Limiting the Use of Oral Glucose Tolerance Tests to Screen for Hyperglycemia in Pregnancy during Pandemics
Abstract
1. Introduction
2. Materials and Methods
2.1. Data Collection
2.2. Screening for Hyperglycemia in Pregnancy
2.3. Selection Criteria for Our Study
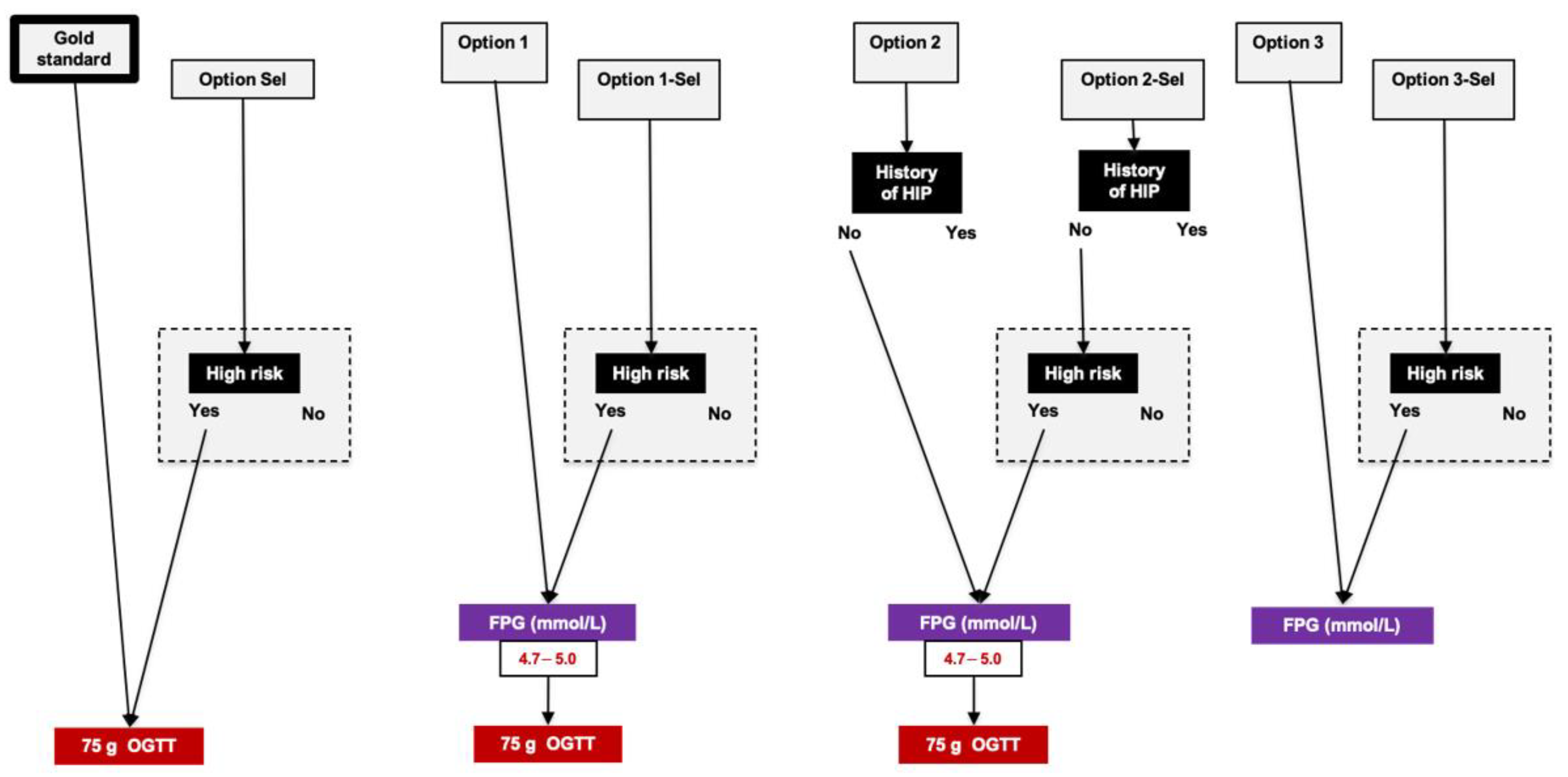
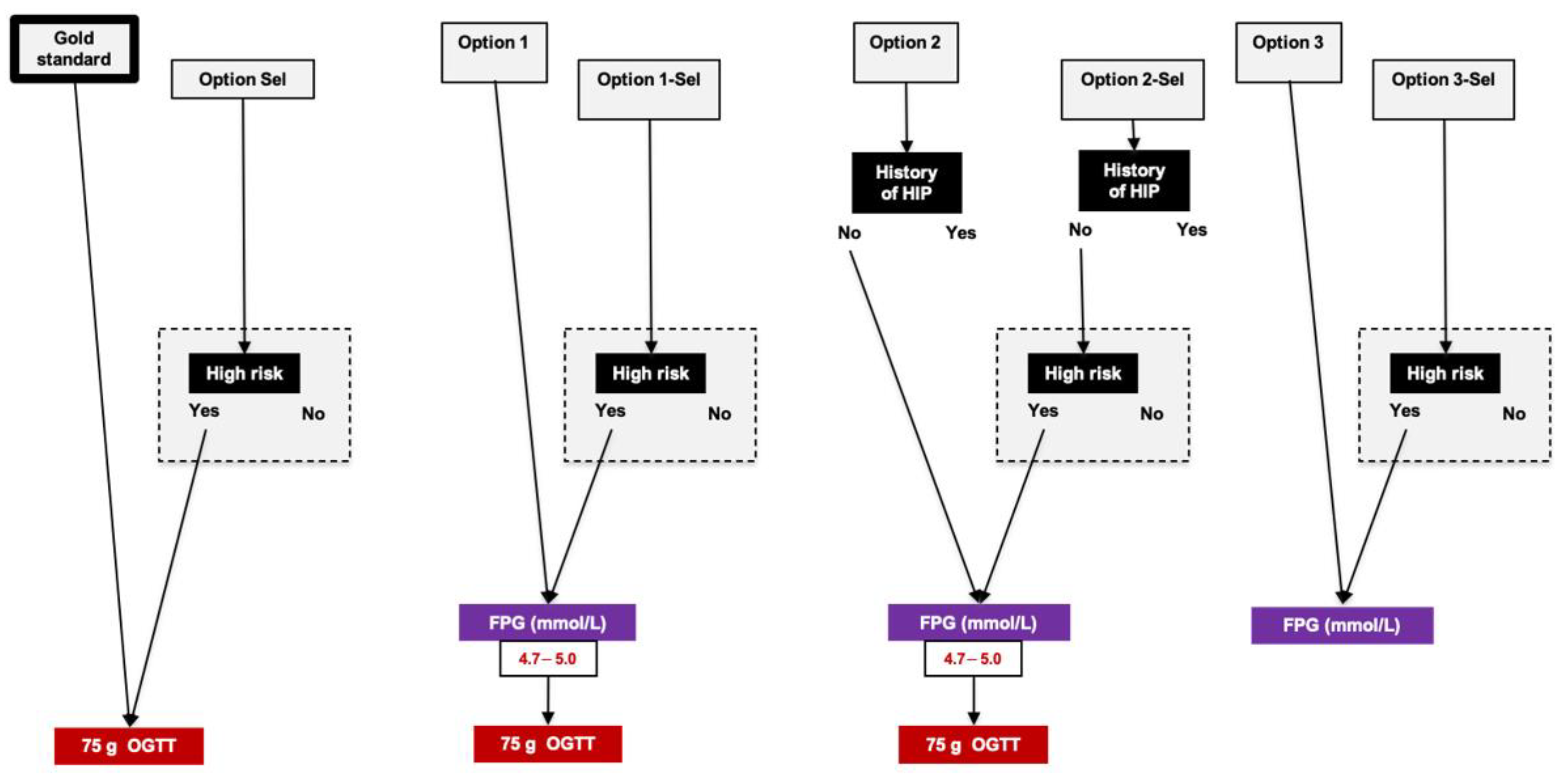
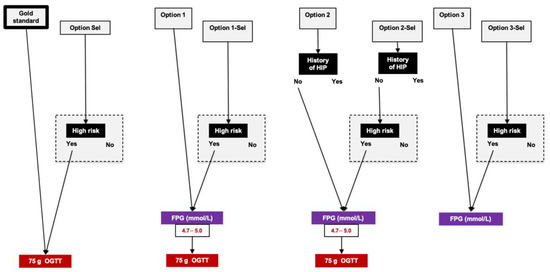
2.4. Description of Tested Algorithms
- OGTTs would be performed only in women with risk factor for HIP, i.e., applying selective screening (Option Sel);
- OGTTs would be performed in women with FPG 4.7–5.0 mmol/L between 22 and 30 WG, applying universal (Option 1) or selective screening (Option 1-Sel) [11];
- OGTTs would be performed in women without history of HIP (those with previous HIP are considered to have GDM) and with FPG 4.7–5.0 mmol/L between 22 and 30 WG, applying universal (Option 2) or selective screening (Option 2-Sel) [11];
- FPG alone would be measured, applying universal (Option 3) or selective screening (Option 3-Sel) [12].
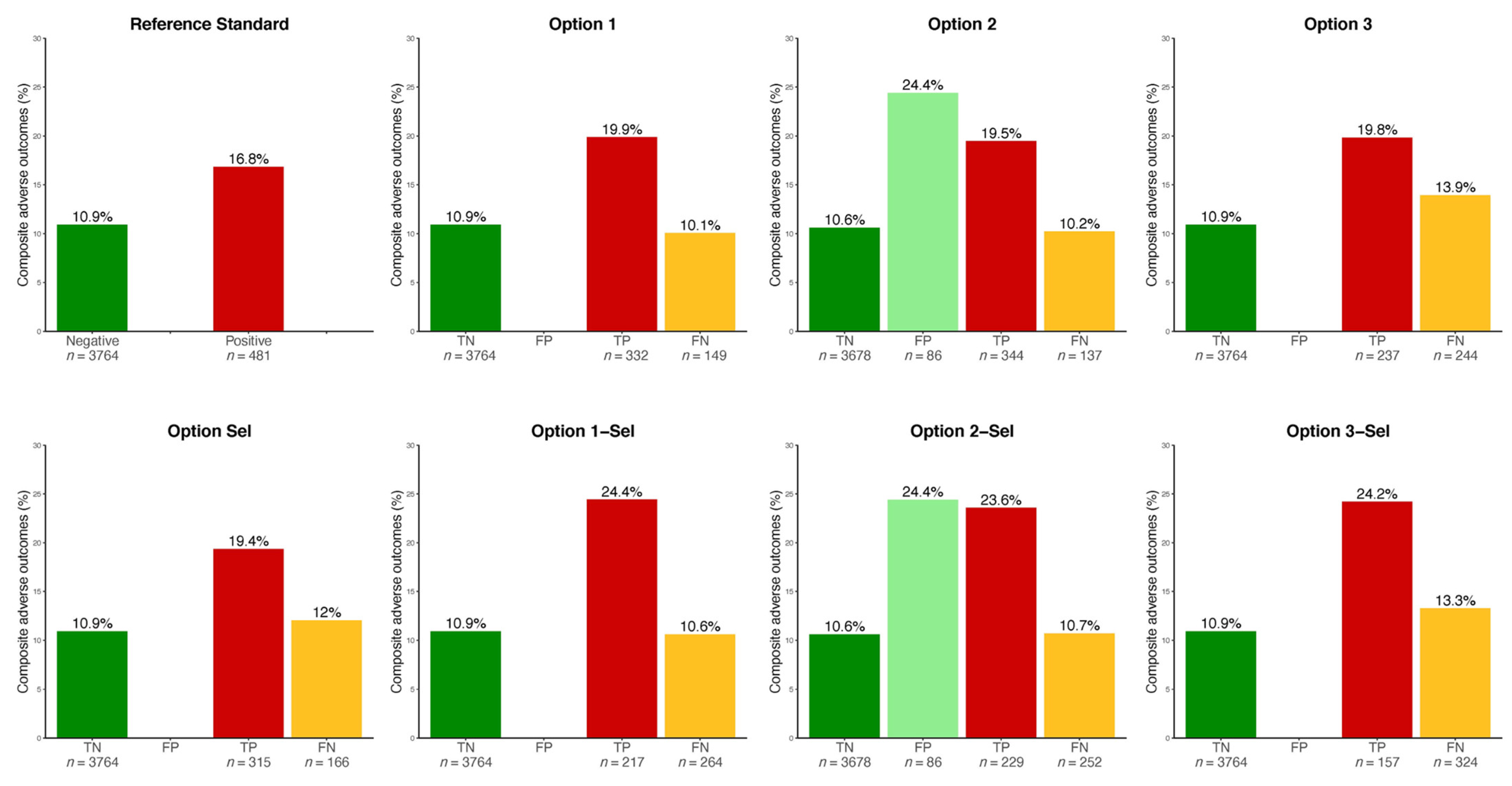
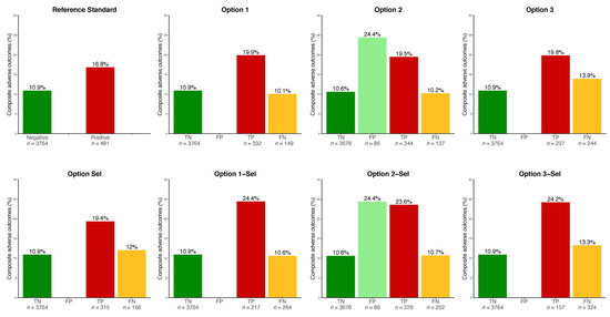
- True negative: women who have no HIP (IADPSG/WHO criteria, universal screening) and would be correctly diagnosed as having no HIP with the tested proposal;
- False positive: women who have no HIP (IADPSG/WHO criteria, universal screening) but would be diagnosed as having HIP with the tested proposal;
- True positive: women who have HIP (IADPSG/WHO criteria, universal screening) and would be correctly diagnosed as having HIP with the tested proposal;
- False negative: women who have HIP (IADPSG/WHO criteria, universal screening) but would be misdiagnosed with the tested proposal.
2.5. Adverse Outcomes
2.6. Statistics
3. Results
3.1. Population Characteristics
3.2. Limiting the Percentage of Women Who Undergo OGTTs
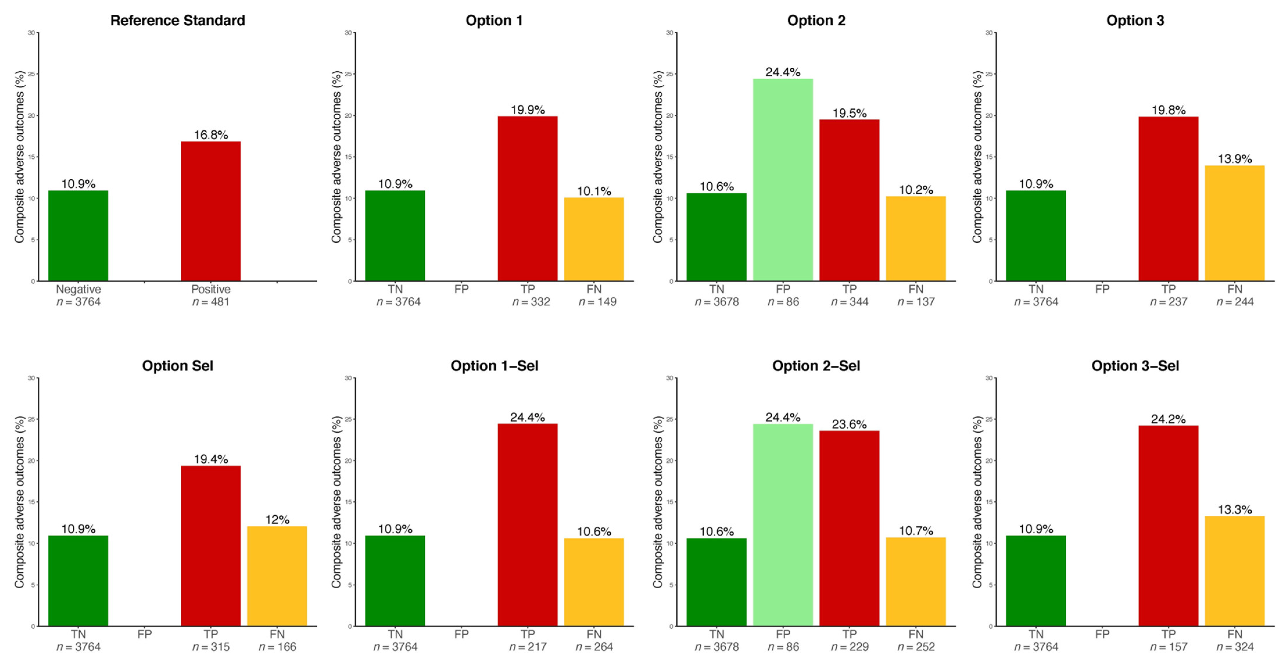
3.3. Performance of Each Option to Diagnose HIP Cases
3.4. Characteristics of True Negative, False Positive, True Positive of False Negative Cases of HIP, and Their Prognosis
3.5. Prognosis Associated with True Negative, False Positive, True Positive and False Negative Cases of HIP
4. Discussion
5. Conclusions
Supplementary Materials
Author Contributions
Funding
Institutional Review Board Statement
Informed Consent Statement
Data Availability Statement
Acknowledgments
Conflicts of Interest
Abbreviations
References
- International Association of Diabetes and Pregnancy Study Groups Consensus Panel; Metzger, B.E.; Gabbe, S.G.; Persson, B.; Buchanan, T.A.; Catalano, P.A.; Damm, P.; Dyer, A.R.; de Leiva, A.; Hod, M.; et al. International Association of Diabetes and Pregnancy Study Groups Recommendations on the Diagnosis and Classification of Hyperglycemia in Pregnancy. Diabetes Care 2010, 33, 676–682. [Google Scholar] [CrossRef] [PubMed]
- World Health Organization. Diagnostic Criteria and Classification of Hyperglycaemia First Detected in Pregnancy: A World Health Organization Guideline. Diabetes Res. Clin. Pract. 2014, 103, 341–363. [Google Scholar] [CrossRef] [PubMed]
- Vambergue, A. Expert Consensus on Gestational Diabetes Mellitus. Summary of Expert Consensus. Diabetes Metab. 2010, 36, 695–699. [Google Scholar] [CrossRef] [PubMed]
- Benhalima, K.; Mathieu, C.; Van Assche, A.; Damm, P.; Devlieger, R.; Mahmood, T.; Dunne, F. Survey by the European Board and College of Obstetrics and Gynaecology on Screening for Gestational Diabetes in Europe. Eur. J. Obstet. Gynecol. Reprod. Biol. 2016, 201, 197–202. [Google Scholar] [CrossRef]
- Hod, M.; Kapur, A.; Sacks, D.A.; Hadar, E.; Agarwal, M.; Di Renzo, G.C.; Cabero Roura, L.; McIntyre, H.D.; Morris, J.L.; Divakar, H. The International Federation of Gynecology and Obstetrics (FIGO) Initiative on Gestational Diabetes Mellitus: A Pragmatic Guide for Diagnosis, Management, and Care. Int. J. Gynaecol. Obstet. Off. Organ Int. Fed. Gynaecol. Obstet. 2015, 131 (Suppl. 3), S173–S211. [Google Scholar] [CrossRef]
- American Diabetes Association. 2. Classification and Diagnosis of Diabetes: Standards of Medical Care in Diabetes—2020. Diabetes Care 2020, 43, S14–S31. [Google Scholar] [CrossRef]
- Stacey, T.; Tennant, P.; McCowan, L.; Mitchell, E.A.; Budd, J.; Li, M.; Thompson, J.; Martin, B.; Roberts, D.; Heazell, A. Gestational Diabetes and the Risk of Late Stillbirth: A Case-Control Study from England, UK. BJOG Int. J. Obstet. Gynaecol. 2019, 126, 973–982. [Google Scholar] [CrossRef]
- Landon, M.B.; Spong, C.Y.; Thom, E.; Carpenter, M.W.; Ramin, S.M.; Casey, B.; Wapner, R.J.; Varner, M.W.; Rouse, D.J.; Thorp, J.M.; et al. A Multicenter, Randomized Trial of Treatment for Mild Gestational Diabetes. N. Engl. J. Med. 2009, 361, 1339–1348. [Google Scholar] [CrossRef]
- Crowther, C.A.; Hiller, J.E.; Moss, J.R.; McPhee, A.J.; Jeffries, W.S.; Robinson, J.S.; Australian Carbohydrate Intolerance Study in Pregnant Women (ACHOIS) Trial Group. Effect of Treatment of Gestational Diabetes Mellitus on Pregnancy Outcomes. N. Engl. J. Med. 2005, 352, 2477–2486. [Google Scholar] [CrossRef]
- McIntyre, H.D.; Moses, R.G. The Diagnosis and Management of Gestational Diabetes Mellitus in the Context of the COVID-19 Pandemic. Diabetes Care 2020, dci200026. [Google Scholar] [CrossRef]
- Available online: https://www.Adips.org/Documents/ADIPSADSCOVID-19GDMDiagnosisUpdated250420Website.Pdf (accessed on 26 April 2020).
- RANZCOG—COVID-19 and Gestational Diabetes Screening, Diagnosis and Management. Available online: https://ranzcog.edu.au/news/covid-19-and-gestational-diabetes-screening,-diagn (accessed on 1 May 2020).
- Simmons, D.; Rudland, V.L.; Wong, V.; Flack, J.; Mackie, A.; Ross, G.P.; Coat, S.; Dalal, R.; Hague, B.M.; Cheung, N.W. Options for Screening for Gestational Diabetes Mellitus during the SARS-CoV-2 Pandemic. Aust. N. Z. J. Obstet. Gynaecol. 2020. [Google Scholar] [CrossRef] [PubMed]
- Cosson, E.; Vicaut, E.; Sandre-Banon, D.; Gary, F.; Pharisien, I.; Portal, J.-J.; Banu, I.; Bianchi, L.; Cussac-Pillegand, C.; Dina, R.; et al. Early Screening for Gestational Diabetes Mellitus Is Not Associated with Improved Pregnancy Outcomes: An Observational Study Including 9795 Women. Diabetes Metab. 2019, 45, 465–472. [Google Scholar] [CrossRef] [PubMed]
- Cosson, E.; Vicaut, E.; Sandre-Banon, D.; Gary, F.; Pharisien, I.; Portal, J.-J.; Baudry, C.; Cussac-Pillegand, C.; Costeniuc, D.; Valensi, P.; et al. Performance of a Selective Screening Strategy for Diagnosis of Hyperglycaemia in Pregnancy as Defined by IADPSG/WHO Criteria. Diabetes Metab. 2019. [Google Scholar] [CrossRef] [PubMed]
- Cosson, E.; Cussac-Pillegand, C.; Benbara, A.; Pharisien, I.; Jaber, Y.; Banu, I.; Nguyen, M.T.; Valensi, P.; Carbillon, L. The Diagnostic and Prognostic Performance of a Selective Screening Strategy for Gestational Diabetes Mellitus According to Ethnicity in Europe. J. Clin. Endocrinol. Metab. 2014, 99, 996–1005. [Google Scholar] [CrossRef] [PubMed]
- The INSPIRED Research Group; Egan, A.M.; Bogdanet, D.; Griffin, T.P.; Kgosidialwa, O.; Cervar-Zivkovic, M.; Dempsey, E.; Allotey, J.; Alvarado, F.; Clarson, C.; et al. A Core Outcome Set for Studies of Gestational Diabetes Mellitus Prevention and Treatment. Diabetologia 2020, 63, 1120–1127. [Google Scholar] [CrossRef]
- Miailhe, G.; Kayem, G.; Girard, G.; Legardeur, H.; Mandelbrot, L. Selective Rather than Universal Screening for Gestational Diabetes Mellitus? Eur. J. Obstet. Gynecol. Reprod. Biol. 2015, 191, 95–100. [Google Scholar] [CrossRef]
- Avalos, G.E.; Owens, L.A.; Dunne, F.; ATLANTIC DIP Collaborators. Applying Current Screening Tools for Gestational Diabetes Mellitus to a European Population: Is It Time for Change? Diabetes Care 2013, 36, 3040–3044. [Google Scholar] [CrossRef]
- Corrado, F.; Pintaudi, B.; Di Vieste, G.; Interdonato, M.L.; Magliarditi, M.; Santamaria, A.; D’Anna, R.; Di Benedetto, A. Italian Risk Factor-Based Screening for Gestational Diabetes. J. Matern.-Fetal Neonatal Med. 2014, 27, 1445–1448. [Google Scholar] [CrossRef]
- Pintaudi, B.; Di Vieste, G.; Corrado, F.; Lucisano, G.; Pellegrini, F.; Giunta, L.; Nicolucci, A.; D’Anna, R.; Di Benedetto, A. Improvement of Selective Screening Strategy for Gestational Diabetes through a More Accurate Definition of High-Risk Groups. Eur. J. Endocrinol. 2014, 170, 87–93. [Google Scholar] [CrossRef]
- Vambergue, A.; Jacqueminet, S.; Lamotte, M.-F.; Lamiche-Lorenzini, F.; Brunet, C.; Deruelle, P.; Vayssière, C.; Cosson, E. Three Alternative Ways to Screen for Hyperglycaemia in Pregnancy during the COVID-19 Pandemic. Diabetes Metab. 2020. [Google Scholar] [CrossRef]
- Ye, M.; Liu, Y.; Cao, X.; Yao, F.; Liu, B.; Li, Y.; Wang, Z.; Xiao, H. The Utility of HbA1c for Screening Gestational Diabetes Mellitus and Its Relationship with Adverse Pregnancy Outcomes. Diabetes Res. Clin. Pract. 2016, 114, 43–49. [Google Scholar] [CrossRef] [PubMed]
- Pastakia, S.D.; Njuguna, B.; Onyango, B.A.; Washington, S.; Christoffersen-Deb, A.; Kosgei, W.K.; Saravanan, P. Prevalence of Gestational Diabetes Mellitus Based on Various Screening Strategies in Western Kenya: A Prospective Comparison of Point of Care Diagnostic Methods. BMC Pregnancy Childbirth 2017, 17, 226. [Google Scholar] [CrossRef] [PubMed]
- Renz, P.B.; Cavagnolli, G.; Weinert, L.S.; Silveiro, S.P.; Camargo, J.L. HbA1c Test as a Tool in the Diagnosis of Gestational Diabetes Mellitus. PLoS ONE 2015, 10, e0135989. [Google Scholar] [CrossRef] [PubMed]
- Rajput, R.; Rajput, M.; Nanda, S. Utility of HbA1c for Diagnosis of Gestational Diabetes Mellitus. Diabetes Res. Clin. Pract. 2012, 98, 104–107. [Google Scholar] [CrossRef] [PubMed]
- Soumya, S.; Rohilla, M.; Chopra, S.; Dutta, S.; Bhansali, A.; Parthan, G.; Dutta, P. HbA1c: A Useful Screening Test for Gestational Diabetes Mellitus. Diabetes Technol. Ther. 2015, 17, 899–904. [Google Scholar] [CrossRef]
- Odsæter, I.H.; Åsberg, A.; Vanky, E.; Mørkved, S.; Stafne, S.N.; Salvesen, K.Å.; Carlsen, S.M. Hemoglobin A1c as Screening for Gestational Diabetes Mellitus in Nordic Caucasian Women. Diabetol. Metab. Syndr. 2016, 8. [Google Scholar] [CrossRef]
- Nachtergaele, C.; Vicaut, E.; Pinto, S.; Tatulashvili, S.; Bihan, H.; Sal, M.; Berkane, N.; Allard, L.; Baudry, C.; Carbillon, L.; et al. COVID-19 Pandemic: Can Fasting Plasma Glucose and HbA1c Replace the Oral Glucose Tolerance Test to Screen for Hyperglycaemia in Pregnancy? Diabetes Res. Clin. Pract. 2020, 108640. [Google Scholar] [CrossRef]
- Gestational Diabetes Screening During COVID-19 Pandemic. Available online: https://www.sogc.org/en/content/featured-news/Gestational-Diabetes-Screening-During-COVID-19-Pandemic.aspx (accessed on 1 May 2020).
- Gestational Diabetes and COVID-19 • Gestational Diabetes UK; Gestational Diabetes UK: London, UK, 2020.
- van Leeuwen, M.; Opmeer, B.C.; Yilmaz, Y.; Limpens, J.; Serlie, M.J.; Mol, B.W.J. Accuracy of the Random Glucose Test as Screening Test for Gestational Diabetes Mellitus: A Systematic Review. Eur. J. Obstet. Gynecol. Reprod. Biol. 2011, 154, 130–135. [Google Scholar] [CrossRef]
- Agbozo, F.; Abubakari, A.; Narh, C.; Jahn, A. Accuracy of Glycosuria, Random Blood Glucose and Risk Factors as Selective Screening Tools for Gestational Diabetes Mellitus in Comparison with Universal Diagnosing. BMJ Open Diabetes Res. Care 2018, 6, e000493. [Google Scholar] [CrossRef]
- Agarwal, M.M.; Weigl, B.; Hod, M. Gestational Diabetes Screening: The Low-Cost Algorithm. Int. J. Gynaecol. Obstet. 2011, 115 (Suppl. 1), S30–S33. [Google Scholar] [CrossRef]
- Agarwal, M.M.; Dhatt, G.S.; Shah, S.M. Gestational Diabetes Mellitus: Simplifying the International Association of Diabetes and Pregnancy Diagnostic Algorithm Using Fasting Plasma Glucose. Diabetes Care 2010, 33, 2018–2020. [Google Scholar] [CrossRef] [PubMed]
- Rüetschi, J.R.; Jornayvaz, F.R.; Rivest, R.; Huhn, E.A.; Irion, O.; Boulvain, M. Fasting Glycaemia to Simplify Screening for Gestational Diabetes. BJOG Int. J. Obstet. Gynaecol. 2016, 123, 2219–2222. [Google Scholar] [CrossRef] [PubMed]
- van Gemert, T.E.; Moses, R.G.; Pape, A.V.; Morris, G.J. Gestational Diabetes Mellitus Testing in the COVID-19 Pandemic: The Problems with Simplifying the Diagnostic Process. Aust. N. Z. J. Obstet. Gynaecol. 2020. [Google Scholar] [CrossRef] [PubMed]
- Schwartz, N.; Nachum, Z.; Green, M.S. The Prevalence of Gestational Diabetes Mellitus Recurrence--Effect of Ethnicity and Parity: A Metaanalysis. Am. J. Obstet. Gynecol. 2015, 213, 310–317. [Google Scholar] [CrossRef]
- McIntyre, H.D.; Gibbons, K.S.; Ma, R.C.W.; Tam, W.H.; Sacks, D.A.; Lowe, J.; Madsen, L.R.; Catalano, P.M. Testing for Gestational Diabetes during the COVID-19 Pandemic. An Evaluation of Proposed Protocols for the United Kingdom, Canada and Australia. Diabetes Res. Clin. Pract. 2020, 167, 108353. [Google Scholar] [CrossRef]
- Potter, J.M.; Hickman, P.E.; Oakman, C.; Woods, C.; Nolan, C.J. Strict Preanalytical Oral Glucose Tolerance Test Blood Sample Handling Is Essential for Diagnosing Gestational Diabetes Mellitus. Diabetes Care 2020, 43, 1438–1441. [Google Scholar] [CrossRef]


| Total | True Negative Cases | False Positive Cases | True Positive Cases | False Negative Cases | p | |
|---|---|---|---|---|---|---|
| n = 4245 | n = 3678 | n = 86 | n = 344 | n = 137 | ||
| OGTT between 22 and 30 WG | ||||||
| Fasting plasma glucose (mmol/L) | 4.38 (0.45) | 4.30 (0.36) a,b | 4.46 (0.37) d,e | 5.23 (0.47) f | 4.29 (0.26) | <0.001 |
| 1-h plasma glucose (mmol/L) | 6.76 (1.76) | 6.42 (1.46) a,b,c | 7.48 (1.42) d,e | 9.17 (2.02) f | 9.61 (1.24) | <0.001 |
| 2-h plasma glucose (mmol/L) | 5.96 (1.43) | 5.67 (1.10) a,b,c | 6.34 (1.20) d,e | 7.93 (1.93) f | 8.58 (1.34) | <0.001 |
| Gestational age at time of OGTT (WG) | 26.22 (1.89) | 26.21 (1.88) | 26.19 (2.03) | 26.29 (1.91) | 26.40 (1.85) | NS |
| Characteristics | ||||||
| Age (years) | 30.25 (5.32) | 29.93 (5.25) a,b,c | 32.38 (4.74) | 32.42 (5.28) | 32.01 (5.60) | <0.001 |
| Preconception body mass index (kg/m2) | 24.36 (4.48) | 24.15 (4.36) b | 25.31 (4.55) | 26.30 (5.14) f | 24.57 (4.46) | <0.001 |
| Obesity | 493 (11.7) | 388 (10.6) b | 14 (16.7) | 76 (22.2) f | 15 (10.9) | <0.001 |
| Preconception hypertension | 28 (0.7) | 19 (0.5) b | 1 (1.2) | 7 (2.0) | 1 (0.7) | 0.01 |
| Family history of diabetes | 824 (19.4) | 671 (18.2) a,b | 28 (32.6) | 94 (27.3) | 31 (22.6) | <0.001 |
| Employment | 1883 (44.4) | 1649 (44.9) | 28 (32.6) | 148 (43.1) | 58 (42.3) | NS |
| Smoking before pregnancy | 493 (11.6) | 447 (12.2) | 3 (3.5) | 34 (9.9) | 9 (6.6) | 0.012 |
| Parity | 2.03 (1.18) | 2.00 (1.17) | 2.90 (1.05) | 2.28 (1.23) | 1.83 (1.12) | |
| Previous pregnancy(ies) | ||||||
| History of hyperglycemia in pregnancy | <0.001 * | |||||
| First child | 1769 (41.7) | 1589 (43.2) | 0 (0.0) | 108 (31.4) | 72 (52.6) | |
| No | 2324 (54.7) | 2089 (56.8) | 0 (0.0) | 170 (49.4) | 65 (47.4) | |
| Yes | 152 (3.6) | 0 (0.0) a,b | 86 (100.0) d,e | 66 (19.2) f | 0 (0.0) | |
| History of macrosomia | <0.001 * | |||||
| First child | 1769 (41.7) | 1589 (43.2) | 0 (0.0) | 108 (31.4) | 72 (52.6) | |
| No | 2378 (56.0) | 2022 (55.0) | 77 (89.5) | 218 (63.4) | 61 (44.5) | |
| Yes | 98 (2.3) | 67 (1.8) a,b | 9 (10.5) | 18 (5.2) | 4 (2.9) | |
| History of hypertensive disorders | NS * | |||||
| First pregnancy | 1226 (28.9) | 1108 (30.1) | 0 (0.0) | 68 (19.8) | 50 (36.5) | |
| No | 2941 (69.3) | 2504 (68.1) | 84 (97.7) | 268 (77.9) | 85 (62.0) | |
| Yes | 78 (1.8) | 66 (1.8) | 2 (2.3) | 8 (2.3) | 2 (1.5) | |
| History of fetal death | 0.04 * | |||||
| First pregnancy | 1226 (28.9) | 1108 (30.1) | 0 (0.0) | 68 (19.8) | 50 (36.5) | |
| No | 2964 (69.8) | 2528 (68.7) | 84 (97.7) | 266 (77.3) | 86 (62.8) | |
| Yes | 55 (1.3) | 42 (1.1) b | 2 (2.3) | 10 (2.9) | 1 (0.7) | |
| Ethnicity | <0.01 | |||||
| North African | 866 (20.4) | 694 (18.9) | 29 (33.7) | 108 (31.5) | 35 (25.5) | |
| European | 1509 (35.6) | 1353 (36.8) | 16 (18.6) | 93 (27.1) | 47 (34.3) | |
| Sub-Saharan African | 888 (20.9) | 793 (21.6) | 15 (17.4) | 69 (20.1) | 11 (8.0) | |
| Indian-Pakistan-Sri Lankan | 342 (8.1) | 267 (7.3) | 15 (17.4) | 44 (12.8) | 16 (11.7) | |
| Caribbean | 281 (6.6) | 260 (7.1) | 3 (3.5) | 13 (3.8) | 5 (3.6) | |
| Asian | 72 (1.7) | 59 (1.6) | 2 (2.3) | 3 (0.9) | 8 (5.8) | |
| Other | 285 (6.7) | 251 (6.8) | 6 (7.0) | 13 (3.8) | 15 (10.9) | |
| High-risk women | 2050 (48.3) | 1649 (44.8) | 86 (100.0) | 229 (66.6) | 86 (62.8) | |
| Glycemic status (reference standard: IADPSG/WHO criteria) | <0.001 | |||||
| Normal | 3764 (88.7) | 3678 (100.0) | 86 (100.0) | 0 (0.0) | 0 (0.0) | |
| Gestational diabetes mellitus | 459 (10.8) | 0 (0.0) | 0 (0.0) | 326 (94.8) | 133 (97.1) | |
| Diabetes in pregnancy | 22 (0.5) | 0 (0.0) | 0 (0.0) | 18 (5.2) | 4 (2.9) | |
| Events during pregnancy | ||||||
| Composite adverse outcome | 492 (11.6) | 390 (10.6) a,b | 21 (24.4) e | 67 (19.5) | 14 (10.2) | <0.001 |
| Preeclampsia | 71 (1.7) | 59 (1.6) | 1 (1.2) | 6 (1.7) | 5 (3.6) | 0.29 |
| LGA age infant | 400 (9.4) | 318 (8.6) a,b | 20 (23.3) e | 54 (15.7) f | 8 (5.8) | <0.001 |
| Shoulder dystocia | 6 (0.1) | 4 (0.1) | 1 (1.2) | 0 (0.0) | 1 (0.7) | 0.06 |
| Neonatal hypoglycemia | 27 (0.6) | 15 (0.4) b | 0 (0.0) | 11 (3.2) | 1 (0.7) | <0.001 |
| Ceasarean section | 862 (20.3) | 721 (19.6) b | 23 (26.7) | 90 (26.2) | 28 (20.4) | 0.014 |
| Preterm delivery (<37 weeks) | 229 (5.4) | 193 (5.2) | 3 (3.5) | 24 (7.0) | 9 (6.6) | 0.42 |
| Offspring hospitalization | 812 (19.1) | 677 (18.4) | 21 (24.4) | 81 (23.5) | 33 (24.1) | 0.026 |
| Respiratory distress syndrome | 202 (4.8) | 166 (4.5) | 7 (8.1) | 18 (5.2) | 11 (8.0) | 0.11 |
| Intrauterine fetal or neonatal death | 13 (0.3) | 11 (0.3) | 1 (1.2) | 1 (0.3) | 0 (0.0) | 0.39 |
| SGA infant | 417 (9.8) | 366 (10.0) | 2 (2.3) e | 30 (8.7) | 19 (13.9) | 0.04 |
| Insulin therapy during | 172 (4.1) | 0 (0.0) b,c | 0 (0.0) d,e | 140 (40.7) f | 32 (23.4) | <0.001 |
| Number of OGTTs | Sensitivity | Specificity | PPV | NPV | |
|---|---|---|---|---|---|
| Option Sel | 2050 (48.3) | 0.65 (0.61–0.70) | 1.00 (1.00–1.00) | 1.00 (0.99–1.00) | 0.96 (0.95–0.96) |
| Option 1 | 786 (18.5) | 0.69 (0.65–0.73) | 1.00 (1.00–1.00) | 1.00 (0.99–1.00) | 0.96 (0.96–0.97) |
| Option 1-Sel | 413 (9.7) | 0.45 (0.41–0.50) | 1.00 (1.00–1.00) | 1.00 (0.98–1.00) | 0.93 (0.93–0.94) |
| Option 2 | 735 (17.3) | 0.72 (0.67–0.76) | 0.98 (0.97–0.98) | 0.80 (0.76–0.97) | 0.96 (0.96–0.97) |
| Option 2-Sel | 362 (8.5) | 0.48 (0.43–0.52) | 0.98 (0.97–0.98) | 0.73 (0.67–0.78) | 0.94 (0.93–0.97) |
| Option 3 | 0 | 0.49 (0.45–0.54) | 1.00 (1.00–1.00) | 1.00 (0.98–1.00) | 0.94 (50.93–0.95) |
| Option 3-Sel | 0 | 0.33 (0.28–0.37) | 1.00 (1.00–1.00) | 1.00 (0.98–1.00) | 0.92 (0.91–0.93) |
Publisher’s Note: MDPI stays neutral with regard to jurisdictional claims in published maps and institutional affiliations. |
© 2021 by the authors. Licensee MDPI, Basel, Switzerland. This article is an open access article distributed under the terms and conditions of the Creative Commons Attribution (CC BY) license (http://creativecommons.org/licenses/by/4.0/).
Share and Cite
Nachtergaele, C.; Vicaut, E.; Tatulashvili, S.; Pinto, S.; Bihan, H.; Sal, M.; Berkane, N.; Allard, L.; Baudry, C.; Portal, J.-J.; et al. Limiting the Use of Oral Glucose Tolerance Tests to Screen for Hyperglycemia in Pregnancy during Pandemics. J. Clin. Med. 2021, 10, 397. https://doi.org/10.3390/jcm10030397
Nachtergaele C, Vicaut E, Tatulashvili S, Pinto S, Bihan H, Sal M, Berkane N, Allard L, Baudry C, Portal J-J, et al. Limiting the Use of Oral Glucose Tolerance Tests to Screen for Hyperglycemia in Pregnancy during Pandemics. Journal of Clinical Medicine. 2021; 10(3):397. https://doi.org/10.3390/jcm10030397
Chicago/Turabian StyleNachtergaele, Charlotte, Eric Vicaut, Sopio Tatulashvili, Sara Pinto, Hélène Bihan, Meriem Sal, Narimane Berkane, Lucie Allard, Camille Baudry, Jean-Jacques Portal, and et al. 2021. "Limiting the Use of Oral Glucose Tolerance Tests to Screen for Hyperglycemia in Pregnancy during Pandemics" Journal of Clinical Medicine 10, no. 3: 397. https://doi.org/10.3390/jcm10030397
APA StyleNachtergaele, C., Vicaut, E., Tatulashvili, S., Pinto, S., Bihan, H., Sal, M., Berkane, N., Allard, L., Baudry, C., Portal, J.-J., Carbillon, L., & Cosson, E. (2021). Limiting the Use of Oral Glucose Tolerance Tests to Screen for Hyperglycemia in Pregnancy during Pandemics. Journal of Clinical Medicine, 10(3), 397. https://doi.org/10.3390/jcm10030397

