Prospective Measures of Adherence by Questionnaire, Low Immunosuppression and Graft Outcome in Kidney Transplantation
Abstract
1. Introduction
2. Patients and Methods
2.1. Study Design
2.2. CNI Regimens
2.3. Evaluation of Medication Non-Adherence
2.4. Outcomes
2.5. Statistical Analysis
3. Results
3.1. Patients’ Characteristics and Immunosuppression
3.2. Medication Non-Adherence
3.3. De Novo Donor-Specific Antibodies
3.4. Rejection
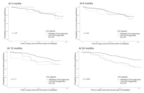
3.5. Graft Survival
4. Discussion
Supplementary Materials
Author Contributions
Funding
Institutional Review Board Statement
Informed Consent Statement
Data Availability Statement
Acknowledgments
Conflicts of Interest
References
- Wiebe, C.; Gibson, I.W.; Blydt-Hansen, T.D.; Pochinco, D.; Birk, P.E.; Ho, J.; Karpinski, M.; Goldberg, A.; Storsley, L.; Rush, D.N.; et al. Rates and Determinants of Progression to Graft Failure in Kidney Allograft Recipients with De Novo Donor-Specific Antibody: Post- dn DSA Clinical Histologic Progression. Am. J. Transplant. 2015, 15, 2921–2930. [Google Scholar] [CrossRef] [PubMed]
- Loupy, A.; Hill, G.S.; Jordan, S.C. The impact of donor-specific anti-HLA antibodies on late kidney allograft failure. Nat. Rev. Nephrol. 2012, 8, 348–357. [Google Scholar] [CrossRef] [PubMed]
- Nankivell, B.J.; Shingde, M.; Keung, K.L.; Fung, C.L.; Borrows, R.J.; O’Connell, P.J.; Chapman, J.R. The causes, significance and consequences of inflammatory fibrosis in kidney transplantation: The Banff i-IFTA lesion. Am. J. Transplant. 2018, 18, 364–376. [Google Scholar] [CrossRef] [PubMed]
- Lefaucheur, C.; Gosset, C.; Rabant, M.; Viglietti, D.; Verine, J.; Aubert, O.; Louis, K.; Glotz, D.; Legendre, C.; Van Huyen, J.D.; et al. T cell–mediated rejection is a major determinant of inflammation in scarred areas in kidney allografts. Am. J. Transplant. 2018, 18, 377–390. [Google Scholar] [CrossRef]
- Mehta, R.; Bhusal, S.; Randhawa, P.; Sood, P.; Cherukuri, A.; Wu, C.; Puttarajappa, C.; Hoffman, W.; Shah, N.; Mangiola, M.; et al. Short-term adverse effects of early subclinical allograft inflammation in kidney transplant recipients with a rapid steroid withdrawal protocol. Am. J. Transplant. 2018, 18, 1710–1717. [Google Scholar] [CrossRef]
- Gosset, C.; Viglietti, D.; Rabant, M.; Vérine, J.; Aubert, O.; Glotz, D.; Legendre, C.; Taupin, J.-L.; Van-Huyen, J.-P.D.; Loupy, A.; et al. Circulating donor-specific anti-HLA antibodies are a major factor in premature and accelerated allograft fibrosis. Kidney Int. 2017, 92, 729–742. [Google Scholar] [CrossRef]
- Naesens, M.; Kuypers, D.R.; De Vusser, K.; Evenepoel, P.; Claes, K.; Bammens, B.; Björn, M.; Ben, S.; Jacques, P.; Diethard, M.; et al. The Histology of Kidney Transplant Failure: A Long-Term Follow-Up Study. Transplantation 2014, 98, 427–435. [Google Scholar] [CrossRef]
- Wiebe, C.; Gibson, I.W.; Blydt-Hansen, T.D.; Karpinski, M.; Ho, J.; Storsley, L.J.; Goldberg, A.; Birk, P.E.; Rush, D.N.; Nickerson, P.W. Evolution and Clinical Pathologic Correlations of De Novo Donor-Specific HLA Antibody Post Kidney Transplant: Clinical Pathologic Correlations of De Novo DSA. Am. J. Transplant. 2012, 12, 1157–1167. [Google Scholar] [CrossRef]
- Wiebe, C.; Rush, D.N.; Nevins, T.E.; Birk, P.E.; Blydt-Hansen, T.; Gibson, I.W.; Goldberg, A.; Ho, J.; Karpinski, M.; Pochinco, D.; et al. Class II Eplet Mismatch Modulates Tacrolimus Trough Levels Required to Prevent Donor-Specific Antibody Development. J. Am. Soc. Nephrol. 2017, 28, 3353–3362. [Google Scholar] [CrossRef]
- Nevins, T.E.; Nickerson, P.W.; Dew, M.A. Understanding Medication Nonadherence after Kidney Transplant. J. Am. Soc. Nephrol. 2017, 28, 2290–2301. [Google Scholar] [CrossRef]
- Snanoudj, R.; Kamar, N.; Cassuto, E.; Caillard, S.; Metzger, M.; Merville, P.; Thierry, A.; Jollet, I.; Grimbert, P.; Anglicheau, D.; et al. Epitope load identifies kidney transplant recipients at risk of allosensitization following minimization of immunosuppression. Kidney Int. 2019, 95, 1471–1485. [Google Scholar] [CrossRef]
- Girerd, S.; Schikowski, J.; Girerd, N.; Duarte, K.; Busby, H.; Gambier, N.; Ladrière, M.; Kessler, M.; Frimat, L.; Aarnink, A. Impact of reduced exposure to calcineurin inhibitors on the development of de novo DSA: A cohort of non-immunized first kidney graft recipients between 2007 and 2014. BMC Nephrol. 2018, 19, 232. [Google Scholar] [CrossRef]
- Kaneku, H.; O’leary, J.G.; Banuelos, N.; Jennings, L.W.; Susskind, B.M.; Klintmalm, G.B.; Terasaki, P.I. De novo donor-specific HLA antibodies decrease patient and graft survival in liver transplant recipients. Am. J. Transplant. 2013, 13, 1541–1548. [Google Scholar] [CrossRef]
- Gatault, P.; Kamar, N.; Büchler, M.; Colosio, C.; Bertrand, D.; Durrbach, A.; Albano, L.; Rivalan, J.; Le Meur, Y.; Essig, M.; et al. Reduction of Extended-Release Tacrolimus Dose in Low-Immunological-Risk Kidney Transplant Recipients Increases Risk of Rejection and Appearance of Donor-Specific Antibodies: A Randomized Study. Am. J. Transplant. 2016, 17, 1370–1379. [Google Scholar] [CrossRef]
- Liefeldt, L.; Brakemeier, S.; Glander, P.; Waiser, J.; Lachmann, N.; Schönemann, C.; Zukunft, B.; Illigens, P.; Schmidt, D.; Wu, K.; et al. Donor-Specific HLA Antibodies in a Cohort Comparing Everolimus With Cyclosporine After Kidney Transplantation. Am. J. Transplant. 2012, 12, 1192–1198. [Google Scholar] [CrossRef]
- Rostaing, L.; Hertig, A.; Albano, L.; Anglicheau, D.; Durrbach, A.; Vuiblet, V.; Moulin, B.; Merville, P.; Hazzan, M.; Lang, P.; et al. Fibrosis Progression According to Epithelial-Mesenchymal Transition Profile: A Randomized Trial of Everolimus versus CsA: IT/FA Progression: Everolimus vs. CsA. Am. J. Transplant. 2015, 15, 1303–1312. [Google Scholar] [CrossRef]
- Gupta, G.; Jawdeh, B.G.A.; Racusen, L.C.; Bhasin, B.; Arend, L.J.; Trollinger, B.; Edward, K.; Hamid, R.; Andrea, A.Z.; Robert, A.M.; et al. Late Antibody-Mediated Rejection in Renal Allografts: Outcome After Conventional and Novel Therapies. Transplantation 2014, 97, 1240–1246. [Google Scholar] [CrossRef]
- Low, J.K.; Williams, A.; Manias, E.; Crawford, K. Interventions to improve medication adherence in adult kidney transplant recipients: A systematic review. Nephrol. Dial. Transplant. 2015, 30, 752–761. [Google Scholar] [CrossRef]
- Sellarés, J.; De Freitas, D.G.; Mengel, M.; Reeve, J.; Einecke, G.; Sis, B.; Hidalgo, L.G.; Famulski, K.; Matas, A.; Halloran, P.F.; et al. Understanding the Causes of Kidney Transplant Failure: The Dominant Role of Antibody-Mediated Rejection and Nonadherence: Attributing Causes of Kidney Transplant Loss. Am. J. Transplant. 2012, 12, 388–399. [Google Scholar] [CrossRef]
- Vlaminck, H.; Maes, B.; Evers, G.; Verbeke, G.; Lerut, E.; Van Damme, B.; Vanrenterghem, Y. Prospective Study on Late Consequences of Subclinical Non-Compliance with Immunosuppressive Therapy in Renal Transplant Patients. Am. J. Transplant. 2004, 4, 1509–1513. [Google Scholar] [CrossRef]
- Takemoto, S.K.; Pinsky, B.W.; Schnitzler, M.A.; Lentine, K.L.; Willoughby, L.M.; Burroughs, T.E.; Bunnapradist, S. A Retrospective Analysis of Immunosuppression Compliance, Dose Reduction and Discontinuation in Kidney Transplant Recipients. Am. J. Transplant. 2007, 7, 2704–2711. [Google Scholar] [CrossRef]
- Pinsky, B.W.; Takemoto, S.K.; Lentine, K.L.; Burroughs, T.E.; Schnitzler, M.A.; Salvalaggio, P.R. Transplant Outcomes and Economic Costs Associated with Patient Noncompliance to Immunosuppression. Am. J. Transplant. 2009, 9, 2597–2606. [Google Scholar] [CrossRef]
- Gaynor, J.J.; Ciancio, G.; Guerra, G.; Sageshima, J.; Hanson, L.; Roth, D.; Linda, C.; Warren, K.; Adela, M.; Lissett, T.; et al. Graft Failure Due to Noncompliance among 628 Kidney Transplant Recipients with Long-term Follow-up: A Single-Center Observational Study. Transplantation 2014, 97, 925–933. [Google Scholar] [CrossRef]
- Chisholm-Burns, M.A.; Spivey, C.A.; Rehfeld, R.; Zawaideh, M.; Roe, D.J.; Gruessner, R. Immunosuppressant Therapy Adherence and Graft Failure Among Pediatric Renal Transplant Recipients. Am. J. Transplant. 2009, 9, 2497–2504. [Google Scholar] [CrossRef]
- Osterberg, L.; Blaschke, T. Adherence to Medication. N. Engl. J. Med. 2005, 353, 487–497. [Google Scholar] [CrossRef]
- Kahan, B.D.; Welsh, M.; Urbauer, D.L.; Mosheim, M.B.; Beusterien, K.M.; Wood, M.R.; Schoenberg, L.P.; Dicesare, J.; Katz, S.M.; Van Buren, C.T. Low intraindividual variability of cyclosporin A exposure reduces chronic rejection incidence and health care costs. J. Am. Soc. Nephrol. 2000, 11, 1122–1131. [Google Scholar] [CrossRef]
- Rodrigo, E.; Segundo, D.S.; Fernández-Fresnedo, G.; López-Hoyos, M.; Benito, A.; Ruiz, J.C.; De Cos, M.-A.; Arias, M. Within-Patient Variability in Tacrolimus Blood Levels Predicts Kidney Graft Loss and Donor-Specific Antibody Development. Transplantation 2016, 100, 2479–2485. [Google Scholar] [CrossRef] [PubMed]
- Nevins, T.E.; Robiner, W.N.; Thomas, W. Predictive Patterns of Early Medication Adherence in Renal Transplantation. Transplantation 2014, 98, 878–884. [Google Scholar] [CrossRef] [PubMed]
- Nevins, T.E.; Kruse, L.; Skeans, M.A.; Thomas, W. The natural history of azathioprine compliance after renal transplantation. Kidney Int. 2001, 60, 1565–1570. [Google Scholar] [CrossRef] [PubMed]
- Wiebe, C.; Nevins, T.E.; Robiner, W.N.; Thomas, W.; Matas, A.J.; Nickerson, P.W. The Synergistic Effect of Class II HLA Epitope-Mismatch and Nonadherence on Acute Rejection and Graft Survival: Class II Epitope-Mismatch and Nonadherence. Am. J. Transplant. 2015, 15, 2197–2202. [Google Scholar] [CrossRef] [PubMed]
- Israni, A.K.; Weng, F.L.; Cen, Y.Y.; Joffe, M.; Kamoun, M.; Feldman, H.I. Electronically measured adherence to immunosuppressive medications and kidney function after deceased donor kidney transplantation: Medication adherence after renal transplant. Clin. Transplant. 2011, 25, 124–131. [Google Scholar] [CrossRef]
- Weng, F.L.; Israni, A.K.; Joffe, M.M.; Hoy, T.; Gaughan, C.A.; Newman, M.; Abrams, J.D.; Kamoun, M.; Rosas, S.E.; Mange, K.C.; et al. Race and Electronically Measured Adherence to Immunosuppressive Medications after Deceased Donor Renal Transplantation. J. Am. Soc. Nephrol. 2005, 16, 1839–1848. [Google Scholar] [CrossRef]
- Denhaerynck, K.; Steiger, J.; Bock, A.; Schäfer-Keller, P.; Köfer, S.; Thannberger, N.; De Geest, S. Prevalence and Risk Factors of Non-Adherence with Immunosuppressive Medication in Kidney Transplant Patients. Am. J. Transplant. 2006, 7, 108–116. [Google Scholar] [CrossRef]
- Denhaerynck, K.; Burkhalter, F.; Schäfer-Keller, P.; Steiger, J.; Bock, A.; De Geest, S. Clinical consequences of non adherence to immunosuppressive medication in kidney transplant patients. Transpl. Int. 2009, 22, 441–446. [Google Scholar] [CrossRef]
- Myaskovsky, L.; Jesse, M.T.; Kuntz, K.; Leino, A.D.; Peipert, J.D.; Russell, C.L.; Spivey, C.A.; Sulejmani, N.; Dew, M.A. Report from the American Society of Transplantation Psychosocial Community of Practice Adherence Task Force: Real-world options for promoting adherence in adult recipients. Clin. Transplant. 2018, 32, e13353. [Google Scholar] [CrossRef]
- De Geest, S.; Borgermans, L.; Gemoets, H.; Abraham, I.; Vlaminck, H.; Evers, G.; Vanrenterghem, Y. Incidence, determinants, and consequences of subclinical noncompliance with immunosuppressive therapy in renal transplant recipients. Transplantation 1995, 59, 340–347. [Google Scholar] [CrossRef]
- Villeneuve, C.; Rousseau, A.; Rerolle, J.-P.; Couzi, L.; Kamar, N.; Essig, M.; Etienne, I.; Westeel, P.-F.; Büchler, M.; Esposito, L.; et al. Adherence profiles in kidney transplant patients: Causes and consequences. Patient Educ. Couns. 2020, 103, 189–198. [Google Scholar] [CrossRef]
- Fine, R.N.; Becker, Y.; De Geest, S.; Eisen, H.; Ettenger, R.; Evans, R.; Rudow, D.L.; McKay, D.; Neu, A.; Nevins, T.; et al. Nonadherence Consensus Conference Summary Report: Nonadherence Consensus Conference Summary Report. Am. J. Transplant. 2008, 9, 35–41. [Google Scholar] [CrossRef]
- Morisky, D.E.; Green, L.W.; Levine, D.M. Concurrent and Predictive Validity of a Self-reported Measure of Medication Adherence. Med. Care 1986, 24, 67–74. [Google Scholar] [CrossRef]
- Couzi, L.; Moulin, B.; Morin, M.P.; Albano, L.; Godin, M.; Barrou, B.; Eric, A.; Emmanuel, M.; Sandrine, G.-S.; Laurence, M.; et al. Factors Predictive of Medication Nonadherence After Renal Transplantation: A French Observational Study. Transplantation 2013, 95, 326–332. [Google Scholar] [CrossRef]
- Leffondré, K.; Jager, K.J.; Boucquemont, J.; Stel, V.S.; Heinze, G. Representation of exposures in regression analysis and interpretation of regression coefficients: Basic concepts and pitfalls. Nephrol. Dial. Transplant. 2013, 29, 1806–1814. [Google Scholar] [CrossRef] [PubMed]
- Chapman, J.R. Compliance: The patient, the doctor, and the medication? Transplantation 2004, 77, 782–786. [Google Scholar] [CrossRef] [PubMed]
- Dobbels, F.; Berben, L.; De Geest, S.; Drent, G.; Lennerling, A.; Whittaker, C.; Kugler, C. The Psychometric Properties and Practicability of Self-Report Instruments to Identify Medication Nonadherence in Adult Transplant Patients: A Systematic Review. Transplantation 2010, 90, 205–219. [Google Scholar] [CrossRef] [PubMed]
- Vanhove, T.; Vermeulen, T.; Annaert, P.; Lerut, E.; Kuypers, D.R.J. High Intrapatient Variability of Tacrolimus Concentrations Predicts Accelerated Progression of Chronic Histologic Lesions in Renal Recipients. Am. J. Transplant. 2016, 16, 2954–2963. [Google Scholar] [CrossRef]
- Sapir-Pichhadze, R.; Wang, Y.; Famure, O.; Li, Y.; Kim, S.J. Time-dependent variability in tacrolimus trough blood levels is a risk factor for late kidney transplant failure. Kidney Int. 2014, 85, 1404–1411. [Google Scholar] [CrossRef]
- Schäfer-Keller, P.; Steiger, J.; Bock, A.; Denhaerynck, K.; De Geest, S. Diagnostic Accuracy of Measurement Methods to Assess Non-Adherence to Immunosuppressive Drugs in Kidney Transplant Recipients. Am. J. Transplant. 2008, 8, 616–626. [Google Scholar] [CrossRef]
- Guidicelli, G.; Guerville, F.; Lepreux, S.; Wiebe, C.; Thaunat, O.; Dubois, V.; Visentin, J.; Bachelet, T.; Morelon, E.; Nickerson, P.; et al. Non-Complement–Binding De Novo Donor-Specific Anti-HLA Antibodies and Kidney Allograft Survival. J. Am. Soc. Nephrol. 2015, 27, 615–625. [Google Scholar] [CrossRef]
- Ekberg, H.; Tedesco-Silva, H.; Demirbas, A.; Vítko, Š.; Nashan, B.; Guerkan, A.; Margreiter, R.; Hugo, C.; Grinyó, J.M.; Frei, U.; et al. Reduced Exposure to Calcineurin Inhibitors in Renal Transplantation. N. Engl. J. Med. 2007, 357, 2562–2575. [Google Scholar] [CrossRef]
- Nankivell, B.J.; Borrows, R.J.; Fung, C.L.-S.; O’Connell, P.J.; Allen, R.D.; Chapman, J.R. The Natural History of Chronic Allograft Nephropathy. N. Engl. J. Med. 2003, 349, 2326–2333. [Google Scholar] [CrossRef]


| Whole Cohort | By Occurrence of dnDSA between 2 and 3 Years Post Transplant | |||||
|---|---|---|---|---|---|---|
| N | N | No dnDSA n = 207 | dnDSA n = 19 | p Value | ||
| Age (years), median (IQR) | 301 | 51.0 (40.0–60.0) | 226 | 48.8 | 42.3 | 0.04 |
| Male, n (%) | 301 | 208 (69.1) | 226 | 145 (70.0) | 15 (79.0) | 0.60 |
| Primary kidney disease | 295 | 221 | 0.42 | |||
| Vascular, n (%) | 10 (3.4) | 6 (3.0) | 0 (0.0) | |||
| Diabetics, n (%) | 24 (8.1) | 16 (7.9) | 2 (10.5) | |||
| Glomerulonephritis, n (%) | 82 (27.8) | 58 (28.7) | 9 (47.4) | |||
| Tubulo-interstitial, n (%) | 31 (10.5) | 24 (11.9) | 3 (15.8) | |||
| Hereditary (including polycystic kidney disease), n (%) | 64 (21.7) | 52 (25.7) | 2 (10.5) | |||
| Other or undetermined, n (%) | 84 (28.5) | 46 (22.8) | 3 (15.8) | |||
| Dialysis modality before transplant | 292 | 203 | 0.11 | |||
| Preemptive transplantation, n (%) | 27 (9.3) | 1 (0.5) | 0 (0.0) | |||
| Hemodialysis, n (%) | 221 (75.7) | 147 (79.5) | 18 (100.0) | |||
| Peritoneal dialysis, n (%) | 44 (15.1) | 37 (0.2) | 0 (0.0) | |||
| Number of previous graft(s) | 271 | 224 | 0.36 | |||
| 0, n (%) | 224 (82.7) | 172 (83.9) | 16 (84.2) | |||
| 1, n (%) | 41 (15.1) | 30 (14.6) | 2 (10.5) | |||
| ≥2, n (%) | 6 (2.3) | 2 (1.0) | 1 (5.3) | |||
| Sensitized patients, n (%) | 226 | 61 (27) | 226 | 0.11 | ||
| Yes | 59 (28.5) | 2 (10.5) | ||||
| No | 148 (71.5) | 17 (89.5) | ||||
| Donor age (years), mean (SD) | 278 | 49.2 (15.9) | 217 | 47.1 (15.5) | 45.8 (18.4) | 0.75 |
| Living donor, n (%) | 298 | 9 (3.0) | 225 | 6 (2.9) | 0 (0.0) | 1.00 |
| Expanded criteria donor, n (%) | 274 | 116 (42.3) | 213 | 67 (34.5) | 5 (26.3) | 0.61 |
| Number of HLA mismatches (A–B–DR) | 295 | 224 | 0.12 | |||
| 0, n (%) | 3 (1.0) | 1 (0.5) | 0 (0.0) | |||
| 1, n (%) | 10 (3.4) | 7 (3.4) | 0 (0.0) | |||
| 2, n (%) | 26 (8.8) | 14 (6.8) | 1 (5.3) | |||
| 3, n (%) | 48 (16.3) | 29 (14.1) | 4 (21.1) | |||
| 4, n (%) | 91 (30.8) | 64 (31.2) | 3 (15.8) | |||
| 5, n (%) | 85 (28.8) | 61 (29.8) | 11 (57.9) | |||
| 6, n (%) | 32 (10.8) | 29 (14.1) | 0 (0.0) | |||
| Total ischemia time (hours), median (IQR) | 269 | 15.8 (13.0–19.0) | 212 | 16.5 (6.0) | 16.2 (6.8) | 0.84 |
| Induction treatment | 276 | 206 | 0.41 | |||
| Basiliximab, n (%) | 168 (60.9) | 125 (66.1) | 9 (52.9) | |||
| rATG, n (%) | 108 (39.1) | 64 (33.9) | 8 (47.1) | |||
| Delayed graft function, n (%) | 292 | 61 (20.9) | 220 | 40 (19.8) | 5 (27.8) | 0.38 |
| Maintenance treatment at 3 months post-transplant | 296 | 219 | 0.002 | |||
| Cyclosporine | 64 (21.6) | 46 (23.0) | 11 (57.9) | |||
| Tacrolimus | 227 (76.7) | 151 (75.5) | 7 (36.8) | |||
| Without CNI | 5 (1.7) | 3 (1.5) | 1 (5.3) | |||
| Maintenance treatment at 6 months post-transplant | 294 | 219 | 0.004 | |||
| Cyclosporine | 61 (20.7) | 46 (23.0) | 9 (47.4) | |||
| Tacrolimus | 226 (76.9) | 150 (75.0)) | 8 (42.1) | |||
| Without CNI | 7 (2.4) | 4 (2.0) | 2 (10.5) | |||
| Maintenance treatment at 12 months post-transplant | 291 | 219 | 0.02 | |||
| Cyclosporine | 55 (18.9) | 42 (21.0) | 8 (42.1) | |||
| Tacrolimus | 224 (77.0) | 151 (75.5) | 9 (47.4) | |||
| Without CNI | 12 (4.1) | 7 (3.5) | 2 (10.5) | |||
| Maintenance treatment at 24 months post-transplant | 282 | 218 | 0.01 | |||
| Cyclosporine | 53 (18.8) | 41 (20.6) | 7 (36.8) | |||
| Tacrolimus | 214 (75.9) | 150 (75.4) | 9 (47.4) | |||
| Without CNI | 15 (5.3) | 8 (4.0) | 3 (15.8) | |||
| Corticosteroids at 3 months | 301 | 226 | 0.23 | |||
| Continued | 255 (84.7) | 190 (91.8) | 16 (84.2) | |||
| Discontinued | 46 (15.3) | 17 (8.2) | 3 (15.8) | |||
| Follow-Up Visits | ||||
| Immunosuppression Maintenance Treatment | ||||
| M3 (N= 299) | M6 (N= 298) | M12 (N= 294) | M24 (N= 286) | |
| Tacrolimus, n (%) | 227 (75.9) | 228 (76.5) | 225 (76.5) | 216 (75.5) |
| Cyclosporine, n (%) | 65 (21.7) | 61 (20.5) | 55 (18.7) | 53 (18.5) |
| MMF, n (%) | 283 (94.6) | 266 (89.2) | 263 (89.4) | 251 (87.8) |
| Steroids, n (%) | 255 (85.3) | 203 (68.1) | 166 (56.5) | 142 (49.7) |
| CNI withdrawal, n (%) | 7 (2.3) | 9 (3.0) | 14 (4.8) | 17 (5.9) |
| Trough levels of tacrolimus, med (IQR) | 8.8 (7.3–10.8) | 8.2 (6.7–9.7) | 7.6 (6.4–9.3) | 7.5 (6.2–8.9) |
| Trough levels of cyclosporine, med (IQR) | 156 (130–190) | 149 (112–171) | 128.5 (96–157) | 93 (65–125) |
| Treatment Medication Non-Adherence Assessed by the Morisky Scale | ||||
| M3 (N = 272) | M6 (N= 263) | M12 (N= 269) | M24 (N= 234) | |
| Positive response to questions of the Morisky scale, n (%) | ||||
| Do you ever forget to take your medicine? | 19 (7.0) | 29 (10.9) | 40 (14.9) | 46 (19.5) |
| Are you careless at times about taking your medicine? | 33 (12.1) | 40 (15.2) | 54 (20.1) | 49 (20.8) |
| When you feel better, do you sometimes stop taking your medicine? | 2 (0.7) | 0 (0.0) | 2 (0.7) | 1 (0.4) |
| Sometimes if you feel worse when you take your medicine, do you stop taking it? | 6 (2.2) | 2 (0.7) | 3 (1.1) | 2 (0.8) |
| Non-adherent patients †, n (%) | 48 (17.6) | 62 (23.6) | 84 (31.2) | 81 (34.6) |
| Always non-adherent patients ‡, n (%) | 12 (4.0) | |||
| Score of the Morisky scale, n (%) | ||||
| 4 | 224 (82.4) | 201 (76.4) | 185 (68.8) | 153 (65.4) |
| 3 | 41 (15.1) | 54 (20.5) | 72 (26.8) | 66 (28.2) |
| ≤2 | 7 (2.6) | 8 (3.1) | 12 (4.4) | 15 (6.4) |
| Global score *, n (%) | ||||
| 16 | 96 (48.7) | |||
| 15 | 42 (21.3) | |||
| 13–14 | 42 (21.3) | |||
| ≤12 | 17 (8.6) | |||
| 3 Months (N ‡ = 200) | 6 Months (N ‡ = 193) | 12 Months (N ‡ = 198) | 24 Months (N ‡ = 174) | |||||||||
|---|---|---|---|---|---|---|---|---|---|---|---|---|
| OR * | CI 95% | p-Value | OR * | CI 95% | p-Value | OR * | CI 95% | p-Value | OR * | CI 95% | p-Value | |
| Non adherent vs. adherent† | 1.16 | 0.31–4.45 | 0.73 | 1.40 | 0.43–4.56 | 0.44 | 0.48 | 0.14–1.66 | 0.31 | 2.01 | 0.59–6.83 | 0.19 |
| Maintenance treatment | 0.005 | 0.04 | 0.009 | 0.005 | ||||||||
| Tacrolimus | 1 | 1 | 1 | 1 | ||||||||
| Cyclosporine | 5.2 | 1.65–16.4 | 2.49 | 0.76–8.16 | 4.67 | 1.48–14.76 | 5.17 | 1.34–20.01 | ||||
| Without anticalcineurin | 15.3 | 0.84–279.6 | 15.5 | 1.46–165.2 | 7.39 | 1.08–50.47 | 11.8 | 1.34–69.6 | ||||
| Recipient age (per year) | 0.97 | 0.93–1.01 | 0.06 | 0.96 | 0.92–0.99 | 0.02 | 0.96 | 0.92–0.99 | 0.03 | 0.97 | 0.93–1.02 | 0.15 |
| HLA mismatch (per number of mismatch) | 1.04 | 0.66–1.64 | 0.75 | 1.06 | 0.67–1.67 | 0.62 | 1.02 | 0.66–1.58 | 0.91 | 0.94 | 0.59–1.50 | 0.96 |
| Sensitized patients vs. non-sensitized patients | 0.21 | 0.03–1.72 | 0.91 | 0.21 | 0.03–1.74 | 0.95 | 0.18 | 0.02–1.42 | 0.78 | 0.21 | 0.03–1.74 | 0.81 |
| 3 Months (N ‡ = 190) | 6 Months (N ‡ = 183) | 12 Months (N ‡ = 191) | 24 Months (N ‡ = 169) | |||||||||
|---|---|---|---|---|---|---|---|---|---|---|---|---|
| HR * | CI 95% | p-Value | HR * | CI 95% | p-Value | HR * | CI 95% | p-Value | HR * | CI 95% | p-Value | |
| Non adherent vs. adherent † | 0.89 | 0.40–2.00 | 0.84 | 1.08 | 0.53–2.23 | 0.73 | 0.97 | 0.50–1.88 | 0.46 | 0.93 | 0.49–1.79 | 0.92 |
| Recipient age (per year) | 1.01 | 0.98–1.05 | 0.78 | 1.01 | 0.97–1.04 | 0.63 | 1.01 | 0.97–1.04 | 0.75 | 1.00 | 0.97–1.04 | 0.72 |
| Donor age | 0.68 | 0.91 | 0.71 | 0.24 | ||||||||
| <38 years | 1 | 1 | 1 | 1 | ||||||||
| 39–50 years | 1.34 | 0.51–3.53 | 1.21 | 0.44–3.35 | 1.10 | 0.42–2.93 | 1.92 | 0.63–5.85 | ||||
| 51–59 years | 1.80 | 0.67–4.83 | 1.54 | 0.54–4.40 | 1.49 | 0.54–4.10 | 2.73 | 0.84–8.85 | ||||
| ≥60 years | 2.01 | 0.62–6.60 | 1.04 | 0.28–3.87 | 1.27 | 0.37–4.38 | 3.67 | 0.97–13.9 | ||||
| Maintenance treatment | 0.37 | 0.27 | 0.97 | 0.15 | ||||||||
| Tacrolimus | 1 | 1 | 1 | 1 | ||||||||
| Cyclosporine | 0.90 | 0.46–1.78 | 1.30 | 0.69–2.45 | 0.86 | 0.45–1.65 | 0.76 | 0.37–1.56 | ||||
| Any anticalcineurin | 0.46 | 0.06–3.56 | 0.26 | 0.03–2.02 | 0.71 | 0.21–2.38 | 1.20 | 0.45–3.23 | ||||
| Occurrence of acute rejection (time-dependent variable) | 2.64 | 1.34–5.16 | 0.0005 | 2.65 | 1.43–4.90 | 0.002 | 1.92 | 1.06–3.49 | 0.03 | 1.90 | 0.98–3.67 | 0.055 |
| Occurrence of dnDSA between 2 and 3 years post-transplant | 2.42 | 1.02–5.75 | 0.03 | 3.51 | 1.49–8.25 | 0.002 | 2.30 | 1.03–5.12 | 0.04 | 1.84 | 0.74–5.23 | 0.19 |
Publisher’s Note: MDPI stays neutral with regard to jurisdictional claims in published maps and institutional affiliations. |
© 2021 by the authors. Licensee MDPI, Basel, Switzerland. This article is an open access article distributed under the terms and conditions of the Creative Commons Attribution (CC BY) license (https://creativecommons.org/licenses/by/4.0/).
Share and Cite
Prezelin-Reydit, M.; Dubois, V.; Caillard, S.; Parissiadis, A.; Etienne, I.; Hau, F.; Albano, L.; Pourtein, M.; Barrou, B.; Taupin, J.-L.; et al. Prospective Measures of Adherence by Questionnaire, Low Immunosuppression and Graft Outcome in Kidney Transplantation. J. Clin. Med. 2021, 10, 2032. https://doi.org/10.3390/jcm10092032
Prezelin-Reydit M, Dubois V, Caillard S, Parissiadis A, Etienne I, Hau F, Albano L, Pourtein M, Barrou B, Taupin J-L, et al. Prospective Measures of Adherence by Questionnaire, Low Immunosuppression and Graft Outcome in Kidney Transplantation. Journal of Clinical Medicine. 2021; 10(9):2032. https://doi.org/10.3390/jcm10092032
Chicago/Turabian StylePrezelin-Reydit, Mathilde, Valérie Dubois, Sophie Caillard, Anne Parissiadis, Isabelle Etienne, Françoise Hau, Laetitia Albano, Monique Pourtein, Benoît Barrou, Jean-Luc Taupin, and et al. 2021. "Prospective Measures of Adherence by Questionnaire, Low Immunosuppression and Graft Outcome in Kidney Transplantation" Journal of Clinical Medicine 10, no. 9: 2032. https://doi.org/10.3390/jcm10092032
APA StylePrezelin-Reydit, M., Dubois, V., Caillard, S., Parissiadis, A., Etienne, I., Hau, F., Albano, L., Pourtein, M., Barrou, B., Taupin, J.-L., Mariat, C., Absi, L., Vigneau, C., Renac, V., Guidicelli, G., Visentin, J., Merville, P., Thaunat, O., & Couzi, L. (2021). Prospective Measures of Adherence by Questionnaire, Low Immunosuppression and Graft Outcome in Kidney Transplantation. Journal of Clinical Medicine, 10(9), 2032. https://doi.org/10.3390/jcm10092032

