Predicting Mortality Using Machine Learning Algorithms in Patients Who Require Renal Replacement Therapy in the Critical Care Unit
Abstract
1. Introduction
2. Materials and Methods
Data Sources
3. Model Development
3.1. Predictors
3.2. Prediction Machine Learning Algorithms
- LR is the fundamental algorithm for machine learning development. In scikit-learn, the LR uses regularization by default. The advantage of regularization is to improve numerical stability.
- XGBoost [24] is an implementation of the gradient-boosted decision trees ensemble algorithm. The implementation of XGBoost is optimized for performance and provides the best available solutions in many fields. It reduces variance and bias by using multiple models and adjusting the subsequent trees by the errors the previous trees made.
- RF [25] is a bagging ensemble machine learning model that also includes several decision trees, but decisions made among trees are independent. It chooses the final model by voting for the most common class that reduces variance in decision trees. The advantages of RF are as follows: it is robust to overfitting and is more stable in high-dimensional data than other machine learning algorithms [26].
- MLP [27] is a well known supervised learning implementation in artificial neural networks. Typically, it consists of one input layer, one or more hidden layers, and one output layer. It solves high-dimensional classification problems by dealing with the interactions among variables.
4. Model Validation
5. Statistical Analyses
6. Results
6.1. General Demographics
6.2. SOFA, Nonrenal SOFA, and HELENICC Scores Performance in the MIMIC and eICU Datasets
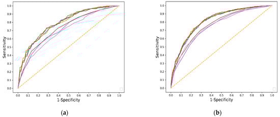
6.3. Machine Learning Algorithm Performance and Comparison with Other Predictive Models in the First Strategy
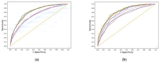
6.4. Machine Learning Algorithm Performance and Comparison with Other Predictive Models in the Secondary Strategy
6.5. Important Features of Machine Learning Algorithm and Results of Multivariable Logistic Regression Analysis
7. Discussion
8. Conclusions
Supplementary Materials
Author Contributions
Funding
Institutional Review Board Statement
Informed Consent Statement
Conflicts of Interest
References
- Hoste, E.A.; Bagshaw, S.M.; Bellomo, R.; Cely, C.M.; Colman, R.; Cruz, D.N.; Edipidis, K.; Forni, L.G.; Gomersall, C.D.; Govil, D. Epidemiology of acute kidney injury in critically ill patients: The multinational AKI-EPI study. Intensive Care Med. 2015, 41, 1411–1423. [Google Scholar] [PubMed]
- Uchino, S.; Kellum, J.A.; Bellomo, R.; Doig, G.S.; Morimatsu, H.; Morgera, S.; Schetz, M.; Tan, I.; Bouman, C.; Macedo, E. Acute renal failure in critically ill patients: A multinational, multicenter study. Jama 2005, 294, 813–818. [Google Scholar] [CrossRef] [PubMed]
- Wald, R.; Adhikari, N.K.; Smith, O.M.; Weir, M.A.; Pope, K.; Cohen, A.; Thorpe, K.; McIntyre, L.; Lamontagne, F.; Soth, M. Comparison of standard and accelerated initiation of renal replacement therapy in acute kidney injury. Kidney Int. 2015, 88, 897–904. [Google Scholar] [CrossRef] [PubMed]
- Zarbock, A.; Kellum, J.A.; Schmidt, C.; Van Aken, H.; Wempe, C.; Pavenstädt, H.; Boanta, A.; Gerß, J.; Meersch, M. Effect of early vs. delayed initiation of renal replacement therapy on mortality in critically ill patients with acute kidney injury: The ELAIN randomized clinical trial. JAMA 2016, 315, 2190–2199. [Google Scholar]
- Moreno, R.P.; Metnitz, P.G.; Almeida, E.; Jordan, B.; Bauer, P.; Campos, R.A.; Iapichino, G.; Edbrooke, D.; Capuzzo, M.; Le Gall, J.-R. SAPS 3—From evaluation of the patient to evaluation of the intensive care unit. Part 2: Development of a prognostic model for hospital mortality at ICU admission. Intensive Care Med. 2005, 31, 1345–1355. [Google Scholar] [CrossRef] [PubMed]
- Nassar, A.P.; Malbouisson, L.S.; Moreno, R. Evaluation of simplified acute physiology score 3 performance: A systematic review of external validation studies. Crit. Care 2014, 18, R117. [Google Scholar] [CrossRef]
- Zimmerman, J.E.; Kramer, A.A.; McNair, D.S.; Malila, F.M. Acute Physiology and Chronic Health Evaluation (APACHE) IV: Hospital mortality assessment for today’s critically ill patients. Crit. Care Med. 2006, 34, 1297–1310. [Google Scholar]
- Falcão, A.L.E.; de Almeida Barros, A.G.; Bezerra, A.A.M.; Ferreira, N.L.; Logato, C.M.; Silva, F.P.; do Monte, A.B.F.O.; Tonella, R.M.; de Figueiredo, L.C.; Moreno, R. The prognostic accuracy evaluation of SAPS 3, SOFA and APACHE II scores for mortality prediction in the surgical ICU: An external validation study and decision-making analysis. Ann. Intensive Care 2019, 9, 18. [Google Scholar] [CrossRef]
- Soo, A.; Zuege, D.J.; Fick, G.H.; Niven, D.J.; Berthiaume, L.R.; Stelfox, H.T.; Doig, C.J. Describing organ dysfunction in the intensive care unit: A cohort study of 20,000 patients. Crit. Care 2019, 23, 186. [Google Scholar] [CrossRef]
- Czempik, P.; Cieśla, D.; Knapik, P.; Krzych, Ł. Mortality of patients with acute kidney injury requiring renal replacement therapy. Adv. Clin. Exp. Med. 2018, 27, 327–333. [Google Scholar] [CrossRef]
- Maccariello, E.; Valente, C.; Nogueira, L.; Bonomo, H.; Ismael, M.; Machado, J.E.; Baldotto, F.; Godinho, M.; Valença, R.; Rocha, E. SAPS 3 scores at the start of renal replacement therapy predict mortality in critically ill patients with acute kidney injury. Kidney Int. 2010, 77, 51–56. [Google Scholar] [PubMed][Green Version]
- Kang, M.W.; Kim, J.; Kim, D.K.; Oh, K.-H.; Joo, K.W.; Kim, Y.S.; Han, S.S. Machine learning algorithm to predict mortality in patients undergoing continuous renal replacement therapy. Crit. Care 2020, 24, 42. [Google Scholar] [CrossRef] [PubMed]
- Demirjian, S.; Chertow, G.M.; Zhang, J.H.; O’Connor, T.Z.; Vitale, J.; Paganini, E.P.; Palevsky, P.M.; VA/NIH Acute Renal Failure Trial Network. Model to predict mortality in critically ill adults with acute kidney injury. Clin. J. Am. Soc. Nephrol. 2011, 6, 2114–2120. [Google Scholar] [CrossRef] [PubMed]
- Li, D.H.; Wald, R.; Blum, D.; McArthur, E.; James, M.T.; Burns, K.E.; Friedrich, J.O.; Adhikari, N.K.; Nash, D.M.; Lebovic, G. Predicting mortality among critically ill patients with acute kidney injury treated with renal replacement therapy: Development and validation of new prediction models. J. Crit. Care 2020, 56, 113–119. [Google Scholar]
- de Carvalho, G.M.C.; Leite, T.T.; Libório, A.B. Prediction of 60-day case fatality in critically ill patients receiving renal replacement therapy: External validation of a prediction model. Shock 2018, 50, 156–161. [Google Scholar] [CrossRef]
- da Hora Passos, R.; Ramos, J.G.R.; Mendonça, E.J.B.; Miranda, E.A.; Dutra, F.R.D.; Coelho, M.F.R.; Pedroza, A.C.; Correia, L.C.L.; Batista, P.B.P.; Macedo, E. A clinical score to predict mortality in septic acute kidney injury patients requiring continuous renal replacement therapy: The HELENICC score. BMC Anesthesiol. 2017, 17, 21. [Google Scholar] [CrossRef]
- Johnson, A.E.; Pollard, T.J.; Shen, L.; Li-wei, H.L.; Feng, M.; Ghassemi, M.; Moody, B.; Szolovits, P.; Celi, L.A.; Mark, R.G. MIMIC-III, a freely accessible critical care database. Sci. Data 2016, 3, 160035. [Google Scholar]
- Pollard, T.J.; Johnson, A.E.; Raffa, J.D.; Celi, L.A.; Mark, R.G.; Badawi, O. The eICU Collaborative Research Database, a freely available multi-center database for critical care research. Sci. Data 2018, 5, 180178. [Google Scholar]
- Vincent, J.-L.; Moreno, R.; Takala, J.; Willatts, S.; De Mendonça, A.; Bruining, H.; Reinhart, C.; Suter, P.; Thijs, L.G. The SOFA (Sepsis-Related Organ Failure Assessment) Score to Describe Organ Dysfunction/Failure; Springer: Berlin, Germany, 1996. [Google Scholar]
- Palevsky, P.M.; O’Connor, T.; Zhang, J.H.; Star, R.A.; Smith, M.W. Design of the VA/NIH Acute Renal Failure Trial Network (ATN) Study: Intensive versus conventional renal support in acute renal failure. Clin. Trials 2005, 2, 423–435. [Google Scholar] [CrossRef]
- Hsu, C.-y.; Chertow, G.M.; McCulloch, C.E.; Fan, D.; Ordoñez, J.D.; Go, A.S. Nonrecovery of kidney function and death after acute on chronic renal failure. Clin. J. Am. Soc. Nephrol. 2009, 4, 891–898. [Google Scholar] [CrossRef]
- Royston, P.; White, I.R. Multiple imputation by chained equations (MICE): Implementation in Stata. J. Stat. Softw. 2011, 45, 1–20. [Google Scholar] [CrossRef]
- Moons, K.G.; Altman, D.G.; Reitsma, J.B.; Ioannidis, J.P.; Macaskill, P.; Steyerberg, E.W.; Vickers, A.J.; Ransohoff, D.F.; Collins, G.S. Transparent Reporting of a multivariable prediction model for Individual Prognosis or Diagnosis (TRIPOD): Explanation and elaboration. Ann. Intern. Med. 2015, 162, W1–W73. [Google Scholar]
- Chen, T.; Guestrin, C. Xgboost: A Scalable Tree Boosting system. In Proceedings of the 22nd ACM SIGKDD International Conference on Knowledge Discovery and Data Mining, New York, NY, USA, 13–17 August 2016; pp. 785–794. [Google Scholar]
- Breiman, L. Random forests. Mach. Learn. 2001, 45, 5–32. [Google Scholar] [CrossRef]
- Sarica, A.; Cerasa, A.; Quattrone, A. Random forest algorithm for the classification of neuroimaging data in Alzheimer’s disease: A systematic review. Front. Aging Neurosci. 2017, 9, 329. [Google Scholar] [CrossRef] [PubMed]
- Rana, A.; Rawat, A.S.; Bijalwan, A.; Bahuguna, H. Application of Multi Layer (Perceptron) Artificial Neural Network in the Diagnosis System: A Systematic Review. In Proceedings of the 2018 International Conference on Research in Intelligent and Computing in Engineering (RICE), San Salvador, El Salvador, 22–24 August 2018; pp. 1–6. [Google Scholar]
- Lundberg, S.M.; Lee, S.-I. A unified approach to interpreting model predictions. In Advances in Neural Information Processing Systems; MIT Press: Cambridge, MA, USA, 2017; Volume 30, pp. 4765–4774. [Google Scholar]
- Thakar, C.V.; Arrigain, S.; Worley, S.; Yared, J.-P.; Paganini, E.P. A clinical score to predict acute renal failure after cardiac surgery. J. Am. Soc. Nephrol. 2005, 16, 162–168. [Google Scholar] [CrossRef] [PubMed]
- Brajer, N.; Cozzi, B.; Gao, M.; Nichols, M.; Revoir, M.; Balu, S.; Futoma, J.; Bae, J.; Setji, N.; Hernandez, A. Prospective and external evaluation of a machine learning model to predict in-hospital mortality of adults at time of admission. JAMA Netw. Open 2020, 3, e1920733. [Google Scholar] [PubMed]
- Hu, C.-A.; Chen, C.-M.; Fang, Y.-C.; Liang, S.-J.; Wang, H.-C.; Fang, W.-F.; Sheu, C.-C.; Perng, W.-C.; Yang, K.-Y.; Kao, K.-C. Using a machine learning approach to predict mortality in critically ill influenza patients: A cross-sectional retrospective multicentre study in Taiwan. BMJ Open 2020, 10, e033898. [Google Scholar] [CrossRef]
- Price, W.N. Big data and black-box medical algorithms. Sci. Transl. Med. 2018, 10, eaao5333. [Google Scholar] [CrossRef]






| Variables | Training Dataset | Testing Dataset | p Value |
|---|---|---|---|
| Number of patients | 2729 | 683 | |
| Death % | 35.8% | 37.8% | 0.369 |
| Demographics | |||
| Age, years | 62.9 ± 15.0 | 62.7 ± 14.9 | 0.793 |
| Male sex, % | 59.5% | 59.7% | 0.962 |
| Black race, % | 16.8% | 18% | 0.149 |
| Comorbidities (%) | |||
| Diabetes mellitus | 21.6% | 21.1% | 0.800 |
| Hypertension | 25.9% | 25.0% | 0.677 |
| CHF | 24.8% | 26.4% | 0.445 |
| CKD | 17.5% | 16.7% | 0.667 |
| Malignancy | 6.7% | 6.9% | 0.910 |
| Liver cirrhosis | 10.6% | 9.7% | 0.523 |
| Days of ICU stay before RRT initiation | 2.9 ± 4.8 | 3.1 ± 5.1 | 0.223 |
| Diuretics, % | 14.4% | 12.0% | 0.126 |
| Vasopressor, % | 36.5% | 38.4% | 0.381 |
| Mechanical ventilation, % | 72.4% | 74.7% | <0.254 |
| Laboratory variables | |||
| BUN (mg/dL) | 56.0 (36.0–84.0) | 61.0 (38.0–89.0) | 0.01 * |
| FiO2 (%) | 49.5 ± 26.8 | 48.7 ± 26.3 | 0.501 |
| HCO3 (mmol/L) | 20.5 ± 5.7 | 20.3 ± 5.8 | 0.464 |
| Hgb (mg/dL) | 9.6 (8.5–10.8) | 9.8 (8.6–11.1) | 0.02 * |
| O2 Sat (%) | 93.7 ± 8.0 | 93.6 ± 8.0 | 0.767 |
| WBC count (×1000/μL) | 15.8 ± 26.2 | 15.8 ± 14.6 | 0.976 |
| Anion gap (mmol/L) | 16.5 ± 6.7 | 16.9 ± 6.4 | 0.155 |
| Calcium (mg/dL) | 8.2 ± 1.1 | 8.2 ± 1.1 | 0.959 |
| Creatinine (mg/dL) | 4.6 ± 3.2 | 4.6 ± 2.9 | 0.713 |
| Glucose (mg/dL) | 146.0 ± 65.1 | 152.8 ± 87.7 | 0.024 |
| Platelet count (×1000/μL) | 182.1 ± 115.1 | 175.7 ± 106 | 0.193 |
| Potassium (mmol/L) | 4.7 ± 1.0 | 4.7 ± 1.0 | 0.349 |
| Sodium (mmol/L) | 137.4 ± 6.1 | 137.5 ± 6.1 | 0.537 |
| GCS score | 11.1 ± 4.1 | 11.0 ± 4.0 | 0.381 |
| MAP (mmHg) | 76.2 ± 15.0 | 75.3 ± 14.6 | 0.170 |
| HR (beats per minute) | 89.4 ± 18.4 | 90.0 ± 18.7 | 0.444 |
| RR (breaths per minute) | 20.9 ± 5.6 | 21.1 ± 5.4 | 0.374 |
| Dataset | MIMIC | eICU | ||||
|---|---|---|---|---|---|---|
| Model | SOFA | Nonrenal SOFA | HELENICC | SOFA | Nonrenal SOFA | HELENICC |
| AUC | 0.717 | 0.728 | 0.694 | 0.749 | 0.769 | 0.756 |
| 95% CI | 0.687–0.747 | 0.699–0.758 | 0.664–0.752 | 0.728–0.770 | 0.749–0.789 | 0.735–0.776 |
| Sensitivity | 0.514 | 0.528 | 0.401 | 0.372 | 0.446 | 0.341 |
| Specificity | 0.798 | 0.792 | 0.845 | 0.884 | 0.868 | 0.914 |
| PPV | 0.656 | 0.656 | 0.659 | 0.612 | 0.625 | 0.662 |
| NPV | 0.687 | 0.691 | 0.653 | 0.741 | 0.761 | 0.738 |
| Accuracy | 0.676 | 0.679 | 0.654 | 0.715 | 0.729 | 0.725 |
| Training Dataset | MIMIC | |||
|---|---|---|---|---|
| Model | LR | XGBoost | RF | MLP |
| AUC | 0.786 | 0.793 | 0.783 | 0.785 |
| 95% CI | 0.752–0.820 | 0.760–0.826 | 0.743–0.822 | 0.752–0.819 |
| Sensitivity | 0.578 | 0.619 | 0.621 | 0.617 |
| Specificity | 0.809 | 0.803 | 0.800 | 0.779 |
| PPV | 0.694 | 0.702 | 0.700 | 0.678 |
| NPV | 0.719 | 0.737 | 0.738 | 0.731 |
| Accuracy | 0.710 | 0.724 | 0.723 | 0.710 |
| Hosmer-Lemeshow test | <0.05 | 0.02 | <0.05 | 0.44 |
| Testing Dataset | eICU | |||
| Model | LR | XGBoost | RF | MLP |
| AUC | 0.815 | 0.812 | 0.816 | 0.810 |
| 95% CI | 0.797–0.833 | 0.794–0.830 | 0.798–0.834 | 0.792–0.828 |
| Sensitivity | 0.440 | 0.488 | 0.595 | 0.489 |
| Specificity | 0.905 | 0.892 | 0.837 | 0.885 |
| PPV | 0.695 | 0.691 | 0.642 | 0.677 |
| NPV | 0.767 | 0.780 | 0.808 | 0.779 |
| Accuracy | 0.752 | 0.759 | 0.757 | 0.755 |
| Hosmer-Lemeshow test | <0.05 | <0.05 | <0.05 | 0.29 |
| Training Dataset | 80% Pooled Data | |||
|---|---|---|---|---|
| Model | LR | XGBoost | RF | MLP |
| AUC | 0.814 | 0.814 | 0.809 | 0.818 |
| 95% CI | 0.797–0.831 | 0.800–0.828 | 0.796–0.822 | 0.802–0.833 |
| Sensitivity | 0.574 | 0.584 | 0.556 | 0.644 |
| Specificity | 0.845 | 0.833 | 0.853 | 0.825 |
| PPV | 0.674 | 0.662 | 0.679 | 0.672 |
| NPV | 0.780 | 0.782 | 0.774 | 0.805 |
| Accuracy | 0.748 | 0.744 | 0.746 | 0.760 |
| Hosmer-Lemeshow test | <0.05 | 0.02 | 0.08 | <0.05 |
| Testing Dataset | 20% Pooled Data | |||
| Model | LR | XGBoost | RF | MLP |
| AUC | 0.819 | 0.823 | 0.821 | 0.784 |
| 95% CI | 0.787–0.851 | 0.791–0.854 | 0.790–0.852 | 0.750–0.817 |
| Sensitivity | 0.620 | 0.635 | 0.562 | 0.662 |
| Specificity | 0.804 | 0.832 | 0.863 | 0.785 |
| PPV | 0.658 | 0.697 | 0.714 | 0.652 |
| NPV | 0.777 | 0.790 | 0.764 | 0.793 |
| Accuracy | 0.734 | 0.758 | 0.749 | 0.739 |
| Hosmer-Lemeshow test | 0.11 | 0.22 | 0.17 | <0.05 |
Publisher’s Note: MDPI stays neutral with regard to jurisdictional claims in published maps and institutional affiliations. |
© 2022 by the authors. Licensee MDPI, Basel, Switzerland. This article is an open access article distributed under the terms and conditions of the Creative Commons Attribution (CC BY) license (https://creativecommons.org/licenses/by/4.0/).
Share and Cite
Chang, H.-H.; Chiang, J.-H.; Wang, C.-S.; Chiu, P.-F.; Abdel-Kader, K.; Chen, H.; Siew, E.D.; Yabes, J.; Murugan, R.; Clermont, G.; et al. Predicting Mortality Using Machine Learning Algorithms in Patients Who Require Renal Replacement Therapy in the Critical Care Unit. J. Clin. Med. 2022, 11, 5289. https://doi.org/10.3390/jcm11185289
Chang H-H, Chiang J-H, Wang C-S, Chiu P-F, Abdel-Kader K, Chen H, Siew ED, Yabes J, Murugan R, Clermont G, et al. Predicting Mortality Using Machine Learning Algorithms in Patients Who Require Renal Replacement Therapy in the Critical Care Unit. Journal of Clinical Medicine. 2022; 11(18):5289. https://doi.org/10.3390/jcm11185289
Chicago/Turabian StyleChang, Hsin-Hsiung, Jung-Hsien Chiang, Chi-Shiang Wang, Ping-Fang Chiu, Khaled Abdel-Kader, Huiwen Chen, Edward D. Siew, Jonathan Yabes, Raghavan Murugan, Gilles Clermont, and et al. 2022. "Predicting Mortality Using Machine Learning Algorithms in Patients Who Require Renal Replacement Therapy in the Critical Care Unit" Journal of Clinical Medicine 11, no. 18: 5289. https://doi.org/10.3390/jcm11185289
APA StyleChang, H.-H., Chiang, J.-H., Wang, C.-S., Chiu, P.-F., Abdel-Kader, K., Chen, H., Siew, E. D., Yabes, J., Murugan, R., Clermont, G., Palevsky, P. M., & Jhamb, M. (2022). Predicting Mortality Using Machine Learning Algorithms in Patients Who Require Renal Replacement Therapy in the Critical Care Unit. Journal of Clinical Medicine, 11(18), 5289. https://doi.org/10.3390/jcm11185289

