Evaluation of Myocardial Strain Using Cardiac Magnetic Resonance in Patients with Wilson’s Disease
Abstract
1. Introduction
2. Experimental Section
2.1. Study Design
2.2. Cardiac Magnetic Resonance Imaging and Strain Analysis
2.3. 24 h Electrocardiography
2.4. Laboratory Examination
2.5. Statistical Analysis
3. Results
3.1. Baseline Characteristics
3.2. Left Ventricular Strain
3.3. Right Ventricular Strain and Ejection Fraction
3.4. Late Gadolinium Enhancement
3.5. 24 h Electrocardiographic Recording
3.6. Laboratory Data
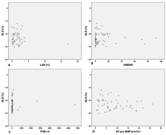
3.7. Correlation Analysis
4. Discussion
5. Conclusions
6. Limitations
Author Contributions
Funding
Institutional Review Board Statement
Informed Consent Statement
Data Availability Statement
Conflicts of Interest
References
- Ferenci, P. Review article: Diagnosis and current therapy of Wilson’s disease. Aliment. Pharmacol. Ther. 2004, 19, 157–165. [Google Scholar] [CrossRef] [PubMed]
- Rosencrantz, R.; Schilsky, M. Wilson disease: Pathogenesis and clinical considerations in diagnosis and treatment. Semin. Liver Dis. 2011, 31, 245–259. [Google Scholar] [CrossRef] [PubMed]
- Bandmann, O.; Weiss, K.H.; Kaler, S.G. Wilson’s disease and other neurological copper disorders. Lancet Neurol. 2015, 14, 103–113. [Google Scholar] [CrossRef]
- Hlubocka, Z.; Marecek, Z.; Linhart, A.; Kejkova, E.; Pospisilova, L.; Martasek, P.; Aschermann, M. Cardiac involvement in Wilson disease. J. Inherit. Metab. Dis. 2002, 25, 269–277. [Google Scholar] [CrossRef] [PubMed]
- Buksińska-Lisik, M.; Litwin, T.; Pasierski, T.; Członkowska, A. Cardiac assessment in Wilson’s disease patients based on electrocardiography and echocardiography examination. Arch. Med. Sci. 2019, 15, 857–864. [Google Scholar] [CrossRef]
- Kaduk, B.; Metze, K.; Schmidt, P.F.; Brandt, G. Secondary athrocytotic cardiomyopathy--heart damage due to Wilson’s disease. Virchows Arch. A Pathol. Anat. Histol. 1980, 387, 67–80. [Google Scholar] [CrossRef]
- Kuan, P. Cardiac Wilson’s disease. Chest 1987, 91, 579–583. [Google Scholar] [CrossRef]
- Grandis, D.J.; Nah, G.; Whitman, I.R.; Vittinghoff, E.; Dewland, T.A.; Olgin, J.E.; Marcus, G.M. Wilson’s Disease and Cardiac Myopathy. Am. J. Cardiol. 2017, 120, 2056–2060. [Google Scholar] [CrossRef]
- Quick, S.; Reuner, U.; Weidauer, M.; Hempel, C.; Heidrich, F.M.; Mues, C.; Sveric, K.M.; Ibrahim, K.; Reichmann, H.; Linke, A.; et al. Cardiac and autonomic function in patients with Wilson’s disease. Orphanet J. Rare Dis. 2019, 14, 22. [Google Scholar] [CrossRef]
- Quick, S.; Weidauer, M.; Heidrich, F.M.; Sveric, K.; Reichmann, H.; Ibrahim, K.; Strasser, R.H.; Linke, A.; Speiser, U.; Reuner, U. Cardiac Manifestation of Wilson’s Disease. J. Am. Coll. Cardiol. 2018, 72, 2808–2809. [Google Scholar] [CrossRef]
- Romano, S.; Judd, R.M.; Kim, R.J.; Kim, H.W.; Klem, I.; Heitner, J.F.; Shah, D.J.; Jue, J.; White, B.E.; Indorkar, R.; et al. Feature-Tracking Global Longitudinal Strain Predicts Death in a Multicenter Population of Patients With Ischemic and Nonischemic Dilated Cardiomyopathy Incremental to Ejection Fraction and Late Gadolinium Enhancement. JACC Cardiovasc. Imaging 2018, 11, 1419–1429. [Google Scholar] [CrossRef] [PubMed]
- Romano, S.; Judd, R.M.; Kim, R.J.; Kim, H.W.; Klem, I.; Heitner, J.; Shah, D.J.; Jue, J.; White, B.E.; Shenoy, C.; et al. Association of Feature-Tracking Cardiac Magnetic Resonance Imaging Left Ventricular Global Longitudinal Strain With All-Cause Mortality in Patients With Reduced Left Ventricular Ejection Fraction. Circulation 2017, 135, 2313–2315. [Google Scholar] [CrossRef] [PubMed]
- Romano, S.; Judd, R.M.; Kim, R.J.; Heitner, J.F.; Shah, D.J.; Shenoy, C.; Evans, K.; Romer, B.; Salazar, P.; Farzaneh-Far, A. Feature-Tracking Global Longitudinal Strain Predicts Mortality in Patients With Preserved Ejection Fraction: A Multicenter Study. JACC Cardiovasc. Imaging 2020, 13, 940–947. [Google Scholar] [CrossRef] [PubMed]
- Backhaus, S.J.; Metschies, G.; Billing, M.; Kowallick, J.T.; Gertz, R.J.; Lapinskas, T.; Pieske, B.; Lotz, J.; Bigalke, B.; Kutty, S.; et al. Cardiovascular magnetic resonance imaging feature tracking: Impact of training on observer performance and reproducibility. PLoS ONE 2019, 14, e0210127. [Google Scholar] [CrossRef] [PubMed]
- Vo, H.Q.; Marwick, T.H.; Negishi, K. MRI-Derived Myocardial Strain Measures in Normal Subjects. JACC Cardiovasc. Imaging 2018, 11 Pt 1, 196–205. [Google Scholar] [CrossRef]
- Hinojar, R.; Fernandez-Golfin, C.; Gonzalez-Gomez, A.; Rincon, L.M.; Plaza-Martin, M.; Casas, E.; Garcia-Martin, A.; Fernandez-Mendez, M.A.; Esteban, A.; Nacher, J.J.J.; et al. Prognostic implications of global myocardial mechanics in hypertrophic cardiomyopathy by cardiovascular magnetic resonance feature tracking. Relations to left ventricular hypertrophy and fibrosis. Int. J. Cardiol. 2017, 249, 467–472. [Google Scholar] [CrossRef]
- Illman, J.E.; Arunachalam, S.P.; Arani, A.; Chang, I.C.; Glockner, J.F.; Dispenzieri, A.; Grogan, M.; Araoz, P.A. MRI feature tracking strain is prognostic for all-cause mortality in AL amyloidosis. Amyloid 2018, 25, 101–108. [Google Scholar] [CrossRef]
- Park, J.H.; Park, J.J.; Park, J.B.; Cho, G.Y. Prognostic Value of Biventricular Strain in Risk Stratifying in Patients With Acute Heart Failure. J. Am. Heart Assoc. 2018, 7, e009331. [Google Scholar] [CrossRef]
- Park, J.J.; Park, J.B.; Park, J.H.; Cho, G.Y. Global Longitudinal Strain to Predict Mortality in Patients with Acute Heart Failure. J. Am. Coll. Cardiol. 2018, 71, 1947–1957. [Google Scholar] [CrossRef]
- Fröjdh, F.; Fridman, Y.; Bering, P.; Sayeed, A.; Maanja, M.; Niklasson, L.; Olausson, E.; Pi, H.; Azeem, A.; Wong, T.C.; et al. Extracellular Volume and Global Longitudinal Strain Both Associate With Outcomes But Correlate Minimally. JACC Cardiovasc. Imaging 2020, 13, 2343–2354. [Google Scholar] [CrossRef]
- Remiao, F.; Carmo, H.; Carvalho, F.; Bastos, M.L. Copper enhances isoproterenol toxicity in isolated rat cardiomyocytes: Effects on oxidative stress. Cardiovasc. Toxicol. 2001, 1, 195–204. [Google Scholar] [CrossRef] [PubMed]
- Rhee, H.M.; Dunlap, M. Acute cardiovascular toxic effects of copper in anesthetized rabbits. Neurotoxicology 1990, 11, 355–360. [Google Scholar] [PubMed]
- Factor, S.M.; Cho, S.; Sternlieb, I.; Scheinberg, I.H.; Goldfischer, S. The cardiomyopathy of Wilson’s disease. Myocardial alterations in nine cases. Virchows Arch. A Pathol. Anat. Histol. 1982, 397, 301–311. [Google Scholar] [CrossRef] [PubMed]
- Nishimura, K.; Okayama, H.; Inoue, K.; Saito, M.; Yoshii, T.; Hiasa, G.; Sumimoto, T.; Inaba, S.; Ogimoto, A.; Funada, J.; et al. Direct measurement of radial strain in the inner-half layer of the left ventricular wall in hypertensive patients. J. Cardiol. 2012, 59, 64–71. [Google Scholar] [CrossRef] [PubMed][Green Version]
- Zornoff, L.A.; Skali, H.; Pfeffer, M.A.; St. John Sutton, M.; Rouleau, J.L.; Lamas, G.A.; Rouleau, J.R.; Moyé, L.A.; Lewis, S.J.; Braunwald, E.; et al. Right ventricular dysfunction and risk of heart failure and mortality after myocardial infarction. J. Am. Coll. Cardiol. 2002, 39, 1450–1455. [Google Scholar] [CrossRef]
- Sanders, J.L.; Koestenberger, M.; Rosenkranz, S.; Maron, B.A. Right ventricular dysfunction and long-term risk of death. Cardiovasc. Diagn. Ther. 2020, 10, 1646–1658. [Google Scholar] [CrossRef]
- Lu, K.J.; Chen, J.X.; Profitis, K.; Kearney, L.G.; DeSilva, D.; Smith, G.; Ord, M.; Harberts, S.; Calafiore, P.; Jones, E.; et al. Right ventricular global longitudinal strain is an independent predictor of right ventricular function: A multimodality study of cardiac magnetic resonance imaging, real time three-dimensional echocardiography and speckle tracking echocardiography. Echocardiography 2015, 32, 966–974. [Google Scholar] [CrossRef]
- Vizzardi, E.; Bonadei, I.; Sciatti, E.; Pezzali, N.; Farina, D.; D’Aloia, A.; Metra, M. Quantitative analysis of right ventricular (RV) function with echocardiography in chronic heart failure with no or mild RV dysfunction: Comparison with cardiac magnetic resonance imaging. J. Ultrasound Med. 2015, 34, 247–255. [Google Scholar] [CrossRef]
- Ostenfeld, E.; Flachskampf, F.A. Assessment of right ventricular volumes and ejection fraction by echocardiography: From geometric approximations to realistic shapes. Echo Res. Pract. 2015, 2, R1–R11. [Google Scholar] [CrossRef]
- Gavazzoni, M.; Badano, L.P.; Vizzardi, E.; Raddino, R.; Genovese, D.; Taramasso, M.; Sciatti, E.; Palermo, C.; Metra, M.; Muraru, D. Prognostic value of right ventricular free wall longitudinal strain in a large cohort of outpatients with left-side heart disease. Eur. Heart J. Cardiovasc. Imaging 2020, 21, 1013–1021. [Google Scholar] [CrossRef]

| WD Patients (n = 61) | Controls (n = 61) | |
|---|---|---|
| Age (years) | 46 ± 14 | 44 ± 15 |
| Male | 31 (51) | 31 (51) |
| BMI (kg/m2) | 26 ± 7.0 | 24.9 ± 3.8 |
| Arterial Hypertension | 12 (19.7) | 9 (14.8) |
| Diabetes mellitus | 0 (0) | 1 (1.6) |
| Hyperlipoproteinemia | 6 (9.8) | 4 (6.6) |
| Obesity | 2 (3.3) | 1 (1.6) |
| Coronary artery disease | 0 (0) | 0 (0) |
| Symptoms of heart failure | 0 (0) | 0 (0) |
| Variable | Data (n = 61) |
|---|---|
| Duration of disease in years | 24.9 (14.7) |
| Phenotypic presentation at the time of diagnosis 8 | |
| Hepatic 1 | 27 (44.3%) |
| Neurologic/psychiatric with symptomatic liver disease | 7 (11.5%) |
| Neurologic/psychiatric without symptomatic liver disease | 18 (29.5%) |
| Asymptomatic 2,3 | 9 (14.8%) |
| Phenotypic presentation at the time of investigation 8 | |
| Hepatic 1 | 27 (44.3%) |
| Neurologic/psychiatric with symptomatic liver disease | 21 (34.4%) |
| Neurologic/psychiatric without symptomatic liver disease | 4 (6.6%) |
| Asymptomatic 2,3 | 9 (14.8%) |
| Patients with acute exacerbation within the disease process 4 | 18 (29.5%) |
| Patients after liver transplantation | 4 (6.6%) |
| Liver fibrosis according to METAVIR score 5 | |
| F0 | 27 (44.3%) |
| F1 | 7 (11.5%) |
| F2 | 4 (6.6%) |
| F3 | 8 (13.1%) |
| F4 | 15 (24.6%) |
| lPatients with pathological cranial MRI 6 | 32 (52.5%) |
| Therapy | |
| Penicillamine | 37 (60.7%) |
| Trientine | 13 (21.3%) |
| Zinc | 7 (11.5%) |
| No Wilson’s disease medication 7 | 4 (6.6%) |
| WD Patients (n = 61) | Controls (n = 61) | p-Value | |
|---|---|---|---|
| Left ventricular parameters | |||
| GLS, % | −22.8 (4.8) | −21.8 (5.1) | 0.124 |
| GRS, % | 43.2 (13.2) | 51.6 (13.8) | 0.002 |
| GCS, % | −29.2 (5.2) | −28.6 (4.7) | 0.534 |
| LVEF, % | 66.1 (5.0) | 65.2 (2.7) | 0.382 |
| LVEDV, mL | 123.7 (38.8) | 139.0 (35.5) | 0.004 |
| LV mass, g | 114.0 (31.0) | 104.0 (34.0) | 0.003 |
| Right ventricular parameters | |||
| GLS, % | −23.6 (4.9) | −26.1 (5) | 0.01 |
| RVEF, % | 45.7 (3.0) | 49.4 (7.6) | <0.001 |
| RVFAC, % | 51.7 (4.2) | 53.6 (3.6) | 0.018 |
| RVEDV, mL | 125.3 (38.0) | 122.5 (36.3) | 0.614 |
| Cardiac Biomarker | Data (n = 61) | Within Normal Range | Pathological Values |
|---|---|---|---|
| Total CK, µmol/(sxL) | 1.7 (1.0) | 52 (85%) | 9 (15%) |
| CK-MB, µmol/(sxL) | 0.3 (0.1) | 55 (90%) | 6 (10%) |
| Myoglobin, µg/L | 30.9 (24.0) | 53 (87%) | 8 (13%) |
| hsTroponin T, ng/L | 4.0 (2.0) | 57 (93%) | 4 (7%) |
| NT-proBNP, ρmol/L | 8.6 (6.8) | 61 (100%) | - |
Publisher’s Note: MDPI stays neutral with regard to jurisdictional claims in published maps and institutional affiliations. |
© 2021 by the authors. Licensee MDPI, Basel, Switzerland. This article is an open access article distributed under the terms and conditions of the Creative Commons Attribution (CC BY) license (http://creativecommons.org/licenses/by/4.0/).
Share and Cite
Zhang, K.; Reuner, U.; Hempel, C.; Speiser, U.; Ibrahim, K.; Heinzel, F.R.; Pieske, B.; Christoph, M.; Heidrich, F.M.; Quick, S. Evaluation of Myocardial Strain Using Cardiac Magnetic Resonance in Patients with Wilson’s Disease. J. Clin. Med. 2021, 10, 335. https://doi.org/10.3390/jcm10020335
Zhang K, Reuner U, Hempel C, Speiser U, Ibrahim K, Heinzel FR, Pieske B, Christoph M, Heidrich FM, Quick S. Evaluation of Myocardial Strain Using Cardiac Magnetic Resonance in Patients with Wilson’s Disease. Journal of Clinical Medicine. 2021; 10(2):335. https://doi.org/10.3390/jcm10020335
Chicago/Turabian StyleZhang, Kun, Ulrike Reuner, Charlotte Hempel, Uwe Speiser, Karim Ibrahim, Frank R. Heinzel, Burkert Pieske, Marian Christoph, Felix M. Heidrich, and Silvio Quick. 2021. "Evaluation of Myocardial Strain Using Cardiac Magnetic Resonance in Patients with Wilson’s Disease" Journal of Clinical Medicine 10, no. 2: 335. https://doi.org/10.3390/jcm10020335
APA StyleZhang, K., Reuner, U., Hempel, C., Speiser, U., Ibrahim, K., Heinzel, F. R., Pieske, B., Christoph, M., Heidrich, F. M., & Quick, S. (2021). Evaluation of Myocardial Strain Using Cardiac Magnetic Resonance in Patients with Wilson’s Disease. Journal of Clinical Medicine, 10(2), 335. https://doi.org/10.3390/jcm10020335

