The Ottawa Score Performs Poorly to Identify Cancer Patients at High Risk of Recurrent Venous Thromboembolism: Insights from the TROPIQUE Study and Updated Meta-Analysis
Abstract
:1. Introduction
2. Materials and Methods
2.1. Study Design and Participants
2.2. Data Collection and Study Outcomes
2.3. Statistical Analysis
2.4. Systematic Review and Pooled Analysis
3. Results
3.1. Performance of the Original Ottawa Score in the TROPIQUE Study Population
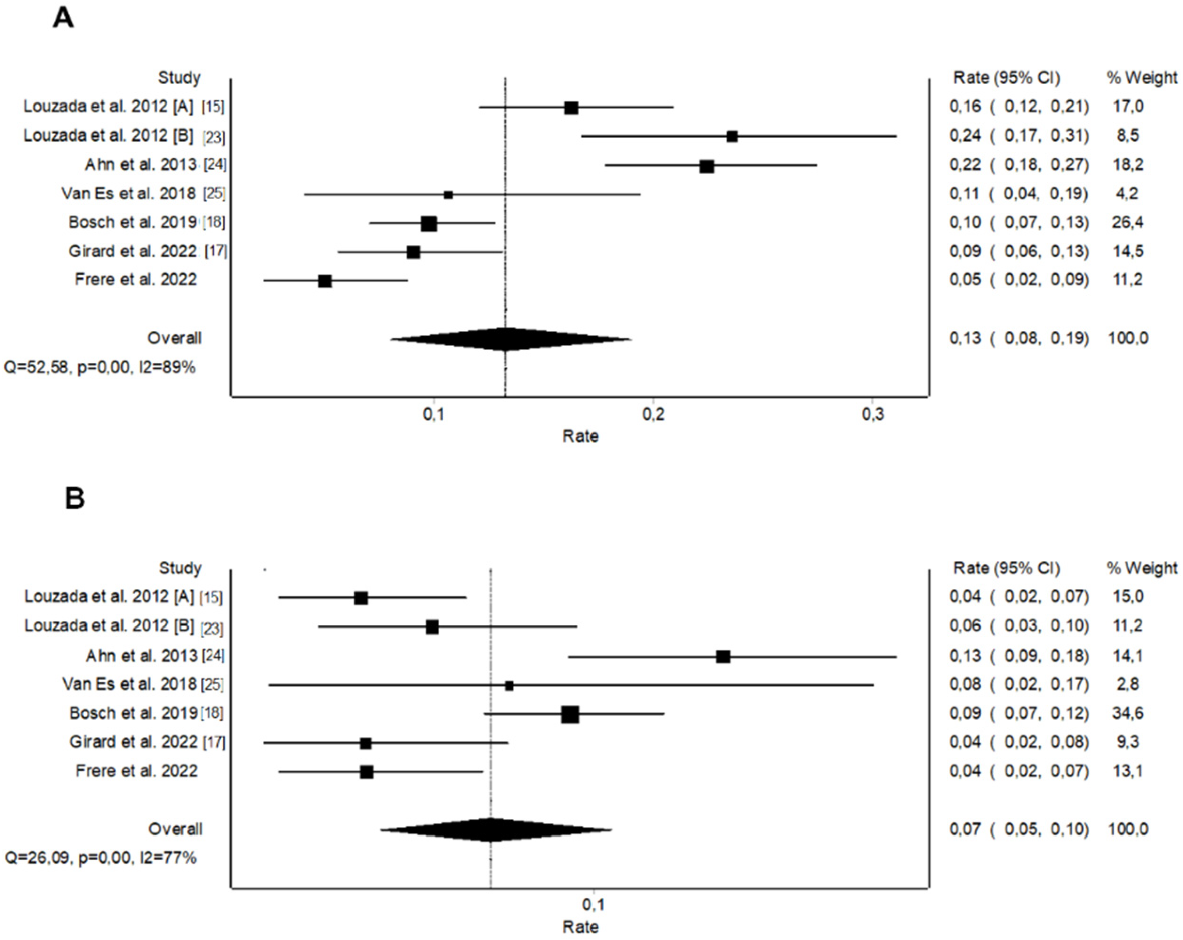
3.2. Pooled Analysis of Studies That Evaluated the Original Ottawa Score in Predicting CAT Recurrence
4. Discussion
5. Conclusions
Supplementary Materials
Author Contributions
Funding
Institutional Review Board Statement
Informed Consent Statement
Data Availability Statement
Conflicts of Interest
Appendix A
References
- Farge, D.; Debourdeau, P.; Beckers, M.; Baglin, C.; Bauersachs, R.M.; Brenner, B.; Brilhante, D.; Falanga, A.; Gerotzafias, G.T.; Haim, N.; et al. International Clinical Practice Guidelines for the Treatment and Prophylaxis of Venous Thromboembolism in Patients with Cancer. J. Thromb. Haemost. 2013, 11, 56–70. [Google Scholar] [CrossRef] [PubMed] [Green Version]
- Farge, D.; Bounameaux, H.; Brenner, B.; Cajfinger, F.; Debourdeau, P.; Khorana, A.A.; Pabinger, I.; Solymoss, S.; Douketis, J.; Kakkar, A. International Clinical Practice Guidelines Including Guidance for Direct Oral Anticoagulants in the Treatment and Prophylaxis of Venous Thromboembolism in Patients with Cancer. Lancet Oncol. 2016, 17, e452–e466. [Google Scholar] [CrossRef] [Green Version]
- Raskob, G.E.; van Es, N.; Verhamme, P.; Carrier, M.; Di Nisio, M.; Garcia, D.; Grosso, M.A.; Kakkar, A.K.; Kovacs, M.J.; Mercuri, M.F.; et al. Edoxaban for the Treatment of Cancer-Associated Venous Thromboembolism. N. Engl. J. Med. 2018, 378, 615–624. [Google Scholar] [CrossRef] [PubMed]
- Young, A.M.; Marshall, A.; Thirlwall, J.; Chapman, O.; Lokare, A.; Hill, C.; Hale, D.; Dunn, J.A.; Lyman, G.H.; Hutchinson, C.; et al. Comparison of an Oral Factor Xa Inhibitor with Low Molecular Weight Heparin in Patients with Cancer with Venous Thromboembolism: Results of a Randomized Trial (SELECT-D). J. Clin. Oncol. 2018, 36, 2017–2023. [Google Scholar] [CrossRef]
- McBane, R.D.; Wysokinski, W.E.; Le-Rademacher, J.G.; Zemla, T.; Ashrani, A.; Tafur, A.; Perepu, U.; Anderson, D.; Gundabolu, K.; Kuzma, C.; et al. Apixaban and Dalteparin in Active Malignancy-Associated Venous Thromboembolism: The ADAM VTE Trial. J. Thromb. Haemost. 2020, 18, 411–421. [Google Scholar] [CrossRef]
- Agnelli, G.; Becattini, C.; Meyer, G.; Muñoz, A.; Huisman, M.V.; Connors, J.M.; Cohen, A.; Bauersachs, R.; Brenner, B.; Torbicki, A.; et al. Apixaban for the Treatment of Venous Thromboembolism Associated with Cancer. N. Engl. J. Med. 2020, 382, 1599–1607. [Google Scholar] [CrossRef]
- Planquette, B.; Bertoletti, L.; Charles-Nelson, A.; Laporte, S.; Grange, C.; Mahé, I.; Pernod, G.; Elias, A.; Couturaud, F.; Falvo, N.; et al. Rivaroxaban vs. Dalteparin in Cancer-Associated Thromboembolism: A Randomized Trial. Chest 2022, 161, 781–790. [Google Scholar] [CrossRef]
- Schrag, D.; Uno, H.; Rosovsky, R.P.G.; Rutherford, C.; Sanfilippo, K.M.; Villano, J.L.; Drescher, M.R.; Jayaram, N.H.; Holmes, C.E.; Feldman, L.E.; et al. The Comparative Effectiveness of Direct Oral Anti-Coagulants and Low Molecular Weight Heparins for Prevention of Recurrent Venous Thromboembolism in Cancer: The CANVAS Pragmatic Randomized Trial. JCO 2021, 39, 12020. [Google Scholar] [CrossRef]
- Frere, C.; Farge, D.; Schrag, D.; Prata, P.H.; Connors, J.M. Direct Oral Anticoagulant versus Low Molecular Weight Heparin for the Treatment of Cancer-Associated Venous Thromboembolism: 2022 Updated Systematic Review and Meta-Analysis of Randomized Controlled Trials. J. Hematol. Oncol. 2022, 15, 69. [Google Scholar] [CrossRef]
- Farge, D.; Frere, C.; Connors, J.M.; Ay, C.; Khorana, A.A.; Munoz, A.; Brenner, B.; Kakkar, A.; Rafii, H.; Solymoss, S.; et al. 2019 International Clinical Practice Guidelines for the Treatment and Prophylaxis of Venous Thromboembolism in Patients with Cancer. Lancet Oncol. 2019, 20, e566–e581. [Google Scholar] [CrossRef] [Green Version]
- Key, N.S.; Khorana, A.A.; Kuderer, N.M.; Bohlke, K.; Lee, A.Y.Y.; Arcelus, J.I.; Wong, S.L.; Balaban, E.P.; Flowers, C.R.; Francis, C.W.; et al. Venous Thromboembolism Prophylaxis and Treatment in Patients with Cancer: ASCO Clinical Practice Guideline Update. J. Clin. Oncol. 2020, 38, 496–520. [Google Scholar] [CrossRef] [PubMed]
- Lyman, G.H.; Carrier, M.; Ay, C.; Di Nisio, M.; Hicks, L.K.; Khorana, A.A.; Leavitt, A.D.; Lee, A.Y.Y.; Macbeth, F.; Morgan, R.L.; et al. American Society of Hematology 2021 Guidelines for Management of Venous Thromboembolism: Prevention and Treatment in Patients with Cancer. Blood Adv. 2021, 5, 927–974. [Google Scholar] [CrossRef] [PubMed]
- Stevens, S.M.; Woller, S.C.; Kreuziger, L.B.; Bounameaux, H.; Doerschug, K.; Geersing, G.-J.; Huisman, M.V.; Kearon, C.; King, C.S.; Knighton, A.J.; et al. Antithrombotic Therapy for VTE Disease: Second Update of the CHEST Guideline and Expert Panel Report. CHEST 2021, 160, e545–e608. [Google Scholar] [CrossRef] [PubMed]
- NCCN Guideline on Cancer-Associated Venous Thromboembolic Disease. Version 1. 2022. Available online: https://www.nccn.org/professionals/physician_gls/pdf/vte.pdf (accessed on 1 March 2022).
- Louzada, M.L.; Carrier, M.; Lazo-Langner, A.; Dao, V.; Kovacs, M.J.; Ramsay, T.O.; Rodger, M.A.; Zhang, J.; Lee, A.Y.Y.; Meyer, G.; et al. Development of a Clinical Prediction Rule for Risk Stratification of Recurrent Venous Thromboembolism in Patients with Cancer-Associated Venous Thromboembolism. Circulation 2012, 126, 448–454. [Google Scholar] [CrossRef] [PubMed] [Green Version]
- Delluc, A.; Miranda, S.; den Exter, P.; Louzada, M.; Alatri, A.; Ahn, S.; Monreal, M.; Khorana, A.; Huisman, M.V.; Wells, P.S.; et al. Accuracy of the Ottawa Score in Risk Stratification of Recurrent Venous Thromboembolism in Patients with Cancer-Associated Venous Thromboembolism: A Systematic Review and Meta-Analysis. Haematologica 2020, 105, 1436–1442. [Google Scholar] [CrossRef] [PubMed]
- Girard, P.; Laporte, S.; Chapelle, C.; Falvo, N.; Falchero, L.; Cloarec, N.; Monnet, I.; Burnod, A.; Tomasini, P.; Boulon, C.; et al. Failure of the Ottawa Score to Predict the Risk of Recurrent Venous Thromboembolism in Cancer Patients: The Prospective PREDICARE Cohort Study. Thromb. Haemost. 2022, 122, 151–157. [Google Scholar] [CrossRef]
- Bosch, F.T.M.; Van Es, N.; Di Nisio, M.; Carrier, M.; Segers, A.; Grosso, M.A.; Mulder, F.I.; Weitz, J.I.; Raskob, G.E. The Ottawa Score Does Not Predict Recurrent Venous Thromboembolism in Cancer Patients: Results from the Hokusai-VTE Cancer Study. RPTH 2019, 3, 717–718. [Google Scholar]
- Cajfinger, F.; Debourdeau, P.; Lamblin, A.; Benatar, V.; Falvo, N.; Benhamou, Y.; Sevestre, M.A.; Farge-Bancel, D. TROPIQUE investigators Low-Molecular-Weight Heparins for Cancer-Associated Thrombosis: Adherence to Clinical Practice Guidelines and Patient Perception in TROPIQUE, a 409-Patient Prospective Observational Study. Thromb. Res. 2016, 144, 85–92. [Google Scholar] [CrossRef]
- Collins, G.S.; Reitsma, J.B.; Altman, D.G.; Moons, K.G.M. Transparent Reporting of a Multivariable Prediction Model for Individual Prognosis or Diagnosis (TRIPOD): The TRIPOD Statement. Ann. Intern. Med. 2015, 162, 55–63. [Google Scholar] [CrossRef] [Green Version]
- Moons, K.G.M.; Wolff, R.F.; Riley, R.D.; Whiting, P.F.; Westwood, M.; Collins, G.S.; Reitsma, J.B.; Kleijnen, J.; Mallett, S. PROBAST: A Tool to Assess Risk of Bias and Applicability of Prediction Model Studies: Explanation and Elaboration. Ann. Intern. Med. 2019, 170, W1–W33. [Google Scholar] [CrossRef] [Green Version]
- Fine, J.P.; Gray, R.J. A Proportional Hazards Model for the Subdistribution of a Competing Risk. J. Am. Stat. Assoc. 1999, 94, 496–509. [Google Scholar] [CrossRef]
- Louzada, M.L.; Bose, G.; Cheung, A.; Chin-Yee, B.H.; Wells, S.; Wells, P.S. Predicting Venous Thromboembolism Recurrence Risk in Patients with Cancer: A Validation Study. Blood 2012, 120, 394. [Google Scholar] [CrossRef]
- Ahn, S.; Lim, K.S.; Lee, Y.-S.; Lee, J.-L. Validation of the Clinical Prediction Rule for Recurrent Venous Thromboembolism in Cancer Patients: The Ottawa Score. Support. Care Cancer 2013, 21, 2309–2313. [Google Scholar] [CrossRef] [PubMed]
- van Es, N.; Louzada, M.; Carrier, M.; Tagalakis, V.; Gross, P.L.; Shivakumar, S.; Rodger, M.A.; Wells, P.S. Predicting the Risk of Recurrent Venous Thromboembolism in Patients with Cancer: A Prospective Cohort Study. Thromb. Res. 2018, 163, 41–46. [Google Scholar] [CrossRef]
- Martín-Martos, F.; Trujillo-Santos, J.; Barrón, M.; Vela, J.; Javier Marchena, P.; Braester, A.; Hij, A.; Hernández-Blasco, L.; Verhamme, P.; Manuel, M.; et al. Gender Differences in Cancer Patients with Acute Venous Thromboembolism. Thromb. Res. 2015, 135 (Suppl. S1), S12–S15. [Google Scholar] [CrossRef]
- Giustozzi, M.; Valerio, L.; Agnelli, G.; Becattini, C.; Fronk, E.-M.; Klok, F.A.; Konstantinides, S.V.; Vedovati, M.C.; Cohen, A.T.; Barco, S. Sex-Specific Differences in the Presentation, Clinical Course, and Quality of Life of Patients with Acute Venous Thromboembolism According to Baseline Risk Factors. Insights from the PREFER in VTE. Eur. J. Intern. Med. 2021, 88, 43–51. [Google Scholar] [CrossRef]
- Lee, A.; Parpia, S.; Julian, J.; Rickles, F.; Prins, M.; Levine, M. Predictors of Recurrent Thrombosis and Anticoagulant-Related Bleeding in Patients with Cancer. JCO 2009, 27, 9565. [Google Scholar] [CrossRef]
- Mahé, I.; Chidiac, J.; Bertoletti, L.; Font, C.; Trujillo-Santos, J.; Peris, M.; Pérez Ductor, C.; Nieto, S.; Grandone, E.; Monreal, M.; et al. The Clinical Course of Venous Thromboembolism May Differ According to Cancer Site. Am. J. Med. 2017, 130, 337–347. [Google Scholar] [CrossRef] [Green Version]
- Agnelli, G.; Muñoz, A.; Franco, L.; Mahé, I.; Brenner, B.; Connors, J.M.; Gussoni, G.; Hamulyak, E.N.; Lambert, C.; Suero, M.R.; et al. Apixaban and Dalteparin for the Treatment of Venous Thromboembolism in Patients with Different Sites of Cancer. Thromb. Haemost. 2021, 122, 796–807. [Google Scholar] [CrossRef]
- Verso, M.; Agnelli, G.; Munoz, A.; Connors, J.M.; Sanchez, O.; Huisman, M.; Brenner, B.; Gussoni, G.; Cohen, A.T.; Becattini, C. Recurrent Venous Thromboembolism and Major Bleeding in Patients with Localised, Locally Advanced or Metastatic Cancer: An Analysis of the Caravaggio Study. Eur. J. Cancer 2022, 165, 136–145. [Google Scholar] [CrossRef]



| Patient Characteristics | All (n = 409) | Low-Risk Ottawa Score | High-Risk Ottawa Score | p |
|---|---|---|---|---|
| (n = 238) | (n = 171) | |||
| Age (years), mean ± SD | 65.0 ± 12.1 | 63.5 ± 12.9 | 65.9 ± 10.8 | ns |
| Women, no. (%) | 204 (49.8) | 90 (35.6) | 114 (73.1) | <0.0001 |
| BMI (kg/m2), mean ± SD | 24.8 ± 5.1 | 25.2 ± 4.9 | 24.2 ± 5.3 | 0.0052 |
| ECOG > 2, no. (%) | 49 (11.9) | 23 (9.7) | 26 (17.1) | ns |
| Missing data | 3 | 2 | 1 | |
| Estimated GFR, no. (%) | ns | |||
| <60 mL/min/1.73 m2 | 65 (16.7) | 34 (15.4) | 31 (20.5) | |
| Missing data | 22 | 17 | 5 | |
| Cancer type, no. (%) | ||||
| Gastrointestinal | 100 (24.4) | 60 (25.2) | 40 (23.4) | ns |
| Breast | 65 (15.9) | 57 (23.9) | 8 (4.7) | <0.0001 |
| Lung | 71 (17.4) | 7 (2.9) | 64 (37.4) | <0.0001 |
| Hematological | 54 (13.2) | 46 (19.3) | 8 (4.7) | <0.0001 |
| Genitourinaty | 38 (9.3) | 30 (12.6) | 8 (4.7) | 0.0088 |
| Other cancers | 81 (19.8) | 38 (16.0) | 43 (25.1) | 0.0239 |
| Cancer Stage, no. (%) | ||||
| Stage I | 97 (23.7) | 97 (40.8) | 0 (0) | <0.0001 |
| Stage II | 61 (14.9) | 29 (12.2) | 32 (18.7) | ns |
| Stage III–IV | 251 (61.4) | 112 (47.1) | 139 (81.3) | <0.0001 |
| Ongoing cancer treatment at time of diagnosis *, no. (%) | ||||
| Chemotherapy | 328 (80.2) | 186 (78.2) | 142 (83.0) | ns |
| Hormonal therapy | 26 (6.4) | 16 (6.7) | 10 (5.8) | ns |
| Radiotherapy | 37 (9.0) | 24 (10.1) | 13 (7.6) | ns |
| Antiangiogenics | 22 (5.4) | 13 (5.5) | 9 (5.3) | ns |
| Targeted therapy | 53 (13.0) | 34 (14.3) | 19 (11.1) | ns |
| Supportive care | 32 (7.8) | 17 (7.1) | 15 (8.8) | ns |
| Risk factors for VTE, no. (%) | ||||
| Prior VTE | 54 (13.2) | 17 (7.1) | 37 (21.6) | <0.0001 |
| Major surgery in previous month | 100 (24.4) | 68 (28.6) | 32 (18.7) | 0.0265 |
| CVC | 303 (74.1) | 179 (75.2) | 124 (72.5) | ns |
| Immobilization in previous month | 47 (11.5) | 23 (9.7) | 24 (14) | ns |
| Thrombophilia | 6 (1.5) | 5 (2.1) | 1 (0.6) | ns |
| Index VTE *, no. (%) | 145 (35.5) | 75 (31.5) | 70 (40.9) | 0.0264 |
| PE | 193 (47.2) | 112 (47.1) | 81 (47.4) | ns |
| DVT of the lower limb | 45 (11.0) | 28 (11.8) | 17 (9.9) | ns |
| DVT of the upper limb | 16 (3.9) | 11 (4.6) | 5 (2.9) | ns |
| Visceral vein thrombosis | 66 (16.1) | 45 (18.9) | 21 (66) | ns |
| CVC-related thrombosis |
| Variables Included in the Ottawa Score | SHR (95% CI) | p-Value | |
|---|---|---|---|
| Sex | - | ||
| Men | Ref | ||
| Women | 0.499 (0.164–1.52) | 0.220 | |
| Lung cancer | - | ||
| No | Ref | ||
| Yes | 2.172 (0.4296–10.98) | 0.350 | |
| Breast | - | ||
| No | Ref | ||
| Yes | 0.469 (0.0397–5.55) | 0.550 | |
| TNM Stage 1 | - | ||
| No | Ref | ||
| Yes | 0.653 (0.1704–2.50) | 0.530 | |
| Prior venous thromboembolism | - | ||
| No | Ref | ||
| Yes | 4.395 (1.1300–17.09) | 0.033 | |
Publisher’s Note: MDPI stays neutral with regard to jurisdictional claims in published maps and institutional affiliations. |
© 2022 by the authors. Licensee MDPI, Basel, Switzerland. This article is an open access article distributed under the terms and conditions of the Creative Commons Attribution (CC BY) license (https://creativecommons.org/licenses/by/4.0/).
Share and Cite
Frere, C.; Crichi, B.; Wahl, C.; Lesteven, E.; Connault, J.; Durant, C.; Rueda-Camino, J.A.; Yannoutos, A.; Bensaoula, O.; Le Maignan, C.; et al. The Ottawa Score Performs Poorly to Identify Cancer Patients at High Risk of Recurrent Venous Thromboembolism: Insights from the TROPIQUE Study and Updated Meta-Analysis. J. Clin. Med. 2022, 11, 3729. https://doi.org/10.3390/jcm11133729
Frere C, Crichi B, Wahl C, Lesteven E, Connault J, Durant C, Rueda-Camino JA, Yannoutos A, Bensaoula O, Le Maignan C, et al. The Ottawa Score Performs Poorly to Identify Cancer Patients at High Risk of Recurrent Venous Thromboembolism: Insights from the TROPIQUE Study and Updated Meta-Analysis. Journal of Clinical Medicine. 2022; 11(13):3729. https://doi.org/10.3390/jcm11133729
Chicago/Turabian StyleFrere, Corinne, Benjamin Crichi, Clémentine Wahl, Elodie Lesteven, Jérôme Connault, Cécile Durant, Jose Antonio Rueda-Camino, Alexandra Yannoutos, Okba Bensaoula, Christine Le Maignan, and et al. 2022. "The Ottawa Score Performs Poorly to Identify Cancer Patients at High Risk of Recurrent Venous Thromboembolism: Insights from the TROPIQUE Study and Updated Meta-Analysis" Journal of Clinical Medicine 11, no. 13: 3729. https://doi.org/10.3390/jcm11133729
APA StyleFrere, C., Crichi, B., Wahl, C., Lesteven, E., Connault, J., Durant, C., Rueda-Camino, J. A., Yannoutos, A., Bensaoula, O., Le Maignan, C., Marjanovic, Z., & Farge, D. (2022). The Ottawa Score Performs Poorly to Identify Cancer Patients at High Risk of Recurrent Venous Thromboembolism: Insights from the TROPIQUE Study and Updated Meta-Analysis. Journal of Clinical Medicine, 11(13), 3729. https://doi.org/10.3390/jcm11133729

