The Added Value of Serum Random Cortisol and Thyroid Function Tests as Mortality Predictors for Critically Ill Patients: A Prospective Cohort Study
Abstract
1. Introduction
2. Materials and Methods
2.1. Laboratory Assays
2.2. Statistical Analysis
3. Results
3.1. Baseline Characteristics
3.2. Associations of Thyroid Hormones and Cortisol with ICU Mortality
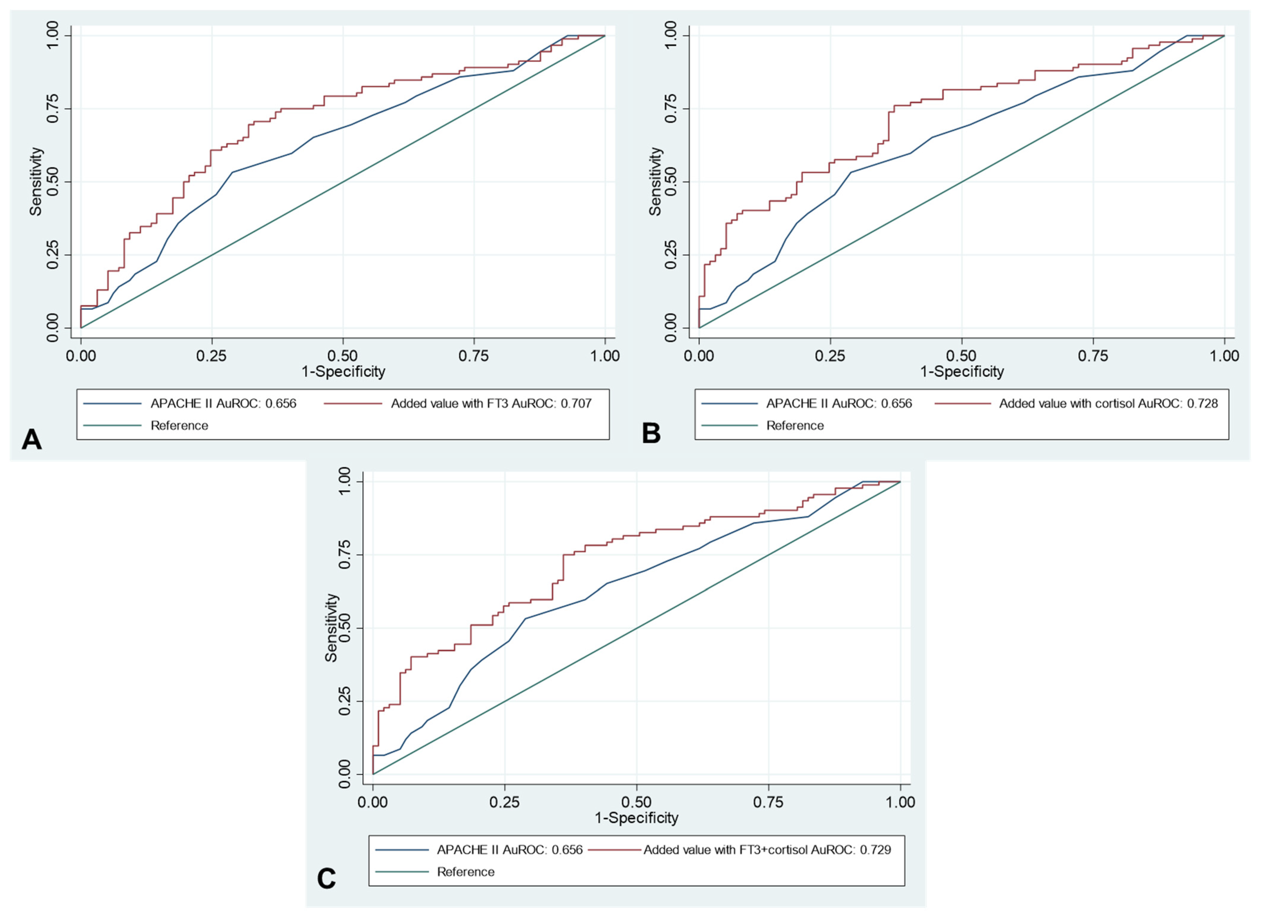
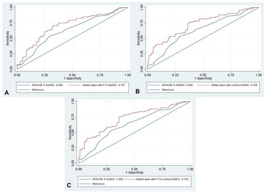
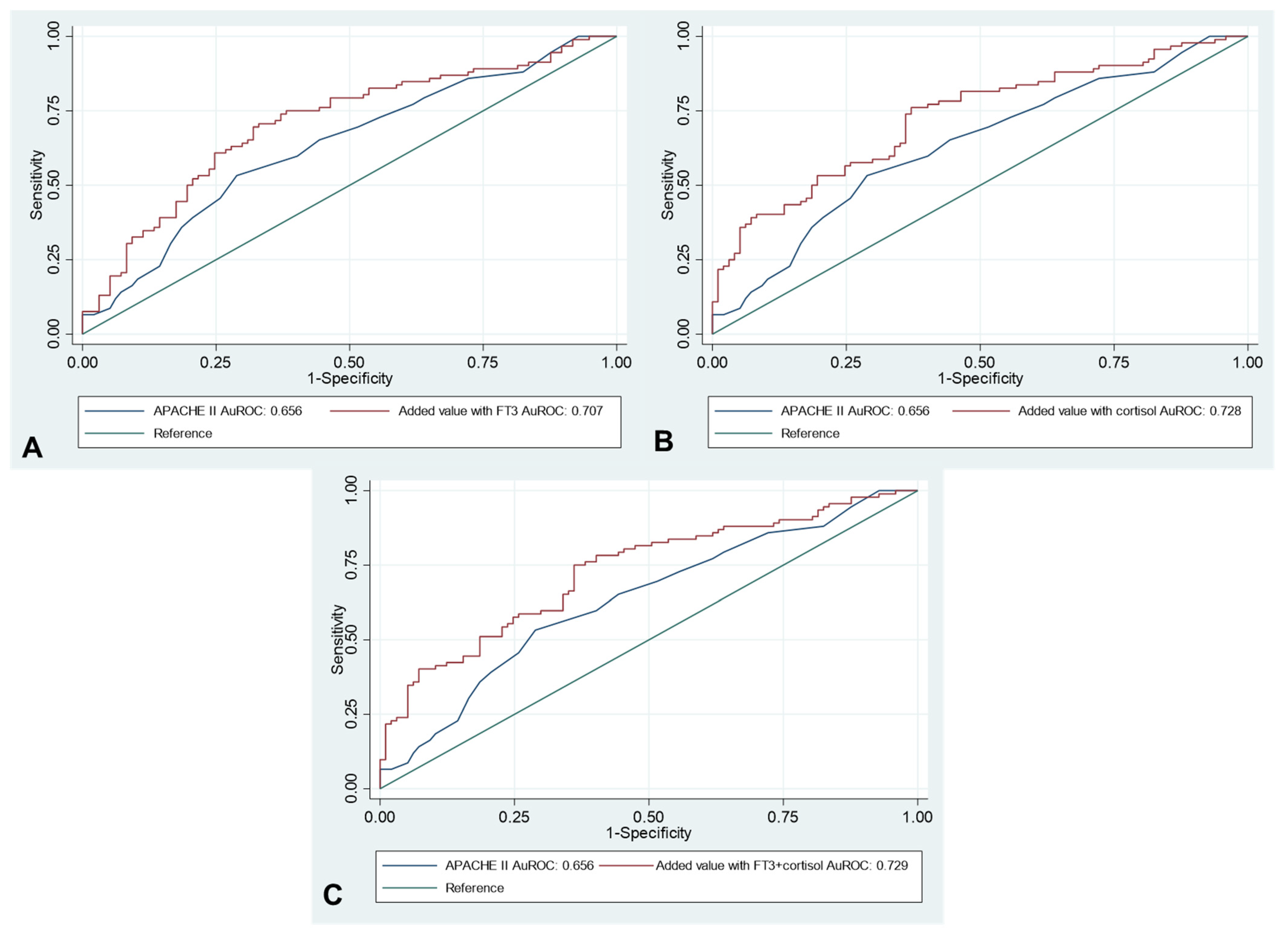
3.3. Added Value of Free T3 and Random Cortisol with APACHE II Score
3.4. Scoring System
4. Discussion
5. Conclusions
Author Contributions
Funding
Institutional Review Board Statement
Informed Consent Statement
Data Availability Statement
Acknowledgments
Conflicts of Interest
Abbreviations
References
- Marik, P.E. Chapter 76—Endocrinology of the stress response during critical illness. In Critical Care Nephrology, 3rd ed.; Ronco, C., Bellomo, R., Kellum, J.A., Ricci, Z., Eds.; Elsevier: Philadelphia, PA, USA, 2019; pp. 446–454.e444. [Google Scholar]
- Peeters, R.; Wouters, P.; Kaptein, E.; van Toor, H.; Visser, T.; Van den Berghe, G. Reduced activation and increased inactivation of thyroid hormone in tissues of critically ill patients. J. Clin. Endocrinol. Metab. 2003, 88, 3202–3211. [Google Scholar] [CrossRef] [PubMed]
- Téblick, A.; Gunst, J.; Van den Berghe, G. Critical illness-induced corticosteroid insufficiency: What it is not and what it could be. J. Clin. Endocrinol. Metab. 2022, 107, 2057–2064. [Google Scholar] [CrossRef] [PubMed]
- Mesotten, D.; Vanhorebeek, I.; Van den Berghe, G. The altered adrenal axis and treatment with glucocorticoids during critical illness. Nat. Clin. Pract. Endocrinol. Metab. 2008, 4, 496–505. [Google Scholar] [CrossRef] [PubMed]
- Téblick, A.; Langouche, L.; Van den Berghe, G. Anterior pituitary function in critical illness. Endocr. Connect. 2019, 8, R131–R143. [Google Scholar] [CrossRef]
- Thilak, M.R.; Shetty, S.M.; Kotian, C.M.; Mohammed, A.P.; Dhunputh, P.; Umakanth, S.; Saraswat, P.P. Serum total triiodothyronine (T3) as a predictor of mortality and morbidity in critically ill patients and its correlation of predictability with acute physiology and chronic health evaluation II score: A prospective observational study. Int. J. Crit. Illn. Inj. Sci. 2021, 11, 61–66. [Google Scholar] [CrossRef]
- Wang, F.; Pan, W.; Wang, H.; Wang, S.; Pan, S.; Ge, J. Relationship between thyroid function and ICU mortality: A prospective observation study. Crit. Care 2012, 16, R11. [Google Scholar] [CrossRef]
- Güven, M.; Gültekin, H. Could serum total cortisol level at admission predict mortality due to coronavirus disease 2019 in the intensive care unit? A prospective study. Sao Paulo Med. J. 2021, 139, 398–404. [Google Scholar] [CrossRef]
- Kolditz, M.; Höffken, G.; Martus, P.; Rohde, G.; Schütte, H.; Bals, R.; Suttorp, N.; Pletz, M.W. Serum cortisol predicts death and critical disease independently of CRB-65 score in community-acquired pneumonia: A prospective observational cohort study. BMC Infect. Dis. 2012, 12, 90. [Google Scholar] [CrossRef][Green Version]
- Pandya, U.; Polite, N.; Wood, T.; Lieber, M. Increased total serum random cortisol levels predict mortality in critically ill trauma patients. Am. Surg. 2014, 80, 1112–1118. [Google Scholar] [CrossRef]
- De Castro, R.; Ruiz, D.; Lavín, B.A.; Lamsfus, J.; Vázquez, L.; Montalban, C.; Marcano, G.; Sarabia, R.; Paz-Zulueta, M.; Blanco, C.; et al. Cortisol and adrenal androgens as independent predictors of mortality in septic patients. PLoS ONE 2019, 14, e0214312. [Google Scholar] [CrossRef]
- Jeong, S. Scoring Systems for the Patients of Intensive Care Unit. Acute Crit. Care 2018, 33, 102–104. [Google Scholar] [CrossRef] [PubMed]
- Vincent, J.L.; Moreno, R. Clinical review: Scoring systems in the critically ill. Crit. Care 2010, 14, 207. [Google Scholar] [CrossRef] [PubMed]
- Knaus, W.A.; Draper, E.A.; Wagner, D.P.; Zimmerman, J.E. APACHE II: A severity of disease classification system. Crit. Care Med. 1985, 13, 818–829. [Google Scholar] [CrossRef] [PubMed]
- Gutch, M.; Kumar, S.; Gupta, K.K. Prognostic Value of Thyroid Profile in Critical Care Condition. Indian J. Endocrinol. Metab. 2018, 22, 387–391. [Google Scholar] [CrossRef] [PubMed]
- Rao, M.J.; Zhang, Y.; Peng, W.Z.; Pan, P.H. Association of thyroid hormones and thyroid-stimulating hormone with mortality in adults admitted to the intensive care unit: A systematic review and meta-analysis. J. Chin. Med. Assoc. 2022, 85, 443–452. [Google Scholar] [CrossRef] [PubMed]
- Dimopoulou, I.; Stamoulis, K.; Ilias, I.; Tzanela, M.; Lyberopoulos, P.; Orfanos, S.; Armaganidis, A.; Theodorakopoulou, M.; Tsagarakis, S. A prospective study on adrenal cortex responses and outcome prediction in acute critical illness: Results from a large cohort of 203 mixed ICU patients. Intensive Care Med. 2007, 33, 2116–2121. [Google Scholar] [CrossRef]
- Fliers, E.; Bianco, A.C.; Langouche, L.; Boelen, A. Thyroid function in critically ill patients. Lancet Diabetes Endocrinol. 2015, 3, 816–825. [Google Scholar] [CrossRef]
- Warner, M.H.; Beckett, G.J. Mechanisms behind the non-thyroidal illness syndrome: An update. J. Endocrinol. 2010, 205, 1–13. [Google Scholar] [CrossRef]
- Farwell, A.P. Nonthyroidal illness syndrome. Curr. Opin. Endocrinol. Diabetes Obes. 2013, 20, 478–484. [Google Scholar] [CrossRef]
- Chan, W.L.; Carrell, R.W.; Zhou, A.; Read, R.J. How changes in affinity of corticosteroid-binding globulin modulate free cortisol concentration. J. Clin. Endocrinol. Metab. 2013, 98, 3315–3322. [Google Scholar] [CrossRef] [PubMed]
- Boonen, E.; Vervenne, H.; Meersseman, P.; Andrew, R.; Mortier, L.; Declercq, P.E.; Vanwijngaerden, Y.-M.; Spriet, I.; Wouters, P.J.; Vander Perre, S.; et al. Reduced Cortisol Metabolism during Critical Illness. N. Engl. J. Med. 2013, 368, 1477–1488. [Google Scholar] [CrossRef]
- Michalaki, M.; Margeli, T.; Tsekouras, A.; Gogos, C.H.; Vagenakis, A.G.; Kyriazopoulou, V. Hypothalamic-pituitary-adrenal axis response to the severity of illness in non-critically ill patients: Does relative corticosteroid insufficiency exist? Eur. J. Endocrinol. 2010, 162, 341–347. [Google Scholar] [CrossRef] [PubMed]
- Venkatesh, B.; Cohen, J. Hydrocortisone in Vasodilatory Shock. Crit. Care Clin. 2019, 35, 263–275. [Google Scholar] [CrossRef] [PubMed]
- Becker, R.A.; Vaughan, G.M.; Ziegler, M.G.; Seraile, L.G.; Goldfarb, I.W.; Mansour, E.H.; McManus, W.F.; Pruitt, B.A., Jr.; Mason, A.D., Jr. Hypermetabolic low triiodothyronine syndrome of burn injury. Crit. Care Med. 1982, 10, 870–875. [Google Scholar] [CrossRef] [PubMed]
- Güden, M.; Akpinar, B.; Sagğbaş, E.; Sanisoğlu, I.; Cakali, E.; Bayindir, O. Effects of intravenous triiodothyronine during coronary artery bypass surgery. Asian Cardiovasc. Thorac. Ann. 2002, 10, 219–222. [Google Scholar] [CrossRef]
- Choi, Y.S.; Shim, J.K.; Song, J.W.; Song, Y.; Yang, S.Y.; Kwak, Y.L. Efficacy of perioperative oral triiodothyronine replacement therapy in patients undergoing off-pump coronary artery bypass grafting. J. Cardiothorac. Vasc. Anesth. 2013, 27, 1218–1223. [Google Scholar] [CrossRef] [PubMed]
- Choi, Y.S.; Kwak, Y.L.; Kim, J.C.; Chun, D.H.; Hong, S.W.; Shim, J.K. Peri-operative oral triiodothyronine replacement therapy to prevent postoperative low triiodothyronine state following valvular heart surgery. Anaesthesia 2009, 64, 871–877. [Google Scholar] [CrossRef] [PubMed]
- Magee, F.; Wilson, A.; Bailey, M.; Pilcher, D.; Gabbe, B.; Bellomo, R. Comparison of Intensive Care and Trauma-specific Scoring Systems in Critically Ill Patients. Injury 2021, 52, 2543–2550. [Google Scholar] [CrossRef]
- Knaus, W.A.; Zimmerman, J.E.; Wagner, D.P.; Draper, E.A.; Lawrence, D.E. APACHE-acute physiology and chronic health evaluation: A physiologically based classification system. Crit. Care Med. 1981, 9, 591–597. [Google Scholar] [CrossRef]


| Characteristics | Non-Survivor (n = 92) | Survivor (n = 97) | p-Value |
|---|---|---|---|
| Male, n (%) | 54 (58.7) | 52 (53.6) | 0.481 |
| Age, mean ± SD (year) | 70.1 ± 14.8 | 66.5 ± 18.3 | 0.139 |
| Weight, mean ± SD (kg) | 54.1 ± 10.9 | 56.7 ± 15.4 | 0.180 |
| Underlying diseases, n (%) | |||
| Metastatic cancer | 20 (21.7) | 10 (10.3) | 0.009 |
| AIDS | 1 (1.1) | 0 (0) | |
| Hematologic malignancy | 11 (11.9) | 3 (3.1) | |
| Chronic heart failure or cirrhosis or chronic renal failure or chronic lung disease | 26 (28.3) | 26 (26.8) | |
| Others | 14 (15.2) | 6 (6.2) | |
| Final diagnosis, n (%) | |||
| Pneumonia | 24 (26.0) | 32 (32.9) | 0.227 |
| Sepsis or septic shock | 27 (29.3) | 13 (13.4) | |
| DKA or HHS | 0 (0) | 7 (7.2) | |
| COPD with acute exacerbation | 4 (4.3) | 2 (2.1) | |
| Acute heart failure | 10 (10.9) | 15 (15.5) | |
| Stroke | 0 (0) | 2 (2.1) | |
| Gastrointestinal tract hemorrhage | 1 (1.1) | 6 (6.2) | |
| Others | 26 (28.4) | 20 (20.6) | |
| ICU duration, mean ± SD (day) | 13.3 ± 16.0 | 9.4 ± 10.3 | 0.043 |
| Mechanical ventilation on admission, n (%) | 86 (93.5) | 83 (85.6) | 0.077 |
| Inotropic medication used on admission, n (%) | 45 (48.9) | 36 (37.1) | 0.101 |
| Continuous renal replacement therapy, n (%) | 46 (50.0) | 36 (37.1) | 0.07 |
| Vital status on admission, mean ± SD | |||
| Systolic blood pressure (mmHg) | 116.6 ± 24.0 | 110.3 ± 23.7 | 0.279 |
| Diastolic blood pressure (mmHg) | 65.5 ± 15.0 | 65.1 ± 15.0 | 0.853 |
| Mean arterial pressure (mmHg) | 82.5 ± 15.6 | 83.5 ± 15.9 | 0.669 |
| Body temperature (°C) | 37.1 ± 1.5 | 37.2 ± 1.0 | 0.717 |
| Pulse rate (per minute) | 101.2 ± 24.6 | 95.4 ± 24.7 | 0.109 |
| Respiratory rate (per minute) | 22.8 ± 5.9 | 20.7 ± 5.7 | 0.013 |
| Arterial blood gas, mean ± SD | |||
| pH | 7.4 ± 0.1 | 7.4 ± 0.1 | 0.447 |
| PaO2 (mmHg) | 118.6 ± 68.4 | 124.4 ± 66.1 | 0.554 |
| PaCO2 (mmHg) | 32.9 ± 11.4 | 34.4 ± 10.6 | 0.367 |
| A-a gradient, mean ± SD | 214.7 ± 146.1 | 150.9 ± 116.5 | 0.001 |
| Blood chemistry, mean ± SD | |||
| BUN (mg/dL) | 41.45 ± 29.9 | 36.8 ± 31.3 | 0.297 |
| Creatinine (mg/dL) | 2.5 ± 0.6 | 2.7 ± 0.9 | 0.840 |
| Sodium (mmol/L) | 136.4 ± 6.9 | 137.1 ± 6.1 | 0.495 |
| Potassium (mmol/L) | 3.9 ± 0.8 | 4.0 ± 0.8 | 0.600 |
| Bicarbonate (mmol/L) | 19.9 ± 6.3 | 20.6 ± 5.5 | 0.470 |
| Serum albumin (g/dL) | 2.7 ± 0.6 | 3.0 ± 0.6 | <0.001 |
| Cholesterol (mg/dL) | 107.3 ±46.9 | 124.0 ± 46.6 | 0.015 |
| Total bilirubin (mg/dL) | 2.4 ± 0.9 | 1.2 ± 0.5 | 0.025 |
| Complete blood count, mean ± SD | |||
| Hematocrit (%) | 28.1 ± 6.5 | 29.3 ± 8.9 | 0.316 |
| White blood cell count (cell/mcL) | 16,838.1 ± 5972.0 | 12,697.8 ± 1203.6 | 0.031 |
| Platelet count (cell/mcL) | 182,326.1 ± 25,841.0 | 236,123.7 ± 24,430.8 | 0.003 |
| APACHE II score, mean ± SD | 19.6 ± 7.6 | 16.1 ± 6.7 | <0.001 |
| TSH (µIU/mL), mean ± SD | 3.4 ± 6.1 | 3.1 ± 9.1 | 0.797 |
| Free T4 (ng/dL), mean ± SD | 1.1 ± 0.5 | 1.2 ± 0.5 | 0.118 |
| Free T3 (pg/mL), mean ± SD | 1.3 ± 0.5 | 1.5 ± 0.5 | 0.007 |
| Random cortisol (µg/dL), mean ± SD | 36.2 ± 31.5 | 21.7 ± 14.3 | <0.001 |
| Predictors | Univariate Analysis | Multivariate Analysis * | ||||
|---|---|---|---|---|---|---|
| ORs | 95% CI | p-Value | ORs | 95% CI | p-Value | |
| TSH | 1.01 | 0.97–1.04 | 0.970 | - | - | - |
| Free T4 | 0.59 | 0.31–1.15 | 0.125 | 0.69 | 0.35–1.38 | 0.208 |
| Free T3 | 0.45 | 0.24–0.82 | 0.009 | 0.51 | 0.28–0.97 | 0.047 |
| Cortisol | 1.03 | 1.01–1.05 | <0.001 | 1.02 | 1.01–1.04 | <0.002 |
| Cut-Off | Sensitivity % | Specificity % | PPV % | NPV % | TP (n) | FN (n) | FP (n) | TN (n) | AuROC | |
|---|---|---|---|---|---|---|---|---|---|---|
| Free T3 | <1.5 pg/mL | 69.6 | 43.3 | 53.8 | 60.0 | 64 | 28 | 55 | 42 | 0.534 |
| <1.6 pg/mL | 73.9 | 34.0 | 51.5 | 57.9 | 68 | 24 | 64 | 33 | 0.539 | |
| <1.7 pg/mL | 81.5 | 26.8 | 51.4 | 60.5 | 75 | 17 | 71 | 26 | 0.541 | |
| <1.8 pg/mL | 84.8 | 19.6 | 50.0 | 57.6 | 78 | 14 | 78 | 19 | 0.521 | |
| <1.9 pg/mL | 90.2 | 12.4 | 49.4 | 57.1 | 83 | 9 | 85 | 12 | 0.512 | |
| Random cortisol | >13 µg/dL | 85.9 | 23.7 | 51.6 | 63.9 | 79 | 13 | 74 | 23 | 0.547 |
| >14 µg/dL | 83.7 | 29.9 | 53.1 | 65.9 | 77 | 15 | 68 | 29 | 0.568 | |
| >15 µg/dL | 80.4 | 35.1 | 54.0 | 65.4 | 74 | 18 | 63 | 34 | 0.577 | |
| >16 µg/dL | 78.3 | 37.1 | 54.1 | 64.3 | 72 | 20 | 61 | 36 | 0.576 | |
| >17 µg/dL | 73.9 | 41.2 | 54.4 | 62.5 | 68 | 24 | 57 | 40 | 0.575 |
| Predictors | AuROC | 95% Conf. Interval | p-Value |
|---|---|---|---|
| APACHEII score | 0.656 | 0.579–0.734 | - |
| Free T3 | 0.708 | 0.632–0.782 | - |
| Random cortisol | 0.725 | 0.654–0.796 | - |
| APACHE II score + free T3 | 0.707 | 0.632–0.781 | 0.280 * |
| APACHE II score + random cortisol | 0.728 | 0.656–0.799 | 0.010 * |
| APACHE II score + free T3 + random cortisol | 0.729 | 0.658–0.801 | 0.009 * |
| Coefficient | Transformed Coefficient | Assigned Score | |
|---|---|---|---|
| APACHE II >30 * | |||
| -Yes | |||
| -No | 0.64 | 5.81 | 6 |
| Random cortisol >15 µg/dL | |||
| -Yes | |||
| -No | 0.78 | 7.09 | 7 |
| FT3 <1.7 pg/mL | |||
| -Yes | |||
| -No | 0.11 | 1 | 1 |
| Total score | 14 |
Publisher’s Note: MDPI stays neutral with regard to jurisdictional claims in published maps and institutional affiliations. |
© 2022 by the authors. Licensee MDPI, Basel, Switzerland. This article is an open access article distributed under the terms and conditions of the Creative Commons Attribution (CC BY) license (https://creativecommons.org/licenses/by/4.0/).
Share and Cite
Muentabutr, N.; Manosroi, W.; Niyatiwatchanchai, N. The Added Value of Serum Random Cortisol and Thyroid Function Tests as Mortality Predictors for Critically Ill Patients: A Prospective Cohort Study. J. Clin. Med. 2022, 11, 5929. https://doi.org/10.3390/jcm11195929
Muentabutr N, Manosroi W, Niyatiwatchanchai N. The Added Value of Serum Random Cortisol and Thyroid Function Tests as Mortality Predictors for Critically Ill Patients: A Prospective Cohort Study. Journal of Clinical Medicine. 2022; 11(19):5929. https://doi.org/10.3390/jcm11195929
Chicago/Turabian StyleMuentabutr, Narakorn, Worapaka Manosroi, and Nutchanok Niyatiwatchanchai. 2022. "The Added Value of Serum Random Cortisol and Thyroid Function Tests as Mortality Predictors for Critically Ill Patients: A Prospective Cohort Study" Journal of Clinical Medicine 11, no. 19: 5929. https://doi.org/10.3390/jcm11195929
APA StyleMuentabutr, N., Manosroi, W., & Niyatiwatchanchai, N. (2022). The Added Value of Serum Random Cortisol and Thyroid Function Tests as Mortality Predictors for Critically Ill Patients: A Prospective Cohort Study. Journal of Clinical Medicine, 11(19), 5929. https://doi.org/10.3390/jcm11195929
