Incisor Occlusion Affects Profile Shape Variation in Middle-Aged Adults
Abstract
1. Introduction
1.1. Background
1.2. Aim and Hypotheses
2. Materials and Methods
2.1. Study Sample
2.2. Shape Analysis
2.3. Statistical Analyses
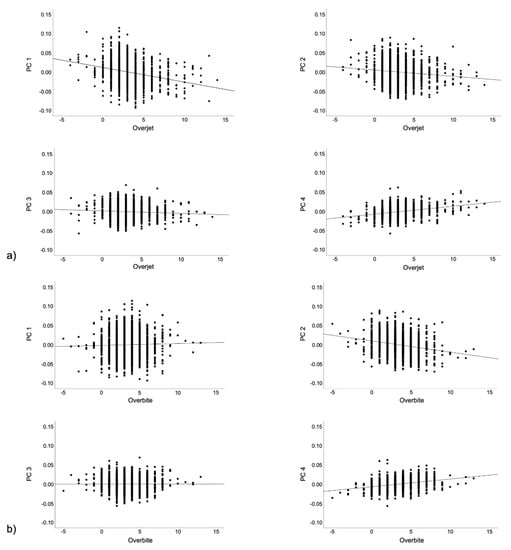
3. Results
3.1. Error of the Method
3.2. Shape Variation
3.3. Profile Shape and Anterior Occlusion
4. Discussion
5. Conclusions
Supplementary Materials
Author Contributions
Funding
Institutional Review Board Statement
Informed Consent Statement
Data Availability Statement
Acknowledgments
Conflicts of Interest
References
- Little, A.C.; Jones, B.C.; DeBruine, L.M. Facial attractiveness: Evolutionary based research. Philos. Trans. R. Soc. Lond. B Biol. Sci. 2011, 366, 1638–1659. [Google Scholar] [CrossRef]
- Grammer, K.; Fink, B.; Moller, A.P.; Thornhill, R. Darwinian aesthetics: Sexual selection and the biology of beauty. Biol. Rev. 2003, 78, 385–407. [Google Scholar] [CrossRef]
- Gangestad, S.W.; Scheyd, G.J.; Scheyd, G.J. The Evolution of Human Physical Attractiveness. Annu. Rev. Anthropol. 2005, 34, 523–548. [Google Scholar] [CrossRef]
- Claes, P.; Roosenboom, J.; White, J.D.; Swigut, T.; Sero, D.; Li, J.; Lee, M.K.; Zaidi, A.; Mattern, B.C.; Liebowitz, C.; et al. Genome-wide mapping of global-to-local genetic effects on human facial shape. Nat. Genet. 2018, 1–16. [Google Scholar] [CrossRef]
- Probst, F.; Bobst, C.; Lobmaier, J.S. Testosterone-to-oestradiol ratio is associated with female facial attractiveness. Q. J. Ex. Psychol. 2015, 69, 89–99. [Google Scholar] [CrossRef] [PubMed]
- Penton-Voak, I.S.; Chen, J.Y. High salivary testosterone is linked to masculine male facial appearance in humans. Evol. Hum. Behav. 2004, 25, 229–241. [Google Scholar] [CrossRef]
- Windhager, S.; Mitteroecker, P.; Rupi, I.; Lauc, T.; Polašek, O.; Schaefer, K. Facial aging trajectories: A common shape pattern in male and female faces is disrupted after menopause. Am. J. Phys. Anthropol. 2019, 172, 1–11. [Google Scholar] [CrossRef] [PubMed]
- Shaw, R.B.; Kahn, D.M. Aging of the Mandible and Its Aesthetic Implications. Plast. Reconstr. Surg. 2010, 125, 332–342. [Google Scholar] [CrossRef]
- Halazonetis, D.J. Morphometric correlation between facial soft-tissue profile shape and skeletal pattern in children and adolescents. Am. J. Orthod. Dentofacial Orthop. 2007, 132, 450–457. [Google Scholar] [CrossRef]
- Konstantonis, D.; Vasileiou, D.; Papageorgiou, S.N.; Eliades, T. Soft tissue changes following extraction vs. nonextraction orthodontic fixed appliance treatment: A systematic review and meta-analysis. Eur. J. Oral Sci. 2018, 126, 167–179. [Google Scholar] [CrossRef]
- Alkadhi, R.M.; Finkelman, M.D.; Trotman, C.A.; Kanavakis, G. The role of lip thickness in upper lip response to sagittal change of incisor position. Orthod. Craniofac. Res. 2019, 22, 53–57. [Google Scholar] [CrossRef] [PubMed]
- Rains, M.D.; Nanda, R. Soft-tissue changes associated with maxillary incisor retraction. Am. J. Orthod. 1982, 81, 481–488. [Google Scholar] [CrossRef]
- Talass, M.F.; Tollaae, L.; Baker, R.C. Soft-tissue profile changes resulting from retraction of maxillary incisors. Am. J. Orthod. Dentofacial Orthop. 1987, 91, 385–394. [Google Scholar] [CrossRef]
- Kuhn, M.; Markic, G.; Doulis, I.; Göllner, P.; Patcas, R.; Hänggi, M.P. Effect of different incisor movements on the soft tissue profile measured in reference to a rough-surfaced palatal implant. Am. J. Orthod. Dentofacial Orthop. 2016, 149, 349–357. [Google Scholar] [CrossRef]
- Yogosawa, F. Predicting soft tissue profile changes concurrent with orthodontic treatment. Angle Orthod. 1990, 60, 199–206. [Google Scholar]
- Kanavakis, G.; Krooks, L.; Lähdesmäki, R.; Pirttiniemi, P. Influence of overjet and overbite on soft tissue profile in mature adults: A cross-sectional population study. Am. J. Orthod. Dentofacial Orthop. 2019, 155, 57–63.e3. [Google Scholar] [CrossRef]
- Adams, D.C.; Rohlf, J.F.; Slice, D.E. A field comes of age: Geometric morphometrics in the 21st century. Hystrix Ital. J. Mammal. 2013, 24, 1–8. [Google Scholar]
- University of Oulu: Northern Finland Birth Cohort 1966. University of Oulu. Available online: http://urn.fi/urn:nbn:fi:att:bc1e5408-980e-4a62-b899-43bec3755243 (accessed on 14 February 2021).
- Krooks, L.; Pirttiniemi, P.; Kanavakis, G.; Lähdesmäki, R. Prevalence of malocclusion traits and orthodontic treatment in a Finnish adult population. Acta Odontol. Scan. 2016, 74, 362–367. [Google Scholar] [CrossRef]
- Kanavakis, G.; Silvola, A.-S.; Halazonetis, D.; Lähdesmäki, R.; Pirttiniemi, P. Facial shape variation in middle-aged northern Europeans. Eur. J. Orthod. 2021. [Google Scholar] [CrossRef]
- Bookstein, F.L. Landmark methods for forms without landmarks: Morphometrics of group differences in outline shape. Med. Image Anal. 1997, 1, 225–243. [Google Scholar] [CrossRef]
- Rohlf, F.J.; Slice, D. Extensions of the Procrustes Method for the Optimal Superimposition of Landmarks. Syst. Zool. 1990, 39, 40. [Google Scholar] [CrossRef]
- Behrents, R. Growth in the Aging Craniofacial Skelton; Craniofacial Growth Series; Center of Human Growth and Development University of Michigan: An Arbor, MI, USA, 1985. [Google Scholar]
- Peres-Neto, P.; Jackson, D.; Somers, K. How many principal components? Stopping rules for determining the number of non-trivial axes revisited. Comput. Stat. Data Anal. 2005, 49, 974–997. [Google Scholar] [CrossRef]
- Robertson, J.M.; Kingsley, B.E.; Ford, G.C. Sexually Dimorphic Faciometrics in Humans from Early Adulthood to Late Middle Age: Dynamic, Declining, and Differentiated. Evol. Psychol. 2017, 15. [Google Scholar] [CrossRef] [PubMed]
- Cozza, P.; Baccetti, T.; Franchi, L.; De Toffol, L.; McNamara, J.A. Mandibular changes produced by functional appliances in Class II malocclusion: A systematic review. Am. J. Orthod. Dentofacial Orthop. 2006, 129, 599.e1–599.e12. [Google Scholar] [CrossRef] [PubMed]
- Moreno Uribe, L.M.; Miller, S.F. Phenotypic diversity in white adults with moderate to severe Class II malocclusion. Am. J. Orthod. Dentofacial Orthop. 2014, 145, 305–316. [Google Scholar] [CrossRef][Green Version]
- Moreno Uribe, L.M.; Vela, K.C.; Kummet, C.; Dawson, D.V.; Southard, T.E. Phenotypic diversity in white adults with moderate to severe Class III malocclusion. Am. J. Orthod. Dentofacial Orthop. 2013, 144, 32–42. [Google Scholar] [CrossRef]
- Bittner, C.; Pancherz, H. Facial morphology and malocclusions. Am. J. Orthod. Dentofacial Orthop. 1990, 97, 308–315. [Google Scholar] [CrossRef]
- Arnett, G.W.; Bergman, R.T. Facial keys to orthodontic diagnosis and treatment planning—Part II. Am. J. Orthod. Dentofacial Orthop. 2012, 103, 395–411. [Google Scholar] [CrossRef]
- Staudt, C.B.; Kiliaridis, S. A nonradiographic approach to detect Class III skeletal discrepancies. Am. J. Orthod. Dentofacial Orthop. 2009, 136, 52–58. [Google Scholar] [CrossRef]



| N | Predictor | η2 | p-Value | |
|---|---|---|---|---|
| Entire Sample | 1754 | Overjet | 0.213 | <0.001 |
| Overbite | 0.138 | |||
| Males | 799 | Overjet | 0.226 | |
| Overbite | 0.140 | |||
| Females | 955 | Overjet | 0.255 | |
| Overbite | 0.135 |
| Predictors | N | Predicted Group | Predictive Percentage | ||||
|---|---|---|---|---|---|---|---|
| Negative | Normal | Excessive | |||||
| PC1—PC9 | Overjet groups | Negative (≤0 mm) | 64 | 3 | 61 | 0 | 4.7% |
| Normal (1–5 mm) | 1530 | 4 | 1509 | 17 | 98.6% | ||
| Excessive (>5 mm) | 160 | 0 | 144 | 16 | 10.0% | ||
| Overbite groups | Negative (≤0 mm) | 92 | 1 | 91 | 0 | 1.1% | |
| Normal (1–5 mm) | 1454 | 2 | 1440 | 12 | 99.0% | ||
| Excessive (>5 mm) | 208 | 0 | 193 | 15 | 7.2% | ||
Publisher’s Note: MDPI stays neutral with regard to jurisdictional claims in published maps and institutional affiliations. |
© 2021 by the authors. Licensee MDPI, Basel, Switzerland. This article is an open access article distributed under the terms and conditions of the Creative Commons Attribution (CC BY) license (http://creativecommons.org/licenses/by/4.0/).
Share and Cite
Kanavakis, G.; Silvola, A.-S.; Halazonetis, D.; Lähdesmäki, R.; Pirttiniemi, P. Incisor Occlusion Affects Profile Shape Variation in Middle-Aged Adults. J. Clin. Med. 2021, 10, 800. https://doi.org/10.3390/jcm10040800
Kanavakis G, Silvola A-S, Halazonetis D, Lähdesmäki R, Pirttiniemi P. Incisor Occlusion Affects Profile Shape Variation in Middle-Aged Adults. Journal of Clinical Medicine. 2021; 10(4):800. https://doi.org/10.3390/jcm10040800
Chicago/Turabian StyleKanavakis, Georgios, Anna-Sofia Silvola, Demetrios Halazonetis, Raija Lähdesmäki, and Pertti Pirttiniemi. 2021. "Incisor Occlusion Affects Profile Shape Variation in Middle-Aged Adults" Journal of Clinical Medicine 10, no. 4: 800. https://doi.org/10.3390/jcm10040800
APA StyleKanavakis, G., Silvola, A.-S., Halazonetis, D., Lähdesmäki, R., & Pirttiniemi, P. (2021). Incisor Occlusion Affects Profile Shape Variation in Middle-Aged Adults. Journal of Clinical Medicine, 10(4), 800. https://doi.org/10.3390/jcm10040800

