Relationship between the Levels of Calprotectin and Soluble Receptor for Advanced Glycation End Products with Abdominal Aortic Aneurysm Diameter: A Preliminary Clinical Trial
Abstract
1. Introduction
2. Materials and Methods
2.1. Study Design and Settings
2.2. Ethical Considerations
2.3. Study Participants
2.4. Research Methods
2.5. Statistical Analysis
3. Results
4. Discussion
Study Limitations
5. Conclusions
Author Contributions
Funding
Institutional Review Board Statement
Informed Consent Statement
Data Availability Statement
Acknowledgments
Conflicts of Interest
References
- Urbonavicius, S.; Urbonaviciene, G.; Honoré, B.; Henneberg, E.W.; Vorum, H.; Lindholt, J.S. Potential Circulating Biomarkers for Abdominal Aortic Aneurysm Expansion and Rupture—A Systematic Review. Eur. J. Vasc. Endovasc. Surg. 2008, 36, 273–280; discussion 281–282. [Google Scholar] [CrossRef] [PubMed]
- Kruzliak, P.; Novák, J.; Novák, M.; Fodor, G.J. Role of Calprotectin in Cardiometabolic Diseases. Cytokine Growth Factor Rev. 2014, 25, 67–75. [Google Scholar] [CrossRef] [PubMed]
- Angel, K.; Provan, S.A.; Fagerhol, M.K.; Mowinckel, P.; Kvien, T.K.; Atar, D. Effect of 1-Year Anti-TNF-α Therapy on Aortic Stiffness, Carotid Atherosclerosis, and Calprotectin in Inflammatory Arthropathies: A Controlled Study. Am. J. Hypertens. 2012, 25, 644–650. [Google Scholar] [CrossRef] [PubMed]
- Moris, D.; Theocharis, S.; Davakis, S.; Patelis, N.; Agrogiannis, G.; Vlachos, I.S.; Spartalis, E.; Athanasiou, A.; Bakoyiannis, C.; Perrea, D.N.; et al. Serum Calprotectin as a Novel Biomarker in Abdominal Aortic Aneurysm Pathogenesis and Progression: Preliminary Data from Experimental Model in Rats. Curr. Vasc. Pharmacol. 2018, 16, 168–178. [Google Scholar] [CrossRef]
- Kunutsor, S.K.; Flores-Guerrero, J.L.; Kieneker, L.M.; Nilsen, T.; Hidden, C.; Sundrehagen, E.; Seidu, S.; Dullaart, R.P.F.; Bakker, S.J.L. Plasma Calprotectin and Risk of Cardiovascular Disease: Findings from the PREVEND Prospective Cohort Study. Atherosclerosis 2018, 275, 205–213. [Google Scholar] [CrossRef]
- Wirtz, T.H.; Buendgens, L.; Weiskirchen, R.; Loosen, S.H.; Haehnsen, N.; Puengel, T.; Abu Jhaisha, S.; Brozat, J.F.; Hohlstein, P.; Koek, G.; et al. Association of Serum Calprotectin Concentrations with Mortality in Critically Ill and Septic Patients. Diagnostics 2020, 10, 990. [Google Scholar] [CrossRef]
- Kaya, T.; Yaylacı, S.; Nalbant, A.; Yıldırım, İ.; Kocayiğit, H.; Çokluk, E.; Şekeroğlu, M.R.; Köroğlu, M.; Güçlü, E. Serum Calprotectin as a Novel Biomarker for Severity of COVID-19 Disease. Ir. J. Med. Sci 2021, 191, 59–64. [Google Scholar] [CrossRef]
- Basta, G.; Lazzerini, G.; Massaro, M.; Simoncini, T.; Tanganelli, P.; Fu, C.; Kislinger, T.; Stern, D.M.; Schmidt, A.M.; De Caterina, R. Advanced Glycation End Products Activate Endothelium through Signal-Transduction Receptor RAGE: A Mechanism for Amplification of Inflammatory Responses. Circulation 2002, 105, 816–822. [Google Scholar] [CrossRef]
- Erusalimsky, J.D. The Use of the Soluble Receptor for Advanced Glycation-End Products (SRAGE) as a Potential Biomarker of Disease Risk and Adverse Outcomes. Redox Biol. 2021, 42, 101958. [Google Scholar] [CrossRef]
- Kadoglou, N.P.; Liapis, C.D. Matrix Metalloproteinases: Contribution to Pathogenesis, Diagnosis, Surveillance and Treatment of Abdominal Aortic Aneurysms. Curr. Med. Res. Opin. 2004, 20, 419–432. [Google Scholar] [CrossRef]
- Prasad, K.; Sarkar, A.; Zafar, M.A.; Shoker, A.; Moselhi, H.E.; Tranquilli, M.; Ziganshin, B.A.; Elefteriades, J.A. Advanced Glycation End Products and Its Soluble Receptors in the Pathogenesis of Thoracic Aortic Aneurysm. Aorta 2016, 4, 1–10. [Google Scholar] [CrossRef] [PubMed]
- Sarkar, A.; Prasad, K.; Ziganshin, B.A.; Elefteriades, J.A. Reasons to Investigate the Soluble Receptor for Advanced Glycation End-Product (SRAGE) Pathway in Aortic Disease. Aorta 2013, 1, 210–217. [Google Scholar] [CrossRef]
- Prasad, K. AGE-RAGE Stress Play a Role in Aortic Aneurysm: A Comprehensive Review and Novel Potential Therapeutic Target. Rev. Cardiovasc. Med. 2019, 20, 201–208. [Google Scholar] [CrossRef] [PubMed]
- Park, I.H.; Yeon, S.I.; Youn, J.H.; Choi, J.E.; Sasaki, N.; Choi, I.-H.; Shin, J.-S. Expression of a Novel Secreted Splice Variant of the Receptor for Advanced Glycation End Products (RAGE) in Human Brain Astrocytes and Peripheral Blood Mononuclear Cells. Mol. Immunol. 2004, 40, 1203–1211. [Google Scholar] [CrossRef] [PubMed]
- Yao, Y.; Zhuang, J.; Li, Y.; Jing, B.; Li, H.; Li, J.; Shao, C.; Li, K.; Wang, H. Association of Polymorphisms of the Receptor for Advanced Glycation End Products Gene and Susceptibility to Sporadic Abdominal Aortic Aneurysm. BioMed Res. Int. 2015, 2015, 394126. [Google Scholar] [CrossRef]
- Zhang, F.; Kent, K.C.; Yamanouchi, D.; Zhang, Y.S.; Kato, K.; Tsai, S.; Nowygrod, R.; Schmidt, A.M.; Liu, B. Anti-Receptor for Advanced Glycation End Products Therapies as Novel Treatment for Abdominal Aortic Aneurysm. Ann. Surg. 2009, 250, 416–423. [Google Scholar] [CrossRef]
- Fukami, K.; Yamagishi, S.-I.; Okuda, S. Role of AGEs-RAGE System in Cardiovascular Disease. Curr. Pharm. Des. 2014, 20, 2395–2402. [Google Scholar] [CrossRef]
- Hauzer, W.; Witkiewicz, W.; Gnus, J. Calprotectin and Receptor for Advanced Glycation End Products as a Potential Biomarker in Abdominal Aortic Aneurysm. J. Clin. Med. 2020, 9, E927. [Google Scholar] [CrossRef]
- Nana, P.; Dakis, K.; Brodis, A.; Spanos, K.; Kouvelos, G. Circulating Biomarkers for the Prediction of Abdominal Aortic Aneurysm Growth. J. Clin. Med. 2021, 10, 1718. [Google Scholar] [CrossRef]
- Hoshino, S.; Jain, S.; Shimizu, C.; Roberts, S.; He, F.; Daniels, L.B.; Kahn, A.M.; Tremoulet, A.H.; Gordon, J.B.; Burns, J.C. Biomarkers of Inflammation and Fibrosis in Young Adults with History of Kawasaki Disease. Int. J. Cardiol. Heart Vasc. 2021, 36, 100863. [Google Scholar] [CrossRef]
- Diamanti, A.; Panetta, F.; Basso, M.S.; Forgione, A.; Colistro, F.; Bracci, F.; Papadatou, B.; Francalanci, P.; Torroni, F.; Knafelz, D.; et al. Diagnostic Work-up of Inflammatory Bowel Disease in Children: The Role of Calprotectin Assay. Inflamm. Bowel Dis. 2010, 16, 1926–1930. [Google Scholar] [CrossRef]
- Henderson, P.; Casey, A.; Lawrence, S.J.; Kennedy, N.A.; Kingstone, K.; Rogers, P.; Gillett, P.M.; Wilson, D.C. The Diagnostic Accuracy of Fecal Calprotectin during the Investigation of Suspected Pediatric Inflammatory Bowel Disease. Am. J. Gastroenterol. 2012, 107, 941–949. [Google Scholar] [CrossRef] [PubMed]
- Aomatsu, T.; Yoden, A.; Matsumoto, K.; Kimura, E.; Inoue, K.; Andoh, A.; Tamai, H. Fecal Calprotectin Is a Useful Marker for Disease Activity in Pediatric Patients with Inflammatory Bowel Disease. Dig. Dis. Sci. 2011, 56, 2372–2377. [Google Scholar] [CrossRef]
- Pfefferkorn, M.D.; Boone, J.H.; Nguyen, J.T.; Juliar, B.E.; Davis, M.A.; Parker, K.K. Utility of Fecal Lactoferrin in Identifying Crohn Disease Activity in Children. J. Pediatr. Gastroenterol. Nutr. 2010, 51, 425–428. [Google Scholar] [CrossRef] [PubMed]
- Kallel, L.; Ayadi, I.; Matri, S.; Fekih, M.; Mahmoud, N.B.; Feki, M.; Karoui, S.; Zouari, B.; Boubaker, J.; Kaabachi, N.; et al. Fecal Calprotectin Is a Predictive Marker of Relapse in Crohn’s Disease Involving the Colon: A Prospective Study. Eur. J. Gastroenterol. Hepatol. 2010, 22, 340–345. [Google Scholar] [CrossRef] [PubMed]
- Burri, E.; Beglinger, C. Faecal Calprotectin in the Diagnosis of Inflammatory Bowel Disease. Biochem. Med. 2011, 21, 245–253. [Google Scholar] [CrossRef]
- Van Rheenen, P.; de Vijver, E.; Fidler, V. Faecal Calprotectin for Screening of Patients with Suspected Inflammatory Bowel Disease: Diagnostic Meta-Analysis. BMJ 2010, 341, c3369. [Google Scholar] [CrossRef] [PubMed]
- Costa, F.; Mumolo, M.G.; Bellini, M.; Romano, M.R.; Ceccarelli, L.; Arpe, P.; Sterpi, C.; Marchi, S.; Maltinti, G. Role of Faecal Calprotectin as Non-Invasive Marker of Intestinal Inflammation. Dig. Liver Dis. 2003, 35, 642–647. [Google Scholar] [CrossRef]
- Johne, B.; Fagerhol, M.K.; Lyberg, T.; Prydz, H.; Brandtzaeg, P.; Naess-Andresen, C.F.; Dale, I. Functional and Clinical Aspects of the Myelomonocyte Protein Calprotectin. Mol. Pathol. 1997, 50, 113–123. [Google Scholar] [CrossRef]







| Characteristic | Study Group (n = 32) | |
|---|---|---|
| Quantitative Variables | M ± SD (min–max) | |
| Age [years] | 70.3 ± 7.3 (53–88) | |
| Height [cm] | 175 ± 8 (160–190) | |
| Body weight [kg] | 91 ± 9.5 (62–120) | |
| BMI [kg/m2] | 30.5 ± 5 (23–38) | |
| AAA diameter [mm] | 60.4 ± 15.0 (39–105) | |
| Qualitative variables | n [%] | |
| Sex (male) | 30 (93.7%) | |
| Hypertension | 28 (87.5%) | |
| Type 2 diabetes | 5 (14.0%) | |
| Heart disease | 9 (28.1%) | |
| AAA size | 1a—small | 5 (14.0%) |
| 1b—medium | 16 (50.0%) | |
| 1c—large | 11 (36.0%) | |
| Study Group | ||
|---|---|---|
| rs | p-Value | |
| CAL and RAGE before surgery | −0.10 | 0.76 |
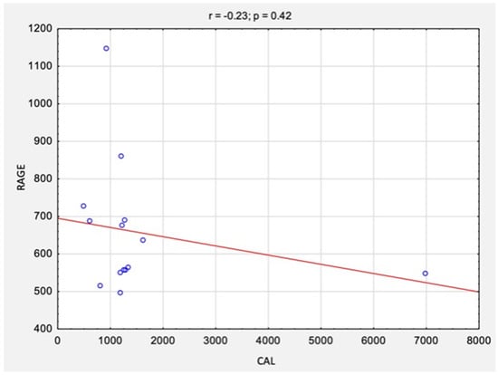
| CAL and RAGE after surgery | −0.23 | 0.42 |
| Study Group | ||
|---|---|---|
| rs | p-Value | |
| CAL and AAA before surgery | 0.10 | 0.57 |
| RAGE and AAA before surgery | 0.22 | 0.21 |
Publisher’s Note: MDPI stays neutral with regard to jurisdictional claims in published maps and institutional affiliations. |
© 2022 by the authors. Licensee MDPI, Basel, Switzerland. This article is an open access article distributed under the terms and conditions of the Creative Commons Attribution (CC BY) license (https://creativecommons.org/licenses/by/4.0/).
Share and Cite
Hauzer, W.; Gnus, J.; Rosińczuk, J. Relationship between the Levels of Calprotectin and Soluble Receptor for Advanced Glycation End Products with Abdominal Aortic Aneurysm Diameter: A Preliminary Clinical Trial. J. Clin. Med. 2022, 11, 5448. https://doi.org/10.3390/jcm11185448
Hauzer W, Gnus J, Rosińczuk J. Relationship between the Levels of Calprotectin and Soluble Receptor for Advanced Glycation End Products with Abdominal Aortic Aneurysm Diameter: A Preliminary Clinical Trial. Journal of Clinical Medicine. 2022; 11(18):5448. https://doi.org/10.3390/jcm11185448
Chicago/Turabian StyleHauzer, Willy, Jan Gnus, and Joanna Rosińczuk. 2022. "Relationship between the Levels of Calprotectin and Soluble Receptor for Advanced Glycation End Products with Abdominal Aortic Aneurysm Diameter: A Preliminary Clinical Trial" Journal of Clinical Medicine 11, no. 18: 5448. https://doi.org/10.3390/jcm11185448
APA StyleHauzer, W., Gnus, J., & Rosińczuk, J. (2022). Relationship between the Levels of Calprotectin and Soluble Receptor for Advanced Glycation End Products with Abdominal Aortic Aneurysm Diameter: A Preliminary Clinical Trial. Journal of Clinical Medicine, 11(18), 5448. https://doi.org/10.3390/jcm11185448

