güldaval, F.; Polat, G.; Türk, M. Which One Is Superior in Predicting 30 and 90 Days Mortality after COPD Exacerbation: DECAF, CURB-65, PSI, BAP-65, PLR, NLR. Expert Rev. Respir. Med. 2021, 15, 845–851. [Google Scholar] [CrossRef]
- Clementi, A.; Virzì, G.M.; Battaglia, G.G.; Ronco, C. Neurohormonal, Endocrine, and Immune Dysregulation and Inflammation in Cardiorenal Syndrome. Cardiorenal Med. 2019, 9, 265–273. [Google Scholar] [CrossRef]
- Johnson, A.; Bulgarelli, L.; Pollard, T.; Horng, S.; Celi, L.A.; Mark, R. MIMIC-IV (Version 1.0). PhysioNet 2021. [Google Scholar] [CrossRef]
- Arihan, O.; Wernly, B.; Lichtenauer, M.; Franz, M.; Kabisch, B.; Muessig, J.; Masyuk, M.; Lauten, A.; Schulze, P.C.; Hoppe, U.C.; et al. Blood Urea Nitrogen (BUN) Is Independently Associated with Mortality in Critically Ill Patients Admitted to ICU. PLoS ONE 2018, 13, e0191697. [Google Scholar] [CrossRef]
- Ugajin, M.; Yamaki, K.; Iwamura, N.; Yagi, T.; Asano, T. Blood Urea Nitrogen to Serum Albumin Ratio Independently Predicts Mortality and Severity of Community-Acquired Pneumonia. Int. J. Gen. Med. 2012, 5, 583–589. [Google Scholar] [CrossRef] [PubMed]
- Feng, D.-Y.; Zhou, Y.-Q.; Zou, X.-L.; Zhou, M.; Yang, H.-L.; Chen, X.-X.; Zhang, T.-T. Elevated Blood Urea Nitrogen-to-Serum Albumin Ratio as a Factor That Negatively Affects the Mortality of Patients with Hospital-Acquired Pneumonia. Can. J. Infect. Dis. Med. Microbiol. 2019, 2019, 1547405. [Google Scholar] [CrossRef] [PubMed]
- Küçükceran, K.; Ayrancı, M.K.; Girişgin, A.S.; Koçak, S.; Dündar, Z.D. The Role of the BUN/Albumin Ratio in Predicting Mortality in COVID-19 Patients in the Emergency Department. Am. J. Emerg. Med. 2021, 48, 33–37. [Google Scholar] [CrossRef] [PubMed]
- Chen, L.; Chen, L.; Zheng, H.; Wu, S.; Wang, S. The Association of Blood Urea Nitrogen Levels upon Emergency Admission with Mortality in Acute Exacerbation of Chronic Obstructive Pulmonary Disease. Chron. Respir. Dis. 2021, 18, 14799731211060052. [Google Scholar] [CrossRef]
- Lodge, K.M.; Vassallo, A.; Liu, B.; Long, M.; Tong, Z.; Newby, P.R.; Agha-Jaffar, D.; Paschalaki, K.; Green, C.E.; Belchamber, K.B.R.; et al. Hypoxia Increases the Potential for Neutrophil-Mediated Endothelial Damage in Chronic Obstructive Pulmonary Disease. Am. J. Respir. Crit. Care Med. 2022, 205, 903–916. [Google Scholar] [CrossRef] [PubMed]
- Kent, B.D.; Mitchell, P.D.; McNicholas, W.T. Hypoxemia in Patients with COPD: Cause, Effects, and Disease Progression. Int. J. Chron. Obstruct. Pulmon. Dis. 2011, 6, 199–208. [Google Scholar] [CrossRef]
- Matsue, Y.; van der Meer, P.; Damman, K.; Metra, M.; O’Connor, C.M.; Ponikowski, P.; Teerlink, J.R.; Cotter, G.; Davison, B.; Cleland, J.G.; et al. Blood Urea Nitrogen-to-Creatinine Ratio in the General Population and in Patients with Acute Heart Failure. Heart 2017, 103, 407–413. [Google Scholar] [CrossRef]
- Pinto-Plata, V.M.; Livnat, G.; Girish, M.; Cabral, H.; Masdin, P.; Linacre, P.; Dew, R.; Kenney, L.; Celli, B.R. Systemic Cytokines, Clinical and Physiological Changes in Patients Hospitalized for Exacerbation of COPD. Chest 2007, 131, 37–43. [Google Scholar] [CrossRef]
- Mohan, A.; Premanand, R.; Reddy, L.N.; Rao, M.H.; Sharma, S.K.; Kamity, R.; Bollineni, S. Clinical Presentation and Predictors of Outcome in Patients with Severe Acute Exacerbation of Chronic Obstructive Pulmonary Disease Requiring Admission to Intensive Care Unit. BMC Pulm. Med. 2006, 6, 27. [Google Scholar] [CrossRef][Green Version]
- Warwick, M.; Fernando, S.M.; Aaron, S.D.; Rochwerg, B.; Tran, A.; Thavorn, K.; Mulpuru, S.; McIsaac, D.I.; Thompson, L.H.; Tanuseputro, P.; et al. Outcomes and Resource Utilization Among Patients Admitted to the Intensive Care Unit Following Acute Exacerbation of Chronic Obstructive Pulmonary Disease. J. Intensive Care Med. 2021, 36, 1091–1097. [Google Scholar] [CrossRef]




| Before PSM | After PSM | |||||
|---|---|---|---|---|---|---|
| Characteristics | Survival (n = 1037) | Death (n = 164) | p | Survival (n = 159) | Death (n = 159) | p Value |
| * Age, year | 71 (64–80) | 76 (70–82.5) | 0.001 | 74 (66–84) | 76 (70–82.5) | 0.258 |
| * Gender, male | 524 (50.5) | 79 (48.2) | 0.574 | 84 (52.8) | 79 (49.7) | 0.575 |
| LOS hospital, day | 8 (4.9–13.9) | 8.5 (4.0–15.8) | 0.666 | 8.8 (5.9–16.3) | 8.7 (4–15.8) | 0.227 |
| LOS ICU, day | 2.4 (1.3–4.9) | 3.9 (1.7–7.9) | 0.001 | 2.3 (1.2–4.6) | 3.9 (1.7–7.9) | 0.001 |
| Laboratory tests | ||||||
| * Hemoglobin, g/dL | 11.2 (9.8–12.7) | 10.9 (9.2–12.2) | 0.001 | 10.4 (9.4–12.5) | 10.9 (9.1–12.2) | 0.797 |
| * WBC, 109/L | 10.9 (7.9–14.6) | 12.7 (9.2–17.5) | 0.854 | 11.4 (8.1–15.6) | 12.7 (9.3–17.2) | 0.076 |
| * Platelets, 109/L | 217 (163–280) | 193 (133.2–271.7) | 0.001 | 217 (149.8–265.5) | 192 (133–276.5) | 0.187 |
| Glucose, mg/dL | 144 (119.4–180.3) | 144 (121.7–178.4) | 0.828 | 138.6 (117.5–175) | 142.3 (118.8–174) | 0.501 |
| * Creatinine, ng/dL | 1 (0.8–1.5) | 1.1 (0.8–1.8) | 0.040 | 1.1 (0.8–1.6) | 1.1 (0.8–1.8) | 0.618 |
| MCHC, g/dL | 32.2 (31.1–33.2) | 32.1 (31–33.2) | 0.377 | 31.9 (30.9–33) | 32.1 (31–33.2) | 0.456 |
| * RDW, % | 14.8 (13.8–16.1) | 15.2 (14–16.9) | 0.006 | 15.1 (14.2–17) | 15.2 (14–16.9) | 0.958 |
| * Hematocrit, % | 35 (30.5–39.5) | 33.7 (28.9–37.7) | 0.004 | 33.7 (29.1–38) | 33.4 (28.2–37.6) | 0.698 |
| BUN, mg/dL | 22.5 (16–35.5) | 30 (20.5–45) | 0.001 | 25.5 (16.5–37.5) | 30 (20.5–44.5) | 0.005 |
| * Bicarbonate, mEq/L | 26 (23–30) | 25 (21.3–30) | 0.036 | 26 (22.5–29) | 25 (21.5–30) | 0.269 |
| Comorbidities | ||||||
| * Hypertension | 423 (40.8) | 57 (34.8) | 0.146 | 57 (35.8) | 55 (34.6) | 0.907 |
| * Diabetes | 321 (31) | 48 (29.3) | 0.716 | 47 (29.6) | 46 (28.9) | 0.902 |
| * Congestive heart failure | 516 (49.8) | 93 (56.7) | 0.110 | 87 (54.7) | 90 (56.6) | 0.735 |
| * Coronary artery disease | 309 (29.8) | 57 (34.8) | 0.202 | 45 (28.5) | 55 (34.6) | 0.227 |
| * Chronic kidney disease | 247 (23.8) | 41 (25) | 0.768 | 39 (25.5) | 40 (25.2) | 0.897 |
| * Severe liver disease | 18 (1.7) | 5 (3) | 0.228 | 4 (2.5) | 5 (3.1) | 0.735 |
| * Obesity | 161 (15.5) | 24 (14.5) | 0.817 | 25 (17.5) | 24 (15.1) | 0.877 |
| * Malignant cancer | 132 (12.7) | 44 (26.8) | 0.001 | 37 (23.3) | 41 (25.8) | 0.602 |
| * Cerebrovascular disease | 82 (7.9) | 17 (10.4) | 0.286 | 15 (9.4) | 17 (10.7) | 0.709 |
| Monitoring parameters | ||||||
| * Heart rate, Bpm | 87 (77–99) | 91 (79–106) | 0.004 | 89 (80–102) | 91 (79–105) | 0.654 |
| * MAP, mmHg | 78 (71–85) | 75 (69–82) | 0.004 | 77 (71–84) | 75 (69–82) | 0.101 |
| * RR, breaths/minutes | 20 (18.1–23) | 21 (19–24) | 0.022 | 21 (19–24) | 21 (19–24) | 0.588 |
| SpO2,% | 95.4 (93.8–97) | 95 (93.5–97.3) | 0.649 | 95 (94–97) | 95 (93–97) | 0.834 |
| Intervention | ||||||
| * Mechanical ventilation | 327 (31.5) | 66 (40.2) | 0.031 | 50 (31.4) | 62 (39) | 0.159 |
| Variable | Univariate Analysis | Multivariate Analysis | ||
|---|---|---|---|---|
| OR (95% CI) | p | OR (95% CI) | p | |
| Age | 1.039 (1.022–1.056) | 0.001 | 1.042 (1.023–1.061) | 0.001 |
| Gender (male) | 0.910 (0.574–0.910) | 0.574 | ||
| LOS hospital | 1.005 (0.987–1.023) | 0.606 | ||
| LOS ICU | 1.047 (1.021–1.073) | 0.001 | 1.038 (1.008–1.069) | 0.012 |
| Hemoglobin | 0.897 (0.829–0.970) | 0.006 | 1.078 (0.758–1.532) | 0.675 |
| WBC | 1.040 (1.017–1.063) | 0.001 | 1.029 (1.004–1.054) | 0.021 |
| Platelets | 0.998 (0.997–1.000) | 0.049 | 0.998 (0.996–1.000) | 0.033 |
| Glucose | 1.002 (0.999–1.005) | 0.206 | ||
| Creatinine | 1.087 (0.949–1.243) | 0.228 | ||
| MCHC | 0.958 (0.865–1.060) | 0.401 | ||
| RDW | 1.113 (1.042–1.188) | 0.002 | 1.076 (0.988–1.172) | 0.093 |
| Hematocrit | 0.966 (0.942–0.992) | 0.010 | 0.974 (0.872–1.089) | 0.644 |
| BUN | 1.018 (1.010–1.025) | 0.001 | 1.014 (1.005–1.022) | 0.002 |
| Bicarbonate | 0.972 (0.944–1.001) | 0.059 | 1.012 (0.979–1.046) | 0.485 |
| Hypertension (yes) | 0.773 (0.548–1.091) | 0.143 | ||
| Diabetes (yes) | 0.923 (0.643–1.325) | 0.664 | ||
| Congestive heart failure (yes) | 1.323 (0.949–1.843) | 0.099 | 1.108 (0.762–1.609) | 0.592 |
| Coronary artery disease (yes) | 1.255 (0.886–1.777) | 0.201 | ||
| Chronic kidney disease (yes) | 1.066 (0.728–1.561) | 0.742 | ||
| Severe liver disease (yes) | 1.780 (0.652–4.862) | 0.261 | ||
| Obesity (yes) | 0.933 (0.586–1.484) | 0.769 | ||
| Malignant cancer (yes) | 2.514 (1.701–3.716) | 0.001 | 2.971 (1.929–4.577) | 0.001 |
| Cerebrovascular disease (yes) | 1.347 (0.777–2.335) | 0.289 | ||
| Hear rate | 1.016 (1.005–1.027) | 0.003 | 1.018 (1.005–1.030) | 0.005 |
| Mean arterial pressure | 0.975 (0.959–0.992) | 0.015 | 0.993 (0.974–1.012) | 0.447 |
| Respiratory rate | 1.056 (1.011–1.104) | 0.001 | 1.030 (0.979–1.084) | 0.259 |
| SpO2 | 0.966 (0.900–1.036) | 0.332 | ||
| Mechanical ventilation (yes) | 1.462 (1.042–2.051) | 0.028 | 1.654 (1.093–2.505) | 0.017 |
| Variable | Univariate Analysis | Multivariate Analysis | ||
|---|---|---|---|---|
| OR (95% CI) | p | OR (95% CI) | p | |
| Age | 1.013 (0.992–1.035) | 0.233 | ||
| Gender (male) | 0.882 (0.568–1.369) | 0.575 | ||
| LOS hospital | 0.999 (0.976–1.022) | 0.919 | ||
| LOS ICU | 1.075 (1.026–1.172) | 0.002 | 1.077 (1.027–1.130) | 0.002 |
| Hemoglobin | 0.993 (0.901–1.095) | 0.890 | ||
| WBC | 1.008 (0.980–1.036) | 0.571 | ||
| Platelets | 0.999 (0.997–1.001) | 0.575 | ||
| Glucose | 1.022 (0.998–1.005) | 0.375 | ||
| Creatinine | 1.017 (0.806–1.283) | 0.885 | ||
| MCHC | 1.048 (0.920–1.193) | 0.481 | ||
| RDW | 1.009 (0.927–1.099) | 0.830 | ||
| Hematocrit | 0.995 (0.964–1.027) | 0.747 | ||
| BUN | 1.016 (1.004–1.027) | 0.008 | 1.015 (1.003–1.027) | 0.015 |
| Bicarbonate | 0.984 (0.948–1.022) | 0.408 | ||
| Hypertension (yes) | 0.946 (0.597–1.499) | 0.814 | ||
| Diabetes (yes) | 0.970 (0.598–1.573) | 0.902 | ||
| Congestive heart failure (yes) | 1.079 (0.693–1.680) | 0.735 | ||
| Coronary artery disease (yes) | 1.340 (0.833–2.155) | 0.228 | ||
| Chronic kidney disease (yes) | 1.034 (0.622–1.720) | 0.897 | ||
| Severe liver disease (yes) | 1.258 (0.332–4.774) | 0.736 | ||
| Obesity (yes) | 0.953 (0.518–1.752) | 0.877 | ||
| Malignant cancer (yes) | 1.146 (0.687–1.911) | 0.602 | ||
| Cerebrovascular disease (yes) | 1.149 (0.553–2.390) | 0.709 | ||
| Heart rate | 1.002 (0.988–1.016) | 0.815 | ||
| Mean arterial pressure | 0.981 (0.960–1.002) | 0.081 | 0.987 (0.965–1.009) | 0.251 |
| Respiratory rate | 1.016 (0.962–1.074) | 0.566 | ||
| SpO2 | 0.967 (0.886–1.057) | 0.464 | ||
| Mechanical ventilation (yes) | 1.393 (0.878–2.212) | 0.159 | ||
Publisher’s Note: MDPI stays neutral with regard to jurisdictional claims in published maps and institutional affiliations. |
© 2022 by the authors. Licensee MDPI, Basel, Switzerland. This article is an open access article distributed under the terms and conditions of the Creative Commons Attribution (CC BY) license (https://creativecommons.org/licenses/by/4.0/).
Share and Cite
Giri, M.; He, L.; Hu, T.; Puri, A.; Zheng, X.; Dai, H.; Guo, S. Blood Urea Nitrogen Is Associated with In-Hospital Mortality in Critically Ill Patients with Acute Exacerbation of Chronic Obstructive Pulmonary Disease: A Propensity Score Matching Analysis. J. Clin. Med. 2022, 11, 6709. https://doi.org/10.3390/jcm11226709
Giri M, He L, Hu T, Puri A, Zheng X, Dai H, Guo S. Blood Urea Nitrogen Is Associated with In-Hospital Mortality in Critically Ill Patients with Acute Exacerbation of Chronic Obstructive Pulmonary Disease: A Propensity Score Matching Analysis. Journal of Clinical Medicine. 2022; 11(22):6709. https://doi.org/10.3390/jcm11226709
Chicago/Turabian StyleGiri, Mohan, Lin He, Tianyang Hu, Anju Puri, Xiaozhuo Zheng, Haiyun Dai, and Shuliang Guo. 2022. "Blood Urea Nitrogen Is Associated with In-Hospital Mortality in Critically Ill Patients with Acute Exacerbation of Chronic Obstructive Pulmonary Disease: A Propensity Score Matching Analysis" Journal of Clinical Medicine 11, no. 22: 6709. https://doi.org/10.3390/jcm11226709
APA StyleGiri, M., He, L., Hu, T., Puri, A., Zheng, X., Dai, H., & Guo, S. (2022). Blood Urea Nitrogen Is Associated with In-Hospital Mortality in Critically Ill Patients with Acute Exacerbation of Chronic Obstructive Pulmonary Disease: A Propensity Score Matching Analysis. Journal of Clinical Medicine, 11(22), 6709. https://doi.org/10.3390/jcm11226709
