Comparison of First- and Second-Generation Drug-Eluting Stents in Patients with ST-Segment Elevation Myocardial Infarction Based on Pre-Percutaneous Coronary Intervention Thrombolysis in Myocardial Infarction Flow Grade
Abstract
1. Introduction
2. Materials
2.1. Study Design and Population
2.2. Percutaneous Coronary Intervention (PCI) Procedure and Medical Treatment
2.3. Study Definitions and Clinical Outcomes
2.4. Statistical Analysis
3. Results
3.1. Baseline Characteristics
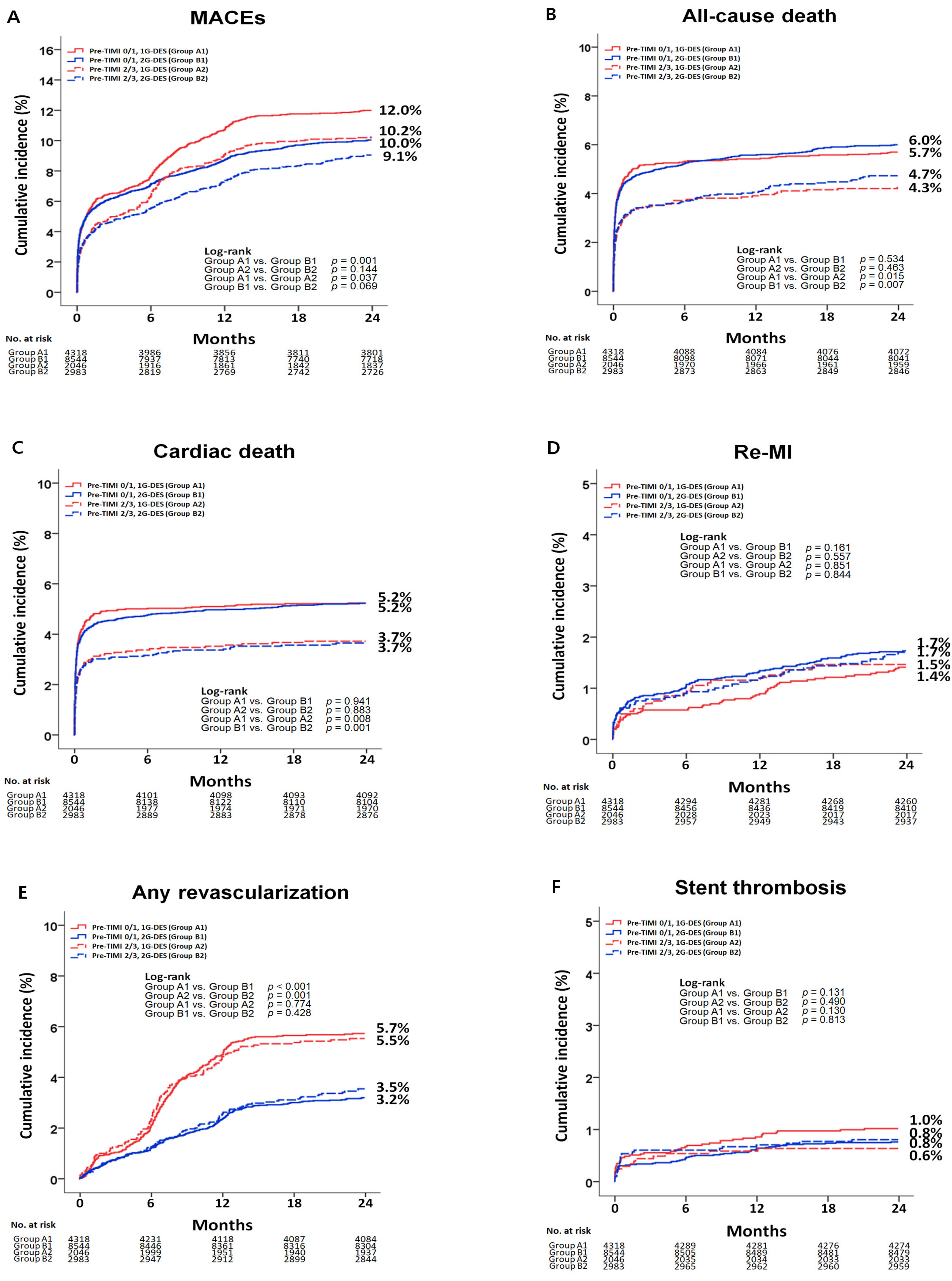
3.2. Clinical Outcomes
4. Discussion
5. Conclusions
Supplementary Materials
Author Contributions
Funding
Institutional Review Board Statement
Informed Consent Statement
Data Availability Statement
Acknowledgments
Conflicts of Interest
References
- Serruys, P.W.; Silber, S.; Garg, S.; van Geuns, R.J.; Richardt, G.; Buszman, P.E.; Kelbaek, H.; van Boven, A.J.; Hofma, S.H.; Linke, A.; et al. Comparison of zotarolimus-eluting and everolimus-eluting coronary stents. N. Engl. J. Med. 2010, 363, 136–146. [Google Scholar] [CrossRef]
- Hofma, S.H.; Smits, P.C.; Brouwer, J.; Velders, M.A.; van’t Hof, A.W.; Queré, M.; de Vries, C.J.; van Boven, A.J. Long-term follow-up of second-generation everolimus-eluting stents versus first-generation sirolimus-eluting stents in acute myocardial infarction: Three-year results of the XAMI trial. EuroIntervention 2015, 10, 1280–1283. [Google Scholar] [CrossRef]
- Sawada, T.; Shinke, T.; Otake, H.; Mizoguchi, T.; Iwasaki, M.; Emoto, T.; Terashita, D.; Mizuguchi, T.; Okamoto, H.; Matsuo, Y.; et al. Comparisons of detailed arterial healing response at seven months following implantation of an everolimus- or sirolimus-eluting stent in patients with ST-segment elevation myocardial infarction. Int. J. Cardiol. 2013, 168, 960–966. [Google Scholar] [CrossRef] [PubMed]
- Bailleul, C.; Puymirat, E.; Aissaoui, N.; Schiele, F.; Ducrocq, G.; Coste, P.; Blanchard, D.; Brasselet, C.; Elbaz, M.; Steg, P.G.; et al. Factors associated with infarct-related artery patency before primary percutaneous coronary intervention for ST-elevation myocardial infarction (from the FAST-MI 2010 registry). Am. J. Cardiol. 2016, 117, 17–21. [Google Scholar] [CrossRef] [PubMed]
- Rakowski, T.; Dudek, D.; Dziewierz, A.; Yu, J.; Witzenbichler, B.; Guagliumi, G.; Kornowski, R.; Hartmann, F.; Lansky, A.J.; Brener, S.J.; et al. Impact of infarct-related artery patency before primary PCI on outcome in patients with ST-segment elevation myocardial infarction: The HORIZONS-AMI trial. EuroIntervention 2013, 8, 1307–1314. [Google Scholar] [CrossRef] [PubMed]
- Basalay, M.V.; Yellon, D.M.; Davidson, S.M. Targeting myocardial ischaemic injury in the absence of reperfusion. Basic Res. Cardiol. 2020, 115, 63. [Google Scholar] [CrossRef] [PubMed]
- Sarkar, A.; Grigg, W.S.; Lee, J.J. TIMI Grade Flow. [Updated 2020 Aug 16]. In StatPearls [Internet]; StatPearls Publishing: Treasure Island, FL, USA, 2020. Available online: https://www.ncbi.nlm.nih.gov/books/NBK482412/ (accessed on 18 January 2021).
- Yildiz, M.; Henry, T.D. Preprocedure thrombolysis in myocardial infarction (TIMI) flow grade: Has its time come and gone? Catheter. Cardiovasc. Interv. 2020, 95, 501–502. [Google Scholar] [CrossRef]
- Di Lorenzo, E.; Sauro, R.; Varricchio, A.; Capasso, M.; Lanzillo, T.; Manganelli, F.; Carbone, G.; Lanni, F.; Pagliuca, M.R.; Stanco, G.; et al. Randomized comparison of everolimus-eluting stents and sirolimus-eluting stents in patients with ST elevation myocardial infarction: RACES-MI trial. JACC Cardiovasc. Interv. 2014, 7, 849–856. [Google Scholar] [CrossRef][Green Version]
- De Luca, G.; Sauro, R.; Capasso, M.; Lanzillo, T.; Manganelli, F.; Carbone, G.; Lanni, F.; Pagliuca, M.R.; Palmieri, V.; Serino, V.; et al. Impact of diabetes on the benefits from everolimus-eluting stent as compared to first-generation drug-eluting stent in patients with ST elevation myocardial infarction. Diabetes Vasc. Dis. Res. 2015, 12, 306–314. [Google Scholar] [CrossRef]
- Kim, J.H.; Chae, S.C.; Oh, D.J.; Kim, H.S.; Kim, Y.J.; Ahn, Y.; Cho, M.C.; Kim, C.J.; Yoon, J.H.; Park, H.Y.; et al. Multicenter cohort study of acute myocardial infarction in Korea-Interim analysis of the Korea acute myocardial infarction registry-national institutes of health registry. Circ. J. 2016, 80, 1427–1436. [Google Scholar] [CrossRef]
- Grech, E.D. ABC of interventional cardiology: Percutaneous coronary intervention. II: The procedure. BMJ 2003, 326, 1137–1140. [Google Scholar] [CrossRef] [PubMed]
- O’Gara, P.T.; Kushner, F.G.; Ascheim, D.D.; Casey, D.E., Jr.; Chung, M.K.; de Lemos, J.A.; Ettinger, S.M.; Fang, J.C.; Fesmire, F.M.; Franklin, B.A.; et al. 2013 ACCF/AHA guideline for the management of ST-elevation myocardial infarction: A report of the American College of Cardiology Foundation/American Heart Association Task Force on Practice Guidelines. Circulation 2013, 127, e362–e425. [Google Scholar] [CrossRef] [PubMed]
- Ibanez, B.; James, S.; Agewall, S.; Antunes, M.J.; Bucciarelli-Ducci, C.; Bueno, H.; Caforio, A.L.P.; Crea, F.; Goudevenos, J.A.; Halvorsen, S.; et al. 2017 ESC Guidelines for the management of acute myocardial infarction in patients presenting with ST-segment elevation: The Task Force for the management of acute myocardial infarction in patients presenting with ST-segment elevation of the European Society of Cardiology (ESC). Eur. Heart J. 2018, 39, 119–177. [Google Scholar] [PubMed]
- TIMI Study Group. The Thrombolysis in Myocardial Infarction (TIMI) trial. Phase I findings. N. Engl. J. Med. 1985, 312, 932–936. [Google Scholar] [CrossRef] [PubMed]
- Kim, Y.H.; Her, A.Y.; Jeong, M.H.; Kim, B.K.; Hong, S.J.; Kim, J.S.; Ko, Y.G.; Choi, D.; Hong, M.K.; Jang, Y. Impact of stent generation on 2-year clinical outcomes in ST-segment elevation myocardial infarction patients with multivessel disease who underwent culprit-only or multivessel percutaneous coronary intervention. Catheter. Cardiovasc. Interv. 2020, 95, E40–E55. [Google Scholar] [CrossRef]
- Kim, Y.H.; Her, A.Y.; Jeong, M.H.; Kim, B.K.; Lee, S.Y.; Hong, S.J.; Shin, D.H.; Kim, J.S.; Ko, Y.G.; Choi, D.; et al. Impact of renin-angiotensin system inhibitors on long-term clinical outcomes in patients with acute myocardial infarction treated with successful percutaneous coronary intervention with drug-eluting stents: Comparison between STEMI and NSTEMI. Atherosclerosis 2019, 280, 166–173. [Google Scholar] [CrossRef]
- Stone, G.W.; Cox, D.; Garcia, E.; Brodie, B.R.; Morice, M.C.; Griffin, J.; Mattos, L.; Lansky, A.J.; O’Neill, W.W.; Grines, C.L. Normal flow (TIMI-3) before mechanical reperfusion therapy is an independent determinant of survival in acute myocardial infarction: Analysis from the primary angioplasty in myocardial infarction trials. Circulation 2001, 104, 636–641. [Google Scholar] [CrossRef]
- De Luca, G.; Ernst, N.; Zijlstra, F.; van’t Hof, A.W.; Hoorntje, J.C.; Dambrink, J.H.; Gosslink, A.T.; de Boer, M.J.; Suryapranata, H. Preprocedural TIMI flow and mortality in patients with acute myocardial infarction treated by primary angioplasty. J. Am. Coll. Cardiol. 2004, 43, 1363–1367. [Google Scholar] [CrossRef]
- Brodie, B.R.; Stuckey, T.D.; Hansen, C.; Muncy, D. Benefit of coronary reperfusion before intervention on outcomes after primary angioplasty for acute myocardial infarction. Am. J. Cardiol. 2000, 85, 13–18. [Google Scholar] [CrossRef]
- Hashimoto, T.; Ako, J.; Nakao, K.; Ozaki, Y.; Kimura, K.; Noguchi, T.; Yasuda, S.; Suwa, S.; Fujimoto, K.; Nakama, Y.; et al. Pre-procedural thrombolysis in myocardial infarction flow in patients with ST-segment elevation myocardial infarction. Int. Heart J. 2018, 59, 920–925. [Google Scholar] [CrossRef]
- Bailleul, C.; Aissaoui, N.; Cayla, G.; Dillinger, J.G.; Jouve, B.; Schiele, F.; Ferrières, J.; Simon, T.; Danchin, N.; Puymirat, E. Prognostic impact of prepercutaneous coronary intervention TIMI flow in patients with ST-segment and non-ST-segment elevation myocardial infarction: Results from the FAST-MI 2010 registry. Arch. Cardiovasc. Dis. 2018, 111, 101–108. [Google Scholar] [CrossRef] [PubMed]
- De Luca, G.; Smits, P.; Hofma, S.H.; Di Lorenzo, E.; Vlachojannis, G.J.; Van’t Hof, A.W.J.; van Boven, A.J.; Kedhi, E.; Stone, G.W.; Suryapranata, H. Everolimus eluting stent vs first generation drug-eluting stent in primary angioplasty: A pooled patient-level meta-analysis of randomized trials. Int. J. Cardiol. 2017, 244, 121–127. [Google Scholar] [CrossRef] [PubMed]
- Kim, Y.H.; Her, A.Y.; Rha, S.W.; Choi, B.G.; Choi, S.Y.; Byun, J.K.; Baek, J.Y.; Choi, W.G.; Kang, T.S.; Ahn, J.H.; et al. Five-year major clinical outcomes between first-generation and second-generation drug-eluting stents in acute myocardial infarction patients underwent percutaneous coronary intervention. J. Geriatr. Cardiol. 2018, 15, 523–533. [Google Scholar] [PubMed]
- Wu, G.; Sun, G.; Zhao, R.; Sun, M. Clinical outcomes of second- versus first-generation drug-eluting stents in patients with acute myocardial infarction: A meta-analysis of randomized controlled trials. Arch. Med. Sci. 2014, 10, 643–650. [Google Scholar] [CrossRef] [PubMed]
- Otsuka, F.; Vorpahl, M.; Nakano, M.; Foerst, J.; Newell, J.B.; Sakakura, K.; Kutys, R.; Ladich, E.; Finn, A.V.; Kolodgie, F.D.; et al. Pathology of second-generation everolimus-eluting stents versus first-generation sirolimus- and paclitaxel-eluting stents in humans. Circulation 2014, 129, 211–223. [Google Scholar] [CrossRef] [PubMed]
- Schömig, A.; Dibra, A.; Windecker, S.; Mehilli, J.; de Lezo, J.S.; Kaiser, C.; Park, S.J.; Goy, J.J.; Lee, J.H.; Di Lorenzo, E.; et al. A meta-analysis of 16 randomized trials of sirolimus-eluting stents versus paclitaxel-eluting stents in patients with coronary artery disease. J. Am. Coll. Cardiol. 2007, 50, 1373–1380. [Google Scholar] [CrossRef] [PubMed]



| Variables | Pre-PCI TIMI 0/1 (n = 12,862) | Pre-PCI TIMI 2/3 (n = 5029) | ||||
|---|---|---|---|---|---|---|
| Group A1 1G-DES (n = 4318) | Group B1 2G-DES (n = 8554) | p-Value | Group A2 1G-DES (n = 2046) | Group B2 2G-DES (n = 2983) | p-Value | |
| Male, n (%) | 3199 (74.1) | 6534 (76.5) | 0.003 | 1533 (74.9) | 2270 (76.1) | 0.342 |
| Age, years | 62.4 ± 12.6 | 62.3 ± 12.7 | 0.687 | 62.6 ± 12.4 | 63.3 ± 12.8 | 0.062 |
| LVEF, % | 50.2 ± 11.3 | 50.5 ± 10.8 | 0.161 | 51.9 ± 11.8 | 51.7 ± 11.3 | 0.539 |
| BMI, kg/m2 | 24.0 ± 3.1 | 24.2 ± 3.2 | 0.051 | 23.8 ± 3.1 | 23.9 ± 3.2 | 0.198 |
| Killip classification | ||||||
| I | 3165 (73.3) | 6554 (76.7) | <0.001 | 1570 (76.7) | 2431 (81.5) | <0.001 |
| II | 624 (14.5) | 969 (11.3) | <0.001 | 259 (12.7) | 246 (8.2) | <0.001 |
| III | 225 (5.2) | 441 (5.2) | 0.901 | 118 (5.8) | 161 (5.4) | 0.573 |
| IV | 305 (7.1) | 580 (6.8) | 0.561 | 99 (4.8) | 145 (4.9) | 0.971 |
| SBP, mmHg | 125.2 ± 28.2 | 126.9 ± 28.6 | 0.001 | 128.2 ± 27.2 | 128.4 ± 27.7 | 0.785 |
| DBP, mmHg | 77.5 ± 17.1 | 78.0 ± 17.6 | 0.141 | 78.7 ± 16.2 | 78.5 ± 16.2 | 0.643 |
| Cardiogenic shock, n (%) | 305 (7.1) | 580 (6.8) | 0.561 | 99 (4.8) | 145 (4.9) | 0.971 |
| CPR on admission, n (%) | 85 (2.0) | 525 (6.1) | <0.001 | 57 (2.8) | 159 (5.3) | <0.001 |
| Hypertension, n (%) | 1940 (44.9) | 3849 (45.0) | 0.896 | 934 (45.7) | 1398 (46.9) | 0.396 |
| Diabetes mellitus, n (%) | 1068 (24.7) | 2047 (24.0) | 0.332 | 532 (26.0) | 792 (26.6) | 0.664 |
| Dyslipidemia, n (%) | 359 (8.3) | 922 (10.8) | <0.001 | 170 (8.3) | 322 (10.8) | 0.004 |
| Previous MI, n (%) | 109 (2.5) | 259 (3.0) | 0.103 | 42 (2.1) | 88 (3.0) | 0.057 |
| Previous PCI, n (%) | 143 (3.3) | 387 (4.5) | 0.001 | 66 (3.2) | 142 (4.8) | 0.008 |
| Previous CABG, n (%) | 15 (0.3) | 27 (0.3) | 0.768 | 5 (0.2) | 6 (0.2) | 0.766 |
| Previous CVA, n (%) | 237 (5.5) | 415 (4.9) | 0.123 | 102 (5.0) | 176 (5.9) | 0.163 |
| Previous HF, n (%) | 40 (0.9) | 70 (0.8) | 0.533 | 16 (0.8) | 25 (0.8) | 0.874 |
| Current smokers, n (%) | 2064 (47.8) | 4004 (46.9) | 0.315 | 987 (48.2) | 1364 (45.7) | 0.079 |
| Peak CK-MB, mg/dL | 209.9 ± 282.3 | 191.0 ± 244.1 | <0.001 | 138.8 ± 244.9 | 139.6 ± 225.6 | 0.915 |
| Peak Troponin-I, ng/mL | 64.2 ± 111.1 | 77.1 ± 294.1 | 0.001 | 46.6 ± 68.6 | 48.2 ± 98.7 | 0.508 |
| Blood glucose, mg/dL | 176.3 ± 80.0 | 177.4 ± 78.4 | 0.470 | 171.5 ± 79.0 | 173.1 ± 79.0 | 0.472 |
| NT-ProBNP (pg/mL) | 1841.9 ± 3595.0 | 1638.1 ± 4993.8 | 0.008 | 1879.2 ± 3584.3 | 1884.9 ± 4338.3 | 0.959 |
| High-sensitivity CRP (mg/dL) | 13.4 ± 57.8 | 9.1 ± 37.4 | <0.001 | 10.5 ± 79.3 | 7.2 ± 26.9 | 0.068 |
| Serum creatinine (mg/L) | 1.12 ± 1.13 | 1.08 ± 1.17 | 0.035 | 1.16 ± 1.66 | 1.06 ± 0.90 | 0.011 |
| Total cholesterol, mg/dL | 184.9 ± 44.6 | 184.7 ± 45.0 | 0.877 | 184.4 ± 42.8 | 181.1 ± 44.1 | 0.010 |
| Triglyceride, mg/L | 127.3 ± 110.5 | 137.4 ± 112.0 | <0.001 | 125.0 ± 102.9 | 133.6 ± 109.9 | 0.006 |
| HDL cholesterol, mg/L | 45.0 ± 20.0 | 43.5 ± 15.8 | <0.001 | 46.1 ± 29.8 | 43.2 ± 15.2 | <0.001 |
| LDL cholesterol, mg/L | 118.1 ± 38.4 | 116.6 ± 39.1 | 0.059 | 119.1 ± 44.2 | 113.5 ± 42.5 | <0.001 |
| Discharge medications, n (%) | ||||||
| Aspirin, n (%) | 4192 (97.1) | 8237 (96.3) | 0.537 | 1987 (97.1) | 2833 (95.0) | 0.152 |
| Clopidogrel, n (%) | 4202 (97.3) | 7154 (83.7) | <0.001 | 1998 (97.7) | 2514 (84.3) | <0.001 |
| Ticagrelor, n (%) | 6 (0.1) | 687 (8.0) | <0.001 | 5 (0.2) | 227 (7.6) | <0.001 |
| Prasugrel, n (%) | 6 (0.1) | 409 (4.8) | <0.001 | 2 (0.1) | 149 (5.0) | <0.001 |
| Cilostazole, n (%) | 1456 (33.7) | 1493 (17.5) | <0.001 | 739 (36.1) | 508 (17.0) | <0.001 |
| Beta-blockers, n (%) | 3004 (69.6) | 6829 (79.4) | <0.001 | 1508 (73.7) | 2429 (81.4) | <0.001 |
| ACEIs/ARBs, n (%) | 3281 (76.0) | 6528 (76.4) | 0.597 | 1632 (79.8) | 2353 (78.9) | 0.447 |
| CCBs, n (%) | 266 (6.2) | 250 (2.9) | <0.001 | 162 (7.9) | 149 (5.0) | <0.001 |
| Lipid-lowering agents | 3887 (90.0) | 7613 (89.0) | 0.879 | 1811 (88.5) | 2639 (88.5) | 0.977 |
| IRA | ||||||
| Left main, n (%) | 41 (0.9) | 82 (1.0) | 0.996 | 46 (2.2) | 81 (2.7) | 0.315 |
| LAD, n (%) | 2144 (49.7) | 4271 (50.0) | 0.719 | 1275 (62.3) | 1726 (57.9) | 0.002 |
| LCx, n (%) | 450 (10.4) | 773 (9.0) | 0.012 | 174 (8.5) | 252 (8.4) | 0.944 |
| RCA, n (%) | 1683 (39.0) | 3418 (40.0) | 0.260 | 551 (26.9) | 924 (31.0) | 0.002 |
| Treated vessel | ||||||
| Left main, n (%) | 60 (1.4) | 120 (1.4) | 0.997 | 71 (3.5) | 113 (3.8) | 0.593 |
| LAD, n (%) | 2399 (55.6) | 4836 (56.6) | 0.260 | 1399 (68.4) | 1951 (65.4) | 0.028 |
| LCx, n (%) | 698 (16.2) | 1283 (15.0) | 0.092 | 349 (17.1) | 527 (17.7) | 0.576 |
| RCA, n (%) | 1856 (43.0) | 3757 (44.0) | 0.285 | 681 (33.3) | 1102 (36.9) | 0.008 |
| Extent of CAD | ||||||
| Single-vessel disease, n (%) | 2055 (47.6) | 4737 (55.4) | <0.001 | 956 (46.7) | 1523 (51.1) | 0.003 |
| Two-vessel disease, n (%) | 1339 (31.0) | 2437 (28.5) | 0.003 | 643 (31.4) | 891 (29.9) | 0.238 |
| ≥Three-vessel disease, n (%) | 924 (21.4) | 1370 (16.0) | <0.001 | 447 (21.8) | 569 (19.1) | 0.016 |
| ACC/AHA lesion type | ||||||
| Type B1, n (%) | 602 (13.9) | 1075 (12.6) | 0.031 | 444 (21.7) | 521 (17.5) | <0.001 |
| Type B2, n (%) | 921 (21.3) | 2420 (28.3) | <0.001 | 627 (30.6) | 1188 (39.8) | <0.001 |
| Type C, n (%) | 2353 (54.5) | 4427 (51.8) | 0.004 | 794 (38.8) | 1051 (35.2) | 0.010 |
| In-hospital GP IIb/IIIa inhibitor | 618 (14.3) | 1862 (21.8) | <0.001 | 156 (7.6) | 447 (15.0) | <0.001 |
| IVUS, n (%) | 267 (6.2) | 1397 (16.4) | <0.001 | 144 (7.0) | 623 (20.9) | <0.001 |
| OCT, n (%) | 0 (0.0) | 21 (0.2) | 0.001 | 0 (0.0) | 12 (0.4) | 0.002 |
| FFR, n (%) | 4 (0.1) | 65 (0.8) | <0.001 | 2 (0.1) | 34 (1.1) | <0.001 |
| Drug-eluting stents | ||||||
| SES, n (%) | 2289 (47.0) | 1141 (55.8) | ||||
| PES, n (%) | 2029 (53.0) | 905 (44.2) | ||||
| ZES, n (%) | 3336 (39.0) | 1116 (37.4) | ||||
| EES, n (%) | 3889 (45.5) | 1331 (44.6) | ||||
| BES, n (%) | 1062 (12.4) | 391 (13.1) | ||||
| Others, n (%)a | 257 (3.0) | 145 (4.9) | ||||
| Door-to-balloon time | 59.5 (45.5–72.0) | 60.0 (45.0–76.0) | 0.688 | 60.0 (44.0–75.0) | 60.5 (44.0–77.0) | 0.574 |
| Culprit-only PCI | 1444 (33.4) | 4569 (53.5) | <0.001 | 636 (31.1) | 1487 (49.8) | <0.001 |
| Multivessel PCI | 2874 (66.6) | 3975 (46.5) | <0.001 | 1410 (68.9) | 1496 (50.2) | <0.001 |
| Completeness of PCI | ||||||
| CR, n (%) | 1954 (68.0) | 2762 (69.5) | 0.180 | 988 (70.1) | 1069 (71.5) | 0.414 |
| IR, n (%) | 920 (32.0) | 1,213 (30.5) | 0.180 | 422 (29.9) | 427 (28.5) | 0.414 |
| Stent diameter (mm) | 3.15 ± 0.38 | 3.19 ± 0.42 | <0.001 | 3.15 ± 0.37 | 3.19 ± 0.42 | 0.002 |
| Stent length (mm) | 26.4 ± 6.7 | 26.6 ± 10.1 | 0.148 | 25.4 ± 6.8 | 25.5 ± 9.9 | 0.779 |
| Number of stents | 1.42 ± 0.74 | 1.36 ± 0.68 | <0.001 | 1.50 ± 0.80 | 1.42 ± 0.73 | <0.001 |
| Pre-PCI TIMI 0/1 | ||||||||
|---|---|---|---|---|---|---|---|---|
| Cumulative Events (%) | Unadjusted | Adjusted a | ||||||
| Outcomes | 1G-DES Group A1 (n = 4318) | 2G-DES Group B1 (n = 8544) | Log-Rank | HR (95% CI) | p-Value | HR (95% CI) | p-Value | p-for-Interaction |
| MACEs | 517 (12.0) | 826 (10.0) | 0.001 | 1.201 (1.076–1.341) | 0.001 | 1.348 (1.184–1.536) | <0.001 | 0.124 |
| All-cause death | 246 (5.7) | 503 (6.0) | 0.534 | 1.050 (0.901–1.222) | 0.535 | 1.014 (0.823–1.250) | 0.893 | 0.535 |
| Cardiac death | 226 (5.2) | 440 (5.2) | 0.941 | 1.006 (0.857–1.181) | 0.941 | 1.086 (0.867–1.361) | 0.474 | 0.941 |
| Re-MI | 58 (1.4) | 134 (1.7) | 0.161 | 1.246 (0.915–1.696) | 0.162 | 1.366 (0.968–1.926) | 0.076 | 0.017 |
| Any revascularization | 234 (5.7) | 240 (3.2) | <0.001 | 1.832 (1.530–2.193) | <0.001 | 1.938 (1.605–2.340) | <0.001 | 0.682 |
| ST (definite or probable) | 44 (1.0) | 65 (0.8) | 0.131 | 1.341 (0.915–1.967) | 0.133 | 1.145 (0.951–2.106) | 0.102 | 0.133 |
| Pre-PCI TIMI 2/3 | ||||||||
| Cumulative Events (%) | Unadjusted | Adjusted b | ||||||
| Outcomes | 1G-DES Group A2 (n = 2046) | 2G-DES Group B2 (n = 2983) | Log-Rank | HR (95% CI) | p-Value | HR (95% CI) | p-Value | p-for-Interaction |
| MACEs | 209 (10.2) | 257 (9.1) | 0.144 | 1.146 (0.954–1.375) | 0.144 | 1.415 (1.142–1.953) | 0.002 | 0.144 |
| All-cause death | 87 (4.3) | 137 (4.7) | 0.463 | 1.106 (0.845–1.447) | 0.464 | 1.311 (0.920–1.964) | 0.133 | 0.464 |
| Cardiac death | 76 (3.7) | 107 (3.7) | 0.883 | 1.022 (0.762–1.372) | 0.884 | 1.512 (1.010–2.532) | 0.053 | 0.884 |
| Re-MI | 29 (1.5) | 46 (1.7) | 0.557 | 1.149 (0.722–1.830) | 0.557 | 1.101 (0.665–1.924) | 0.708 | 0.391 |
| Any revascularization | 109 (5.5) | 94 (3.5) | 0.001 | 1.605 (1.218–2.115) | 0.001 | 1.674 (1.244–2.352) | 0.001 | 0.275 |
| ST (definite or probable) | 13 (0.6) | 24 (0.8) | 0.490 | 1.267 (0.645–2.489) | 0.492 | 1.178 (0.585–2.670) | 0.646 | 0.492 |
| 1G-DES | ||||||||
| Cumulative Events (%) | Unadjusted | Adjustedc | ||||||
| Outcomes | Pre-PCI TIMI 0/1 Group A1 (n = 4318) | Pre-PCI TIMI 2/3 Group A2 (n = 2046) | Log-Rank | HR (95% CI) | p-Value | HR (95% CI) | p-Value | p-for-Interaction |
| MACEs | 517 (12.0) | 209 (10.2) | 0.037 | 1.186 (1.010–1.393) | 0.038 | 1.222 (1.026–1.454) | 0.024 | 0.158 |
| All-cause death | 246 (5.7) | 87 (4.3) | 0.015 | 1.352 (1.059–1.726) | 0.016 | 1.459 (1.101–1.932) | 0.008 | 0.218 |
| Cardiac death | 226 (5.2) | 76 (3.7) | 0.008 | 1.421 (1.096–1.843) | 0.008 | 1.536 (1.136–2.157) | 0.005 | 0.175 |
| Re-MI | 58 (1.4) | 29 (1.5) | 0.851 | 1.043 (0.668–1.629) | 0.852 | 1.244 (0.762–2.030) | 0.383 | 0.506 |
| Any revascularization | 234 (5.7) | 109 (5.5) | 0.774 | 1.034 (0.824–1.298) | 0.774 | 1.090 (0.858–1.386) | 0.480 | 0.774 |
| ST (definite or probable) | 44 (1.0) | 13 (0.6) | 0.130 | 1.606 (0.865–2.981) | 0.134 | 1.735 (0.914–3.301) | 0.092 | 0.134 |
| 2G-DES | ||||||||
| Cumulative Events (%) | Unadjusted | Adjusted d | ||||||
| Outcomes | Pre-PCI TIMI 0/1 Group B1 (n = 8544) | Pre-PCI TIMI 2/3 Group B2 (n = 2983) | Log-Rank | HR (95% CI) | p-Value | HR (95% CI) | p-Value | p-for-Interaction |
| MACEs | 826 (10.0) | 257 (9.1) | 0.069 | 1.138 (0.990–1.310) | 0.069 | 1.242 (1.046–1.484) | 0.013 | 0.089 |
| All-cause death | 503 (6.0) | 137 (4.7) | 0.007 | 1.296 (1.073–1.565) | 0.007 | 1.510 (1.152–1.980) | 0.002 | 0.103 |
| Cardiac death | 440 (5.2) | 107 (3.7) | 0.001 | 1.449 (1.173–1.790) | 0.001 | 1.840 (1.329–2.483) | <0.001 | 0.456 |
| Re-MI | 134 (1.7) | 46 (1.7) | 0.844 | 1.034 (0.740–1.446) | 0.884 | 1.343 (0.905–1.912) | 0.124 | 0.854 |
| Any revascularization | 240 (3.2) | 94 (3.5) | 0.428 | 1.101 (0.868–1.398) | 0.428 | 1.015 (0.834–1.315) | 0.914 | 0.428 |
| ST (definite or probable) | 65 (0.8) | 24 (0.8) | 0.813 | 1.058 (0.663–1.690) | 0.813 | 1.114 (0.676–1.836) | 0.672 | 0.813 |
| Total Population (Pre-PCI TIMI 0/1 vs. Pre-PCI TIMI 2/3) | |||||||
|---|---|---|---|---|---|---|---|
| Cumulative Events (%) | Unadjusted | Adjusted a | |||||
| Outcomes | Pre-PCI TIMI 0/1 Group A1 + B1 (n = 12,862) | Pre-PCI TIMI 2/3 Group A2 + B2 (n = 5029) | Log-Rank | HR (95% CI) | p-Value | HR (95% CI) | p-Value |
| MACEs | 1343 (10.7) | 466 (9.5) | 0.012 | 1.145 (1.030–1.272) | 0.012 | 1.210 (1.075–1.398) | 0.005 |
| All-cause death | 749 (5.9) | 224 (4.5) | <0.001 | 1.322 (1.139–1.535) | <0.001 | 1.350 (1.095–1.699) | 0.006 |
| Cardiac death | 666 (5.2) | 183 (3.7) | <0.001 | 1.437 (1.220–1.692) | <0.001 | 1.498 (1.180–1.910) | 0.001 |
| Re-MI | 192 (1.6) | 75 (1.6) | 0.883 | 1.020 (0.781–1.332) | 0.883 | 1.150 (0.860–1.541) | 0.327 |
| Any revascularization | 474 (4.1) | 203 (4.4) | 0.409 | 1.072 (0.909–1.263) | 0.409 | 1.057 (0.885–1.275) | 0.432 |
| ST (definite or probable) | 109 (0.8) | 37 (0.7) | 0.457 | 1.152 (0.793–1.673) | 0.457 | 1.231 (0.841–1.814) | 0.241 |
| Total population (1G-DES vs. 2G-DES) | |||||||
| Cumulative Events (%) | Unadjusted | Adjusted b | |||||
| Outcomes | 1G-DES Group A1 + A2 (n = 6364) | 2G-DES Group B1 + B2 (n = 11,527) | Log-Rank | HR (95% CI) | p-Value | HR (95% CI) | p-Value |
| MACEs | 726 (11.4) | 1083 (9.8) | 0.001 | 1.176 (1.070–1.292) | 0.001 | 1.233 (1.095–1.388) | <0.001 |
| All-cause death | 333 (5.2) | 640 (5.7) | 0.252 | 1.080 (0.946–1.233) | 0.253 | 1.086 (0.936–1.298) | 0.351 |
| Cardiac death | 302 (4.7) | 547 (4.8) | 0.875 | 1.011 (0.879–1.164) | 0.875 | 1.045 (0.885–1.260) | 0.641 |
| Re-MI | 87 (1.4) | 180 (1.7) | 0.133 | 1.216 (0.942–1.571) | 0.134 | 1.034 (0.754–1.416) | 0.837 |
| Any revascularization | 343 (5.7) | 334 (3.1) | <0.001 | 1.764 (1.517–2.051) | <0.001 | 1.832 (1.528–2.197) | <0.001 |
| ST (definite or probable) | 57 (0.9) | 89 (0.8) | 0.379 | 1.161 (0.833–1.619) | 0.379 | 1.352 (0.921–1.972) | 0.107 |
| Pre-PCI TIMI 0/1 | |||||||
|---|---|---|---|---|---|---|---|
| Cumulative Events (%) | Unadjusted | Adjusted a | |||||
| Log-Rank | HR (95% CI) | p-Value | HR (95% CI) | p-Value | |||
| SES vs. PES | 102 (4.7) | 132 (6.9) | 0.004 | 1.464 (1.131–1.896) | 0.004 | 1.374 (1.049–1.798) | 0.021 d |
| SES vs. ZES | 102 (4.7) | 107 (3.5) | 0.027 | 1.358 (1.035–1.781) | 0.027 | 1.577 (1.184–2.100) | 0.002 e |
| SES vs. EES | 102 (4.7) | 89 (2.7) | <0.001 | 1.813 (1.364–2.409) | <0.001 | 2.441 (1.773–3.358) | <0.001 d |
| SES vs. BES | 102 (4.7) | 31 (3.4) | 0.069 | 1.449 (0.969–2.166) | 0.071 | 1.948 (1.220–3.109) | 0.005 e |
| PES vs. ZES | 132 (6.9) | 107 (3.5) | <0.001 | 2.006 (1.580–2.547) | <0.001 | 2.025 (1.557–2.634) | <0.001 d |
| PES vs. EES | 132 (6.9) | 89 (2.7) | <0.001 | 2.637 (2.015–3.450) | <0.001 | 2.919 (2.141–3.981) | <0.001 d |
| PES vs. BES | 132 (6.9) | 31 (3.4) | <0.001 | 2.094 (1.416–3.097) | <0.001 | 1.917 (1.208–3.042) | 0.006 d |
| Pre-PCI TIMI 2/3 | |||||||
| Cumulative Events (%) | Unadjusted | Adjusted b | |||||
| Log-Rank | HR (95% CI) | p-Value | HR (95% CI) | p-Value | |||
| SES vs. PES | 47 (4.3) | 62 (7.1) | 0.005 | 1.716 (1.175–2.507) | 0.005 | 1.553 (1.035–2.330) | 0.034 d |
| SES vs. ZES | 47 (4.3) | 36 (3.4) | 0.342 | 1.234 (0.799–1.905) | 0.343 | 1.189 (0.745–1.896) | 0.468 |
| SES vs. EES | 47 (4.3) | 29 (2.6) | 0.020 | 1.721 (1.083–2.735) | 0.022 | 1.853 (1.117–3.074) | 0.017 d |
| SES vs. BES | 47 (4.3) | 13 (3.8) | 0.653 | 1.151 (0.623–2.128) | 0.653 | 1.057 (0.516–2.164) | 0.879 |
| PES vs. ZES | 62 (7.1) | 36 (3.4) | <0.001 | 2.085 (1.433–3.033) | <0.001 | 1.955 (1.278–2.991) | 0.002 d |
| PES vs. EES | 62 (7.1) | 29 (2.6) | <0.001 | 2.977 (1.915–4.628) | <0.001 | 2.873 (1.754–4.709) | <0.001 d |
| PES vs. BES | 62 (7.1) | 13 (3.8) | 0.021 | 1.992 (1.095–3.623) | <0.001 | 2.007 (1.125–3.949) | <0.001 d |
| Total population | |||||||
| Cumulative Events (%) | Unadjusted | Adjusted c | |||||
| Log-Rank | HR (95% CI) | p-Value | HR (95% CI) | p-Value | |||
| SES vs. PES | 149 (4.6) | 194 (7.0) | <0.001 | 1.541 (1.245–1.908) | <0.001 | 1.415 (1.132–1.769) | 0.002 d |
| SES vs. ZES | 149 (4.6) | 143 (3.5) | 0.019 | 1.315 (1.045–1.654) | 0.019 | 1.423 (1.116–1.813) | 0.004 e |
| SES vs. EES | 149 (4.6) | 118 (2.6) | <0.001 | 1.774 (1.393–2.258) | <0.001 | 2.203 (1.684–2.883) | <0.001 d |
| SES vs. BES | 149 (4.6) | 44 (3.5) | 0.079 | 1.350 (0.964–1.890) | 0.080 | 1.610 (1.093–2.373) | 0.016 e |
| PES vs. ZES | 194 (7.0) | 143 (3.5) | <0.001 | 2.033 (1.663–2.485) | <0.001 | 1.977 (1.583–2.469) | <0.001 d |
| PES vs. EES | 194 (7.0) | 118 (2.6) | <0.001 | 2.728 (2.170–3.430) | <0.001 | 2.823 (2.174–3.665) | <0.001 d |
| PES vs. BES | 194 (7.0) | 44 (3.5) | <0.001 | 2.070 (1.492–2.872) | <0.001 | 2.014 (1.370–2.960) | <0.001 d |
Publisher’s Note: MDPI stays neutral with regard to jurisdictional claims in published maps and institutional affiliations. |
© 2021 by the authors. Licensee MDPI, Basel, Switzerland. This article is an open access article distributed under the terms and conditions of the Creative Commons Attribution (CC BY) license (http://creativecommons.org/licenses/by/4.0/).
Share and Cite
Kim, Y.H.; Her, A.-Y.; Jeong, M.H.; Kim, B.-K.; Hong, S.-J.; Kim, S.; Ahn, C.-M.; Kim, J.-S.; Ko, Y.-G.; Choi, D.; et al. Comparison of First- and Second-Generation Drug-Eluting Stents in Patients with ST-Segment Elevation Myocardial Infarction Based on Pre-Percutaneous Coronary Intervention Thrombolysis in Myocardial Infarction Flow Grade. J. Clin. Med. 2021, 10, 367. https://doi.org/10.3390/jcm10020367
Kim YH, Her A-Y, Jeong MH, Kim B-K, Hong S-J, Kim S, Ahn C-M, Kim J-S, Ko Y-G, Choi D, et al. Comparison of First- and Second-Generation Drug-Eluting Stents in Patients with ST-Segment Elevation Myocardial Infarction Based on Pre-Percutaneous Coronary Intervention Thrombolysis in Myocardial Infarction Flow Grade. Journal of Clinical Medicine. 2021; 10(2):367. https://doi.org/10.3390/jcm10020367
Chicago/Turabian StyleKim, Yong Hoon, Ae-Young Her, Myung Ho Jeong, Byeong-Keuk Kim, Sung-Jin Hong, Seunghwan Kim, Chul-Min Ahn, Jung-Sun Kim, Young-Guk Ko, Donghoon Choi, and et al. 2021. "Comparison of First- and Second-Generation Drug-Eluting Stents in Patients with ST-Segment Elevation Myocardial Infarction Based on Pre-Percutaneous Coronary Intervention Thrombolysis in Myocardial Infarction Flow Grade" Journal of Clinical Medicine 10, no. 2: 367. https://doi.org/10.3390/jcm10020367
APA StyleKim, Y. H., Her, A.-Y., Jeong, M. H., Kim, B.-K., Hong, S.-J., Kim, S., Ahn, C.-M., Kim, J.-S., Ko, Y.-G., Choi, D., Hong, M.-K., & Jang, Y. (2021). Comparison of First- and Second-Generation Drug-Eluting Stents in Patients with ST-Segment Elevation Myocardial Infarction Based on Pre-Percutaneous Coronary Intervention Thrombolysis in Myocardial Infarction Flow Grade. Journal of Clinical Medicine, 10(2), 367. https://doi.org/10.3390/jcm10020367

